中图分类号: K909
文献标识码: A
文章编号: 1000-0690(2017)05-0728-10
收稿日期: 2016-05-27
修回日期: 2016-11-10
网络出版日期: 2017-05-25
版权声明: 2017 《地理科学》编辑部 本文是开放获取期刊文献,在以下情况下可以自由使用:学术研究、学术交流、科研教学等,但不允许用于商业目的.
基金资助:
作者简介:
作者简介:柳泽(1982-),男,云南会泽人,博士,副研究员,主要从事乡村保护与发展、生态城市规划设计研究。E-mail: liuze.yn@hotmail.com
展开
摘要
针对县域医疗卫生服务设施的空间布局问题,应用改进两步移动搜索法对德清县医疗卫生服务的空间可达性进行评价。具体改进包括:引入核密度型距离衰减函数对两步移动搜索法进行扩展、考虑医疗设施资源的未充分利用、对不同规模等级医疗机构设置不同服务阈值。计算结果表明:① 浙江省德清县域医疗卫生服务空间可达性呈圈层式空间分布特征,高可达性区域主要集中于县城及邻接区域,边缘地区缺医明显;② 基于改进两步移动搜索法和传统两步移动搜索法的可达性计算结果具有不同的整体特征,但前者可达性计算结果及空间分布更符合实际。
关键词:
Abstract
There is a big gap between urban and rural residents in China, as to their medical services and health conditions. Rural residents are facing many problems to get medical services with high quality, including severe lack of services, unreasonable locations of medical services, inefficient utilization of public services facilities, and so on. So it is crucial to locate medical services at the county level reasonably, which is the smallest administrative zone to coordinate the distribution and the providing of public services globally. Based on Optimized Two-step Floating Catchment Area (O-2SFCA) method, this study focuses on the evaluation of spatial accessibility for medical services at the county level, in order to support the spatial planning of medical services regionally. While taking Deqing County in Zhejiang Province as a case, this study takes all public hospitals and clinics in downtown, small towns and villages into account. Specially the O-2SFCA method is brought out, aiming to improve some deficiencies of traditional Two-step Floating Catchment Area (2SFCA) method, including the distance decay in the scope of threshold value, the inadequate exploitation of medical services, and different standards of services from hospitals of various levels. Firstly the O-2SFCA introduces the kernel density function to model distance decay, with the purpose of reveal the fact that the probability of people’s trip to get medical services declines as the distance between them increases, while more longer the distance become, more lower probability for people’s trip. Secondly the O-2SFCA proposesa ‘choice weight’ based on the Kernel function to represent competitions between different medical services considering travel cost and service capacity, accurately computes the people’s choice probability of each service facility in the scope of threshold value, and models the inefficient utilizing of medical services. Thirdly the O-2SFCA sets different searching boundary according to the service capacity and standards of medical facilities, for the sake of modeling different services standards of various hospitals and clinics. Spatial accessibility of all villages to get all the public medical service of Deqing County are calculated, separately based on the 2SFCA and O-2SFCA method. At last, two conclusions can be reached: 1) The spatial accessibility of medical services in Deqing County shows a special spatial pattern of circular distribution, and the downtown and neighboring regions hold the highest values of accessibility, while remote and mountain regions hold low accessibility because of the complex topography and the weak traffic conditions. 2) Obviously there are different features between those two computing results based on the 2SFCA and O-2SFCA, but the spatial accessibility calculated from O-2SFCA method is more reasonable, according to field investigations.
Keywords:
前言
推进基本公共服务均等化是各级政府在公共和社会发展领域的宏观调控手段,是实现区域统筹发展、城乡统筹发展,促进社会经济可持续发展的重要保障。医疗卫生服务是基本公共服务的重要组成部分,是提高城乡居民健康水平的基础。然而,与其它发展中国家类似,中国居民健康水平和医疗卫生服务城乡差异、区域差异较为显著。
长期以来,中国城乡医疗卫生资源结构与布局不合理、乡村地区医疗卫生事业投入有限,导致乡村地区医疗卫生服务不足、医疗卫生资源供需矛盾突出、基层医疗卫生资源利用率较低(不含港澳台)。如图1所示,城市和乡村地区在卫生技术人员、卫生机构床位等主要卫生资源方面极不均衡,且差异日趋扩大[1]。以乡镇卫生院、村卫生室等为主体的基层医疗卫生机构是乡村地区居民就医的首选,在乡村地区医疗卫生体系中发挥着重要作用。据国家卫生计生委《2014年卫生和计划生育事业发展统计公报》,2014年全国总诊疗人次76亿人次,其中,医院29.7亿人次(占39.1%),基层医疗卫生机构43.6亿人次(占57.4%),其他医疗机构2.7亿人次(占3.5%)(不含港澳台)。由于各类医疗卫生机构地理空间布局缺乏有效统筹,就医不便长期制约乡村地区居民医疗卫生水平提升。
图1 城乡医疗卫生资源对比
Fig.1 Comparison of medical services between urban and rural areas
县域是编制城乡统筹发展规划、促进城乡统筹发展的基本行政单元,在县域范围内统筹布局医疗卫生、文化体育等基本公共服务设施,有利于不断完善各类公共服务资源空间配置。基于可达性的公共服务或设施空间配置是地理学、城市规划、社会学、公共卫生等研究领域的热点问题,也是开展医疗卫生服务设施布局研究的重要方法[2~5]。这一方法突破了传统“千人指标”计算、简单“服务半径”分析的不足,综合考虑设施服务内容和质量、公众需求、地理区位、交通条件等因素,可作为公共医疗卫生设施空间布局和规划的重要参考。
目前,医疗服务空间可达性常见的量化分析模型包括:供需比例模型、最小距离模型、最大覆盖模型、核密度法、Huff模型、引力模型及其改进形式、2SFCA(两步移动搜索法)等[6,7]。这些方法及其发展反映了研究者逐步将更多的因素纳入模型,以便分析结果更加贴合实际;但各种模型都有其局限性和适用范围,需结合应用目的进行优化。其中,尤以引力模型和2SFCA及它们的改进形式应用较多,两者区别在于对供需间空间作用的距离衰减模拟。
作为早期移动搜索法的一种改进,2SFCA由穆兰和导师最早提出[8],它分别从供给、需求两侧计算搜索阈值范围内的供需比例,操作性和适用性更强,被医学地理学者视为可达性的最有效表达[9],如式(1)、式(2)所示。

式中,
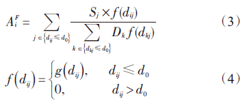
归纳国内外研究者对2SFCA的各种扩展形式,可分为4类型:引入距离衰减函数的扩展、对搜寻半径的扩展、针对需求或供给竞争的扩展、基于出行方式的扩展,各类型之下又根据扩展方法的不同细分为若干具体2SFCA扩展模型,形成一个体系庞大的模型簇[10]。其中,引入距离衰减函数的扩展的一般形式如式(3)所示[7]:

式中,
本文着眼于县域范围内以公立医院和卫生室为主体的医疗卫生服务设施,考虑距离衰减作用、服务设施间相互竞争导致的居民医疗服务选择差异、卫生设施的未充分利用、不同规模等级医院服务能力差异等因素,提出一种改进两步移动搜索法以分析评价医疗服务的空间可达性,为县域范围内医疗服务设施的空间规划布局提供参考。
浙江省德清县位于长江三角洲杭嘉湖平原西部,地处119°451′~120°211′E, 30°261′~30°421′N之间,北接湖州,南毗杭州,东邻桐乡,西界安吉,具有得天独厚的地理区位优势。县域行政区域总面积937.9 km2,东西长54.75 km,南北宽29.75 km。德清县处于浙西北低山丘陵区与浙北平原区边缘,地势西高东低,地貌类型多样,西部莫干山镇、筏头乡位于天目山余脉,为低山区域;中部为丘陵、平原,而东部为平原水乡,河渠似网、鱼塘棋布。县治武康镇,共辖9镇2乡,169个行政村、24个居委会,总人口49.2万人(图2、3)。德清县境内交通便利,高速公路、国省干道贯穿境内,连接域内各行政村的道路均为硬化路面,并沿主要乡村道路设置公交车站通勤县城。
本研究中的主要数据包括:① 德清县域公共医疗机构信息。德清县医疗卫生机构主要包括6个县级医院,4个镇中心卫生院,8个乡镇卫生院和135个行政村(社区)卫生服务站4级体系。乡镇卫生院及以上等级医疗服务设施数据信息包括医院位置以及各医院建筑面积、床位数、卫生技术人员数、诊疗人次等,社区卫生服务站具有位置信息和全县社区卫生服务站卫技人员数量信息。该类数据来源于德清县卫生局2013年县域医疗卫生服务机构统计报表。② 人口数据。主要为全县各居委会、行政村人口数据,来源于全县农村人居环境普查数据和县域乡村建设规划调查数据。③ 道路交通数据。来源于德清县交通局公路段数据和德清县总体规划中的现状路网。④ 其它基础数据。包括行政区划、县域DEM、行政村驻地位置、医疗机构位置等,所使用DEM为从马里兰大学下载的全球30 m数字地形(http://glcf.umd.edu/datal),其余基础数据是根据2014年德清县民政局编制的1∶5万行政区划图数字化得到。
1) 改进中考虑的因素。有以下3点:
(1) 2SFCA采用二分法处理搜索阈值范围内外的空间相互作用的差异,阈值范围内无距离衰减,阈值范围外无相互作用,与现实情况不符。这方面的论述已较多,本文不再赘述。
(2) 2SFCA及其改进形式中都预含了一个假设,即所有的设施资源都得到最优配置和充分利用。但是,这一假设只有在完全理想的条件下才能成立,即需求点与设施点重叠,且所有需求和设施资源都集中于此[10,15]。这一假设与实际不符,现实中由于居民医疗服务需求、出行距离、医院医疗服务能力、医疗服务供给点间竞争等因素的影响,部分设施资源未被需求方有效利用。
(3) 2SFCA基于同一阈值对不同规模医院进行评定,因而对于不同规模等级医院,可能高估某些低等级医院的潜在服务需求或服务能力而出现偏差。例如,村级卫生室、镇卫生院和县级医院对某村或社区的服务能力具有显著差异,但是在同一搜索阈值的设定下,常规两步移动搜索法难以体现该类差异(图4)。反之,居民到不同医院获取医疗卫生服务的意愿也显著不同,其影响因素包括医疗服务需求、出行距离、医院医疗服务能力等。因此,应考虑不同规模等级医院的服务能力差异。
图4 县级医院(a)和镇(b)卫生院的实际服务范围和搜索阈值范围
Fig.4 Different boundary between the actual service and the searching process
2) 模型与方法。针对上述4方面的考虑,本文引入距离衰减函数、设施资源间的竞争以及设施资源的分级服务阈值,从以下3方面对2SFCA进行优化完善。
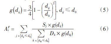
(1) 引入核密度型距离衰减函数对2SFCA进行扩展。距离衰减函数形式的选择一般根据居民对设施资源的使用特征开展,理想状况是以特定区域的设施使用行为实际调查为基础来确定函数形式和相关参数。考虑到当前中国医疗卫生服务设施使用的整体特征和在浙江省德清县莫干山镇的调查,居民到医院的出行概率随距离的增加而降低,且距离越大出行意愿和概率降低趋势愈大。因此,本文选择核密度函数作为距离衰减函数。参考国外典型研究[14],引入式(4)中的核密度型距离衰减函数g(dij),则式(3)可改进为式(5)。

式中,
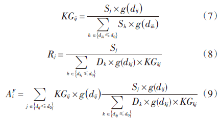
(2) 考虑各医疗服务设施之间的竞争。针对此问题,已有的2SFCA扩展形式包括三步移动搜索法(3SFCA)、改进型2SFCA(Modified 2SFCA, M2SFCA)、胡弗型2SFCA(Huff 2SFCA, H2SFCA)[10,15,16,17]。其中,3SFCA以出行成本为依据,进而计算某一需求点到阈值范围内各服务点的选择权重;H2SFCA则在3SFCA基础上,综合考虑出行成本和设施服务点能力,以胡弗模型来计算选择权重。M2SFCA引入设施资源可用性(Availability),强调现实中设施资源难以达到完全充分利用这一最优状态。因此,本文参考H2SFCA中对出行成本和设施服务能力的综合考虑、参考MS2FCA中对设施资源未充分利用的考虑,选择核密度函数计算选择权重

式中,h表示医疗服务供给点;
3) 进一步考虑县域范围内不同等级医疗机构的服务能力差异,依据式(8)分别以不同的服务阈值计算各行政村阈值范围内的服务供需比,以对各等级医疗机构空间可达性的加权求和值作为需求点i处的空间可达性
式中,l表示医疗机构的等级规模分类数,如本文研究分为县级医疗机构、镇中心卫生院、乡镇卫生院、村卫生室4类,则为4;
截止2013年底,德清县拥有各类医疗卫生机构234家。其中,省级医疗机构1家(省皮肤病防治研究所)、县级6家(县人民医院、县第三人民医院、县中医院、县卫生监督所、县疾病预防控制中心、县妇幼保健院)、乡镇卫生院(含镇中心卫生院、社区卫生服务中心)12家、村卫生室(社区卫生服务站)135家,以及民营医院、个体诊所等各类医疗机构80家。2013年,德清县每千人拥有执业(助理)医师2.43人、注册护士2.15人、床位4.12张,皆低于全省平均水平。
依据中国现行卫生统计调查制度和德清县各级医院实际,本文可达性计算主要考虑德清县政府举办或参办的3个县级医院,以及德清县基层医疗卫生机构中的12个乡镇(中心)卫生院和117个行政村卫生室,不考虑疾病预防控制中心、卫生监督机构、妇幼保健院(所、站)、计生服务站、急救中心等专业公共卫生机构,也不考虑疗养院、医学科研机构、医学培训机构等其他机构。计算中,以村委会驻地作为行政村卫生医疗服务的需求集中点。
1) 计算医疗服务各供、需点之间的最小通行成本(时间)。综合考虑不同等级的道路通行能力、地形坡度、地形起伏度,采用基于栅格成本数据的成本加权距离计算最小通行时间。其中,参考《公路工程技术标准》(JTG B01-2014)和同类研究,将高速路、国道、省道、县乡道和村道的通行速度分别设置为100、60、50、30 和20 km/h,无道路区域统一设置为5 km/h。
2) 计算各行政村对阈值范围内某一等级各医院的选择权重。依据式(6),综合考虑就医出行成本、医院服务能力,分别计算各行政村对其阈值范围内某一等级各医院的选择权重。
3) 计算某一等级的各医院搜索阈值范围内的医疗服务供需比。依据式(7),分别针对德清县域3个县级医院、4个镇中心卫生院、8个乡镇卫生院、117个行政村卫生室等不同等级医疗卫生服务供给点,计算各服务供给点阈值范围内医技人员数与居民人口数量之比作为医疗服务供需比。
在中国基层医疗卫生服务体系中,村级卫生室疗服务能力较弱,一般不允许设置手术室、制剂室、产房和住院病床,辐射范围也仅限于本行政村。根据国务院办公厅印发的《全国医疗卫生服务体系规划纲要(2015~2020)》,力争到2020年内实现村级卫生室有一名乡村医生执业。根据上述现状,同时参考部分省市的公共服务设施规划标准和笔者在德清县莫干山镇开展的调查访谈,将县级医院、镇中心卫生院、乡镇卫生院、村级卫生室的服务阈值分别设置为60、40、30和10 min。
4) 计算各居民点搜索阈值范围内某一等级的各医院的供需比之和。分别针对德清县域县级医院、镇中心卫生院、乡镇卫生院、村卫生室等不同等级的服务供给点,依据式(8)计算全县169个行政村距离阈值范围内各服务需求点的供需比之和。为便于比较本文改进中引进的服务选择权重的效果,计算各行政村到各医疗机构的出行时间,并取平均值40 min作为搜索阈值范围,同时依据式(2)计算行政村阈值范围内各供给点的供需比之和,即依据2SFCA进行计算。
5) 计算各居民点对不同等级医院空间可达性的加和。基于上一步计算结果,进一步依据式(9),计算卫生服务需求点对各等级服务点空间可达性的加权求和值,即得最终结果——各卫生服务需求点的医疗卫生服务空间可达性。为便于比较,计算上一步中依据(2)式所得的、针对各等级医疗卫生服务点的空间可达性加权求和值,即2SFCA计算所得可达性。依据各服务需求点的空间可达性值,在GIS软件中采用Geometrical Interval算法将其分为5个等级,如图5a、b分别为依据2SFCA、O-2SFCA计算的可达性分布图。
1) 德清县域医疗卫生服务空间可达性呈圈层式空间分布。图5中,基于O-2SFCA计算的可达性结果表明,德清县域医疗卫生服务空间可达性呈圈层式空间分布。县城附近行政村和社区的医疗卫生服务空间可达性较高,而处于县域西部的莫干山镇及筏头乡等山区,地形起伏较大,交通不便且道路体系不完善,大多是乡村小路,导致其就医出行困难,可达性偏低;县域东部的钟管、禹越等镇,受距县城距离较远、人口密度高等因素影响,可达性也较低。整体来看,高可达性区域沿主要集中在县城及邻接区域,边缘缺医明显。
(1) 可达性最好的行政村39个(占比23%)。
大多为县城(如武康镇丰桥村、千秋村、城西村等)以及县城附近的行政村(如五四村、太平村等),且集中在武康镇境内。此类区域内道路完善,获取县级医院资源较方便,主要受供需点距离、供需规模、人口数量等影响较大。
(2) 可达性好的行政村32个(占比19%)。此类区域大多处于县城区域外围,邻接武康镇的乡镇境内,如莫干山镇、筏头乡东部,乾元镇、洛舍镇和三合乡等。该类区域离县城较近,区域内县级道路完善,获取高等级医疗资源相对方便。
(3) 可达性一般的行政村49个(占比29%)。多处于中部地区洛舍镇东部、钟管镇西部、新市镇南部、雷甸镇等。这些行政村离县城约15~20 km,省道东西向贯穿其中,既能获取县城的医疗资源,也能获取镇内卫生院医疗资源,行政村就医可达性适中。
(4) 可达性差的行政村39个(占比23%)。主要分布在筏头乡西部边缘地区,以及新市镇和钟管镇北部、禹越镇南部等地。这些地区与县城有一定距离,但仍处于县城医疗机构服务范围内;且这些地区村级卫生室分布较均匀,本地区村民可方便获取乡镇卫生院或村级卫生室医疗资源,但由于道路不完善(西部)、距离县城较远(东部)等原因,对高等级医疗资源的获取能力较弱。
(5) 可达性最差的行政村10个(占6%)。主要分布于县域西部的莫干山镇北部山区,如双桥村、横岭村、塘坑村等行政村,这一区域交通不便,连接各行政村的多为普通的通村公路,地势起伏大,出行极其不方便;且人口相对较多,而部分村内没有相应的村级卫生室,居民医疗卫生服务需求与供给严重不平衡,导致医疗卫生服务可达性很低。
2) 传统两步移动搜索法和改进两步移动搜索法计算结果对比。比较图5a、b,从两种方法计算的可达性结果来看,其空间分布都呈现从中心向边缘逐渐衰减的圈层式特征,但也存在显著差异。
图5 德清县域医疗卫生服务空间可达性计算结果分析
Fig.5 Visualization of spatial accessibility based on 2SFCA and O-2SFCA
(1) 依据O-2SFCA法(改进的两步移动搜索法)的可达性计算结果整体小于2SFCA法,如表1所示。这是因为O-2SFCA根据卫生服务机构等级的不同,采用不同的搜索阈值和加权权重,并考虑了距离衰减、医院间的竞争及其利用效率等,因此计算结果值整体小于2SFCA。
表1 可达性计算结果的统计特征比较
Table 1 Statistic features of spatial accessibility based on 2SFCA and O-2SFCA
| 方法 | 最小值 | 最大值 | 中位数 | 均值 | 标准差 |
|---|---|---|---|---|---|
| 2SFCA | 0.04 | 1.05 | 0.74 | 0.64 | 0.28 |
| O-2SFCA | 0 | 0.30 | 0.17 | 0.18 | 0.07 |
(2) 两种可达性计算结果具有不同的整体特征和态势,如图6所示,依据2SFCA计算结果中,可达性计算结果的频次分布在均值(0.64)两侧集中分布,呈哑铃状分布;O-2SFCA计算中,可达性得分频次在均值(0.18)两侧的分布更为均匀。图中横轴表示各行政村的可达性得分,纵轴表示频数。
(3) 依据O-2SFCA的可达性计算结果及其空间分布更符合实际。从可达性最优区域来看,传统2SFCA方法计算结果中,可达性最优地区是雷甸、乾元、钟管3镇的大部分区域;本文改进的2SFCA方法计算结果中,则是以县城驻地武康镇为中心的周边区域可达性最优,如图5a、b所示。究其原因,雷甸、乾元、钟管3镇路网发达、交通便利,且镇中心卫生院、乡镇卫生院、村卫生室等各级医疗卫生机构分布密集,计算中交通出行成本小、能获取的医疗服务较多;2SFCA使用固定搜索阈值进行搜索,因此其医疗服务供给点既包括本区域的镇中心卫生院、卫生院、村卫生服务所,还包括县城驻地的县级医疗机构,因此这一区域可达性计算结果最优。O-2SFCA针对不同等级医疗卫生机构采用不同的搜索阈值,并且考虑了距离衰减等因素,因此县城及周边区域可达性计算结果最优。
如图7所示,比较各行政村在两种计算方法下的排名,图中横、纵坐标皆表示可达性排名。可以看出,两种方法计算结果的显著差异在于排名中上的村庄,即可达性得分中等及以上的村庄,而可达性排名靠后的村庄则差异较小。
本文针对县域医疗卫生设施的空间布局问题,以德清县为例,提出改进两步移动搜索法(Optimized Two-Step Floating Catchment Area Method, O-2SFCA)分析评价德清县县域医疗卫生服务空间可达性,并将O-2SFCA与2SFCA计算结果进行比较,分析探讨两种方法的特征和适用范围。分析结果表明,本文提出的O-2SFCA综合考虑地形条件、交通路网、医疗卫生机构服务能力、需求点人口规模、供需点相互作用的距离衰减、医疗卫生服务设施间的竞争关系等因素,更能准确反映县域医疗卫生设施的空间布局特性。
O-2SFCA是在众多研究者已有基础上的一种探索,本文尽可能考虑更多的因素以全面反应居民实际可获取的医疗服务设施,但在以下方面仍有待改进:
1) 距离衰减函数的选择。本文依据中国医疗服务资源短缺下就医行为特征和在德清莫干山镇的调查,选择了核密度型的距离衰减函数。进一步的研究应针对研究区居民就医特征的调查数据,分析供需空间作用距离衰减趋势和特征,进而选择相应的距离衰减函数、并确定相关参数。
2) 对各等级医疗服务设施服务阈值的设定。由于未在德清县开展大规模居民就医行为特征的调查数据,仅依据地方标准和少量居民的调研,依据县级医院、镇中心卫生院、乡镇卫生院、村卫生室4级划分,分别设置不同的服务阈值范围。进一步的研究中将针对不同阈值进行敏感性分析,合理确定服务阈值范围。
3) 可达性分析中的边缘效应仍然存在,对于跨越行政区的就医行为分析不足。本研究隐含一个假设,即居民只在本行政区就医,且所有医疗服务需求在本行政区能得到满足。未充分考虑一些重大疾病的医疗需求,以及处于行政区边缘的居民就医行为。进一步的研究可从居民医疗需求、医疗保险制度、分析范围等方面深入探索。
4) 纳入非空间因素,如人均收入、居民医疗需求、居民年龄等,研究其对医疗服务设施空间可达性的影响。
The authors have declared that no competing interests exist.
| [1] |
|
| [2] |
中国高速公路网的可达性格局及演化 [J].https://doi.org/10.13249/j.cnki.sgs.2016.06.001 URL Magsci [本文引用: 1] 摘要
<p>在全国尺度上评价1988~2030年中国高速公路可达性的空间格局及演化。基于交通旅行时间和最短时间路径的可达性模型设计,刻画了中国高速公路网的扩张过程,评价各时段中国高速公路网的通达性及演变,包括连通城镇、交通时间和时间区位系数等,分析各地区可达性的空间差异及变化特征,以及各时段内可达性的变化差异,重点识别可达性与区位受损和收益的突出区域;结合人口和经济等属性指标,评价各城市的综合发展潜能及变化。研究发现,高速公路建设拉近了边缘地区与核心地区的时间距离,西部地区的交通条件得到了很大改善,但并没有改变各城市的区位优劣水平,而且导致城市间发展潜力的差距更加不平衡。</p>
Spatial pattern of expressway network accessibility and evolution in China. https://doi.org/10.13249/j.cnki.sgs.2016.06.001 URL Magsci [本文引用: 1] 摘要
<p>在全国尺度上评价1988~2030年中国高速公路可达性的空间格局及演化。基于交通旅行时间和最短时间路径的可达性模型设计,刻画了中国高速公路网的扩张过程,评价各时段中国高速公路网的通达性及演变,包括连通城镇、交通时间和时间区位系数等,分析各地区可达性的空间差异及变化特征,以及各时段内可达性的变化差异,重点识别可达性与区位受损和收益的突出区域;结合人口和经济等属性指标,评价各城市的综合发展潜能及变化。研究发现,高速公路建设拉近了边缘地区与核心地区的时间距离,西部地区的交通条件得到了很大改善,但并没有改变各城市的区位优劣水平,而且导致城市间发展潜力的差距更加不平衡。</p>
|
| [3] |
机会公平视角下绍兴城市公园绿地可达性评价 [J].https://doi.org/10.13249/j.cnki.sgs.2016.03.008 URL Magsci 摘要
<p>以绍兴古城及周边地区为研究区域,利用居住建筑的空间分布来测算评价区域内常住人口空间分布;继而利用GIS工具来测量公园绿地服务范围,并统计出市民可享用公园绿地的选择机会的空间分布情况,从而在精细尺度上基于空间公平视角实现对公园绿地的可达性测量。研究表明,公园绿地服务范围内部存在着不公平现象,进而提出了相应的公园绿地布局优化策略。</p>
Assessment of accessibility to urban parks in Shaoxing city from the perspective of opportunity equity. https://doi.org/10.13249/j.cnki.sgs.2016.03.008 URL Magsci 摘要
<p>以绍兴古城及周边地区为研究区域,利用居住建筑的空间分布来测算评价区域内常住人口空间分布;继而利用GIS工具来测量公园绿地服务范围,并统计出市民可享用公园绿地的选择机会的空间分布情况,从而在精细尺度上基于空间公平视角实现对公园绿地的可达性测量。研究表明,公园绿地服务范围内部存在着不公平现象,进而提出了相应的公园绿地布局优化策略。</p>
|
| [4] |
1980~2010年中国集中连片特困地区公路可达性演化研究 [J].https://doi.org/10.1329/j.cnki.sgs.2016.01.004 URL Magsci 摘要
以14个中国集中连片特困地区为研究对象,基于1980年、1995年、2010年的公路网络数据,定量分析公路网络结构及公路可达性的演化,并通过对公路可达性的空间自相关分析,探讨14个中国集中连片特困地区的公路可达性空间格局演化趋势。研究结果表明:1995~2010年,14个中国集中连片特困地区的公路网络结构不断优化,但优劣排名具有较稳定的继承性。1980~2010年,网络可达性有不同程度地改善,网络可达性的优劣排名具有稳定性;栅格可达性相对较好的为罗霄山区、吕梁山区、大别山区等,相对较差的西藏、四省藏区、新疆南疆三地州;根据1980~2010年网络可达性的空间集聚关系,将14个中国集中连片特困地区的可达性空间格局演化趋势划分为维持原样型、趋于集聚型、趋于均衡型3个类型。
Evolution of road accessibility of concentrated contiguous areas with particular difficulties in China from 1980 to 2010. https://doi.org/10.1329/j.cnki.sgs.2016.01.004 URL Magsci 摘要
以14个中国集中连片特困地区为研究对象,基于1980年、1995年、2010年的公路网络数据,定量分析公路网络结构及公路可达性的演化,并通过对公路可达性的空间自相关分析,探讨14个中国集中连片特困地区的公路可达性空间格局演化趋势。研究结果表明:1995~2010年,14个中国集中连片特困地区的公路网络结构不断优化,但优劣排名具有较稳定的继承性。1980~2010年,网络可达性有不同程度地改善,网络可达性的优劣排名具有稳定性;栅格可达性相对较好的为罗霄山区、吕梁山区、大别山区等,相对较差的西藏、四省藏区、新疆南疆三地州;根据1980~2010年网络可达性的空间集聚关系,将14个中国集中连片特困地区的可达性空间格局演化趋势划分为维持原样型、趋于集聚型、趋于均衡型3个类型。
|
| [5] |
县域农村居民点空间格局与可达性——以江苏省射阳县为例 [J].https://doi.org/10.11820/dlkxjz.1999.02.003 URL Magsci [本文引用: 1] 摘要
基于全国第二次土地利用调查数据,借助GIS软件平台,运用核密度估算、最近邻距离指数、探索性空间数据分析、栅格成本加权距离算法等模型分析江苏省射阳县农村居民点空间格局与可达性。研究表明:在可达性成本上,镇中心半小时经济圈为5 km,成本从中心沿公路网向外围呈增长态势;村中心半小时经济圈半径为1km,呈现"满天星"分布格局;耕作成本一般为5 min,西部村庄可达性高于东部。在点格局上,农村居民点分布集聚,呈现"西密东疏"的空间格局特征。在规模空间格局上,农村居民点规模普遍较小,具有"太极"状结构。在可达性空间格局上,镇中心平均可达性呈现"双管"结构,高值区在射阳县西部和中部形成条带状分布;村中心平均可达性空间上类似"树枝"结构,呈现中西部高值集聚和东部低值连片分布的格局;耕作平均可达性具有南部高值、东部低值连片和中部高值集聚特征。空间可达性可划分为可达性高值区、可达性中值区和可达性低值区三级,射阳县可达性以中值为主,具有圈层状和"公路沿线"布局特征。
Spatial pattern and accessibility of rural settlements—A case study on Sheyang county in Jiangsu province. https://doi.org/10.11820/dlkxjz.1999.02.003 URL Magsci [本文引用: 1] 摘要
基于全国第二次土地利用调查数据,借助GIS软件平台,运用核密度估算、最近邻距离指数、探索性空间数据分析、栅格成本加权距离算法等模型分析江苏省射阳县农村居民点空间格局与可达性。研究表明:在可达性成本上,镇中心半小时经济圈为5 km,成本从中心沿公路网向外围呈增长态势;村中心半小时经济圈半径为1km,呈现"满天星"分布格局;耕作成本一般为5 min,西部村庄可达性高于东部。在点格局上,农村居民点分布集聚,呈现"西密东疏"的空间格局特征。在规模空间格局上,农村居民点规模普遍较小,具有"太极"状结构。在可达性空间格局上,镇中心平均可达性呈现"双管"结构,高值区在射阳县西部和中部形成条带状分布;村中心平均可达性空间上类似"树枝"结构,呈现中西部高值集聚和东部低值连片分布的格局;耕作平均可达性具有南部高值、东部低值连片和中部高值集聚特征。空间可达性可划分为可达性高值区、可达性中值区和可达性低值区三级,射阳县可达性以中值为主,具有圈层状和"公路沿线"布局特征。
|
| [6] |
基于改进潜能模型的就医空间可达性度量和缺医地区判断——以江苏省如东县为例 [J].
潜能模型广泛应用于就医空间可达性评价,现有模型综合了医疗设施服务能力、居民点人口数量、医疗设施与居民点之间的出行阻抗。在此基础上通过考虑"医疗设施不同等级规模对居民就医选择行为的影响"对模型进行修正。结果表明,改进的潜能模型能够更为合理地评价就医空间可达性,准确揭示居民实际所能获取的医疗资源,结合医疗资源配置相关标准,则能有效判定缺医地区,为政府相关部门规划决策提供依据。
Measurement of spatial accessibility to health care facilities and defining health professional shortage areas basedon improved potential model—A case study ofRudongcounty in Jiangsu province.
潜能模型广泛应用于就医空间可达性评价,现有模型综合了医疗设施服务能力、居民点人口数量、医疗设施与居民点之间的出行阻抗。在此基础上通过考虑"医疗设施不同等级规模对居民就医选择行为的影响"对模型进行修正。结果表明,改进的潜能模型能够更为合理地评价就医空间可达性,准确揭示居民实际所能获取的医疗资源,结合医疗资源配置相关标准,则能有效判定缺医地区,为政府相关部门规划决策提供依据。
|
| [7] |
Measurement,optimization, and impact of health care accessibility: A methodological review [J].https://doi.org/10.1080/00045608.2012.657146 URL PMID: 3547595 Magsci [本文引用: 2] 摘要
Abstract Despite spending more than any other nation on medical care per person, the United States ranks behind other industrialized nations in key health performance measures. A main cause is the deep disparities in access to care and health outcomes. Federal programs such as the designations of Medically Underserved Areas/Populations and Health Professional Shortage Areas are designed to boost the number of health professionals serving these areas and to help alleviate the access problem. Their effectiveness relies first and foremost on an accurate measure of accessibility so that resources can be allocated to truly needy areas. Various measures of accessibility need to be integrated into one framework for comparison and evaluation. Optimization methods can be used to improve the distribution and supply of health care providers to maximize service coverage, minimize travel needs of patients, limit the number of facilities, and maximize health or access equality. Inequality in health care access comes at a personal and societal price, evidenced in disparities in health outcomes, including late-stage cancer diagnosis. This review surveys recent literature on the three named issues with emphasis on methodological advancements and implications for public policy.
|
| [8] |
Spatial decompositions, modeling and mapping service regions to predict access to social programs [J].https://doi.org/10.1080/10824000009480538 URL [本文引用: 1] 摘要
Although social programs intend to provide equal access for all, in the final evaluation, fairness of the distribution of services is usually dictated by location. Measuring and predicting access to social services can help these programs adjust and better accommodate under-served regions. A method is proposed which delineates the service area of providers delivering social services and produces a probability metric that maps the equity of the program of services for each household. We begin with a computationally trivial method for delineating service areas, map the probability of households being served, and propose an adjustment process, an allocation, to level access to services. We argue such methods can serve to better locate service providers and insure equity when implementing social programs.
|
| [9] |
广州市医疗设施可达性模型中端点吸引的影响因素检验 [J].
引入出租车GPS数据对医疗设施端点特征指标、服务端特征指标、环境要素指标等进行检验,衡量这些指标对医疗设施端点吸引量和主要服务范围的影响作用。结果显示医疗服务利用符合距离衰减规律,1.5 km内人数最多,超过1.5 km,随距离增加出行人数逐渐减少;医疗设施吸引量受医院规模、所在地区人口数量的正向影响,主要服务范围受到所在地区人口数量的负向影响,其他指标影响不显著。
Evaluation of hospital layout based on the Gaussian 2SFCA accessibility mode.
引入出租车GPS数据对医疗设施端点特征指标、服务端特征指标、环境要素指标等进行检验,衡量这些指标对医疗设施端点吸引量和主要服务范围的影响作用。结果显示医疗服务利用符合距离衰减规律,1.5 km内人数最多,超过1.5 km,随距离增加出行人数逐渐减少;医疗设施吸引量受医院规模、所在地区人口数量的正向影响,主要服务范围受到所在地区人口数量的负向影响,其他指标影响不显著。
|
| [10] |
两步移动搜寻法及其扩展形式研究进展 [J].https://doi.org/10.18306/dlkxjz.2016.05.006 URL [本文引用: 3] 摘要
两步移动搜寻法是公共服务设施空间可达性研究中的重要方法,在国内外公共服务设施布局研究中得到了广泛应用,且发展出了众多扩展形式.但国内研究中对两步移动搜寻法尤其是其扩展形式的应用还较为有限.本文对两步移动搜寻法的主要扩展形式进行系统梳理和总结,将国内外研究中提出的两步移动搜寻法扩展形式归纳为基于引入距离衰减函数的扩展、对搜寻半径的扩展、针对需求或供给竞争的扩展以及基于出行方式的扩展4类,并分析了各种扩展形式的优缺点、适用情景以及未来可能改进方向.旨在为相关研究的方法选择提供参考,促进两步移动搜寻法及其扩展形式在国内相关领域的应用和发展.
Research progress of the two-step floating catchment area method and extensions. https://doi.org/10.18306/dlkxjz.2016.05.006 URL [本文引用: 3] 摘要
两步移动搜寻法是公共服务设施空间可达性研究中的重要方法,在国内外公共服务设施布局研究中得到了广泛应用,且发展出了众多扩展形式.但国内研究中对两步移动搜寻法尤其是其扩展形式的应用还较为有限.本文对两步移动搜寻法的主要扩展形式进行系统梳理和总结,将国内外研究中提出的两步移动搜寻法扩展形式归纳为基于引入距离衰减函数的扩展、对搜寻半径的扩展、针对需求或供给竞争的扩展以及基于出行方式的扩展4类,并分析了各种扩展形式的优缺点、适用情景以及未来可能改进方向.旨在为相关研究的方法选择提供参考,促进两步移动搜寻法及其扩展形式在国内相关领域的应用和发展.
|
| [11] |
An enhanced two-step floating catchment area (E2SFCA) method for measuring spatial accessibility to primary care physicians [J].https://doi.org/10.1016/j.healthplace.2009.06.002 URL PMID: 19576837 [本文引用: 1] 摘要
This paper presents an enhancement of the two-step floating catchment area (2SFCA) method for measuring spatial accessibility, addressing the problem of uniform access within the catchment by applying weights to different travel time zones to account for distance decay. The enhancement is proved to be another special case of the gravity model. When applying this enhanced 2SFCA (E2SFCA) to measure the spatial access to primary care physicians in a study area in northern Illinois, we find that it reveals spatial accessibility pattern that is more consistent with intuition and delineates more spatially explicit health professional shortage areas. It is easy to implement in GIS and straightforward to interpret.
|
| [12] |
Planning toward equal accessibility to services: A quadratic programming approach [J].https://doi.org/10.1068/b37096 URL [本文引用: 1] 摘要
In the literature various accessibility indices have been developed to assess the relative ease by which the locations of services (supply) can be reached from a residential (demand) location. In this paper we address the planning problem: how the resources can be redistributed to achieve the highest equality of accessibility to the service providers. In particular, a quadratic programming approach is used to minimize the variance of accessibility scores across demand locations by readjusting the amounts of service supplies. Two case studies-job access in Columbus, OH and primary healthcare access in Chicago, IL-are used to illustrate the method. The result suggests that in order to achieve better equality of accessibility, peripheral areas, in general, need additional supplies to compensate for their less-central locations, and some central city areas also need to add supplies to accommodate high demands by the high population density there.
|
| [13] |
Geographic Disparities in Accessibility to Food Stores in Southwest Mississippi [J].https://doi.org/10.1068/b36149 URL [本文引用: 1] 摘要
Disparities in accessibility to healthy food are a critical public-health concern. Poor access to reasonably priced, nutritious, and good-quality food may lead to poor diet and increase the risks of health problems such as obesity, diabetes, and cardiovascular diseases. This research advances the popular two-step floating catchment area (2SFCA) method by incorporating a kernel density (KD) function to form the ‘KD2SFCA method’. The study applies the method to measure the spatial access to food stores in southwest Mississippi, and examines the interaction between the spatial access and nonspatial factors. The research shows that neighborhoods with higher scores of urban socioeconomic disadvantage actually have better spatial accessibility to food stores; but higher percentages of carless households and lower income in some neighborhoods may compromise overall accessibility. Neighborhoods with stronger cultural barriers tend to be associated with poorer spatial accessibility. The study clearly differentiates spatial and nonspatial factors in access inequalities, and thus helps policy makers to design corresponding remedial strategies.
|
| [14] |
Racial/ethnic and socioeconomic disparities in urban green space accessibility: Where to intervene? [J].https://doi.org/10.1016/j.landurbplan.2011.05.002 URL Magsci [本文引用: 2] 摘要
Access to green spaces is important to physical activities and public health, yet one concern remains as to whether the disparities in green space access exist. This study aimed to (1) introduce an approach to quantify potential spatial accessibility to green spaces in a Geographic Information Systems (GIS) environment; and (2) evaluate the racial/ethnic and socioeconomic disparities in green space access. Urban green spaces ( = 890) in metropolitan Atlanta, Georgia were collected from the Atlanta Regional Commission. A Gaussian-based two-step floating catchment area method was adapted to assess the spatial accessibility to green spaces at the census tract level. The Ordinary Least Squares (OLS) model and the spatial lag model were used to evaluate the racial/ethnic and socioeconomic disparities. Results suggest that the spatial accessibility to green spaces in Atlanta was not evenly distributed. Both models show that neighborhoods with a higher concentration of African Americans had significantly poorer access to green spaces ( < 0.05). Asian population had significantly poor access in the OLS model but not in the spatial lag model. Poor access was present in socioeconomically disadvantaged areas as well. Findings can be used for the city and regional planners to target the specific areas for green space development in order to elucidate the disparities.
|
| [15] |
Spatial accessibility in suboptimally configured health care systems: A modified two-step floating catchment area (M2SFCA) metric [J].https://doi.org/10.1016/j.healthplace.2013.07.012 URL PMID: 24021921 [本文引用: 2] 摘要
61A modified two step floating catchment area metric is presented.61The M2SFCA acknowledges the suboptimal distribution of health care resources.61I show that current FCA metrics assume resources are distributed optimally.61The benefits of the M2SFCA are highlighted using simulated data and a case study.
|
| [16] |
A three-step floating catchment area method for analyzing spatial access to health services [J].https://doi.org/10.1080/13658816.2011.624987 URL Magsci [本文引用: 1] 摘要
Gravity-based spatial access models have been widely used to estimate spatial access to healthcare services in an attempt to capture the interaction of various factors. However, these models are inadequate in informing health resource allocation work due to their inappropriate assumption of healthcare demand. For the purpose of effective healthcare resource planning, this article proposes a three-step floating catchment area (3SFCA) method to minimize the healthcare-demand overestimation problem. Specifically, a spatial impedance-based competition scheme is incorporated into the enhanced two-step floating catchment area (E2SFCA) method to account for a reasonable model of healthcare supply and demand. A case study of spatial access to primary care physicians along the Austin an Antonio corridor area in central Texas showed that the proposed method effectively minimizes the overestimation of healthcare demand and reflects a more balanced geographic pattern of spatial access than E2SFCA. In addition, by using an adjusted spatial access index, the 3SFCA method indicates strong potential for identifying health professional shortage areas. The study concludes that 3SFCA is a promising method to provide health professionals and decision makers with useful healthcare accessibility information.
|
| [17] |
Integrating the Huff model and floating catchment area methods to analyze spatial access to healthcare services [J].https://doi.org/10.1111/tgis.12096 URL Magsci [本文引用: 1] 摘要
AbstractAnalysis of spatial access to healthcare services is critical for effective health resource planning. Gravity-based spatial access models have been widely used to estimate spatial access to healthcare services. Among them, the floating catchment area (FCA) methods have been proved to be informative and helpful to the designation of Health Professional Shortage Areas (HPSAs). This article integrates the Huff Model with the FCA method to articulate population selection on services. Through the proposed approach, population demand on healthcare services is adjusted by a Huff Model-based selection probability that reflects the impacts of both distance impedance and service site capacity. The new approach moderates the over- or under-estimating of population demand that occurred with previous methods. Furthermore, the method uses a continuous distance impedance weight function instead of the arbitrarily defined subzones of previous studies. A case study of spatial access to primary care in Springfield, MO, showed that the proposed method can effectively moderate the population demand on service sites and therefore can generate more reliable spatial access measures.
|
/
| 〈 |
|
〉 |