TRMM卫星降水数据在川渝地区的适用性分析 |
嵇涛, 杨华, 刘睿, 何太蓉, 吴建峰 |
Applicability analysis of the TRMM precipitation data in the Sichuan-Chongqing region |
Tao JI, Hua YANG, Rui LIU, Tairong HE, Jianfeng WU |
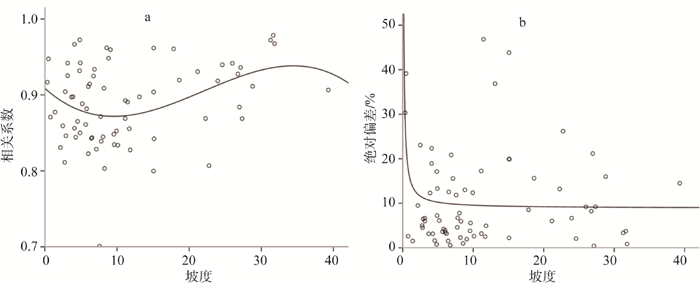
图8 川渝地区坡度与相关系数R、|Bias(%)|的散点图 |
Fig.8 Scatter diagram of Slope, R and |Bias(%)| in Sichuan-Chongqing region |
![]() |