研究论文

黄河玛曲段晚全新世古洪水事件沉积记录及其气候背景研究

  • 刘阳 ,
  • 李瑜琴 ,
  • 黄春长 ,
  • 庞奖励 ,
  • 查小春 ,
  • 周亚利 ,
  • 温煜未
展开
  • 陕西师范大学地理科学与旅游学院,西安 710119
李瑜琴(1980-),女,山西偏关人,硕士生导师,副教授,主要从事资源开发与环境演变研究。E-mail:

刘阳(2000-),男,湖北黄冈人,硕士,研究方向为资源开发与环境演变。E-mail:

收稿日期: 2023-04-04

  录用日期: 2023-08-29

  网络出版日期: 2023-12-12

基金资助

国家自然科学基金项目(42171092)

国家自然科学基金项目(41971116)

国家自然科学基金项目(42271046)

Sedimentary records and climatic background of Late Holocene palaeoflood events in the Maqu reaches of the Yellow River

  • LIU Yang ,
  • LI Yuqin ,
  • HUANG Chunchang ,
  • PANG Jiangli ,
  • ZHA Xiaochun ,
  • ZHOU Yali ,
  • WEN Yuwei
Expand
  • School of Geography and Tourism, Shaanxi Normal University, Xi'an 710119, China

Received date: 2023-04-04

  Accepted date: 2023-08-29

  Online published: 2023-12-12

摘要

黄河玛曲段古洪水事件是黄河源区水系对区域气候变化的响应。基于黄河源区野外考察,在玛曲段黄河左岸一级阶地上发现夹有典型古洪水滞流沉积层的剖面。结合地层野外沉积学宏观特征和室内沉积样品磁化率、粒度分布、粒度端元、地球化学元素指标的微观特征,判定该剖面古洪水沉积层为黄河全新世古洪水滞流沉积物,且古洪水沉积层SWD2所指示的古洪水规模大于古洪水沉积层SWD1。古洪水沉积层SWD1和SWD2的OSL测年结果分别为3.33±0.15 ka和2.96±0.16 ka,表明剖面记录的两次古洪水发生于2.9 ka~3.3 ka 之间,该时期恰好对应全新世晚期气候转折期。这一时期黄河源区的气候极不稳定,气候变率增大,可能有高山冰川大量消融,叠加突发性大暴雨,大量地表径流短时期汇入黄河干流河道,导致黄河玛曲段特大古洪水事件的发生。该研究成果有助于摸清黄河源区水文特征对于全球变化的响应规律以及深入理解黄河现代水系格局发育演变过程。

本文引用格式

刘阳 , 李瑜琴 , 黄春长 , 庞奖励 , 查小春 , 周亚利 , 温煜未 . 黄河玛曲段晚全新世古洪水事件沉积记录及其气候背景研究[J]. 地理研究, 2023 , 42(12) : 3147 -3164 . DOI: 10.11821/dlyj020230226

Abstract

Palaeoflood is a response of drainage systems to the regional climate change in the source region of the Yellow River. Based on field investigations of the study region, a profile with typical palaeoflood slackwater deposits (SWDs) was found on the first terrace of the left bank in the Maqu reaches of the Yellow River. Combined with macroscopic observations in the field, in particular the sedimentological characteristics, and microscopic examinations of samples in the laboratory with the characteristics of magnetic susceptibilities, grain-size distributions and end-members, and geochemical parameters, the palaeoflood slackwater deposits (SWDs) of the Yellow River were distinguished from other deposits in the profile. Furthermore, the palaeoflood level indicated by the palaeoflood SWD2 was higher than that of the palaeoflood SWD1. Based on the OSL dating and Bacon age-depth model simulation, chronologies of SWD1 and SWD2 were 3.33±0.15 ka BP and 2.96±0.16 ka BP, respectively. This indicated that two palaeofloods events recorded by SWDs in the profile occurred during 2.9-3.3 ka BP, which corresponded to the transition from the Middle Holocene to the Late Holocene. During the period, the climate in the source region of the Yellow River was relatively unstable, and its variability increased, together with the glacier melting and heavy rainfalls. A large amount of surface runoffs flowed into the mainstream of the Yellow River in a short time, which resulted in occurrences of palaeoflood events in the Maqu reaches of the Yellow River. Results are helpful to understand the hydrological response of the Yellow River to climate change in the source region, and the evolution of the present drainage systems of the Yellow River.

1 引言

黄河玛曲段地处青藏高原东北部的若尔盖盆地,是黄河源的重要组成部分。该区域受青藏高原抬升运动和多重季风共同影响,属于气候极为敏感的地区[1-4]。同时,该区域河流水系受降雨和冰雪融水混合补给的影响,易形成峰高量大、范围广、历时长、稀遇程度高、致灾严重的特大洪水[5,6]。然而,黄河源区水文实测数据序列最长仅有60余年,极大地限制了人们对区域内特大洪水发生规律和演化特征的认知。因此,亟需通过典型的黄河古洪水沉积记录,有效延长区域内洪水的时间序列,系统揭示黄河源区特大洪水事件水文特征及其发生的气候背景,进一步厘清黄河源区河流系统对全球气候变化的响应。一些学者依托古洪水直接的沉积记录,采用地貌学、沉积学、年代学和古洪水水文学等多学科耦合方法,在长江中下游、黄河中上游、雅鲁藏布江中游、淮河上游等河段已经开展了全新世以来古洪水事件的研究[7-13],不仅定量重建了这些河段古洪水的规模和频率,而且揭示了古洪水事件发生年代及其气候演化背景。目前,在黄河源区学者们主要利用湖泊沉积物钻孔岩芯[14,15]、沼泽泥炭[16,17]、地表风沙[18,19]、植物群落与植被[20,21]、古脊椎动物化石[22]等材料围绕古湖泊消亡、河流水系变迁和风沙活动开展了一系列研究,但是对于黄河源区河段尤其全新世以来的古洪水事件研究较少,尚未全面掌握特大洪水事件发生规律、演化特征及其水文气候背景。
鉴于此,本文以黄河玛曲段左岸一级阶地前坡典型的古洪水沉积剖面为研究对象,耦合剖面地层野外宏观特征(颜色、结构、层理等)和室内微观特征(磁化率、粒度、地球化学元素等代用指标),精准识别出剖面所夹两次古洪水事件的沉积层,借助光释光(OSL)测年和Bacon年龄-深度模型,确立两次古洪水事件发生的年代,揭示黄河玛曲段全新世古洪水事件发生的气候背景,为深刻理解黄河源区河流系统对全球气候变化的响应规律提供一手资料。

2 研究区概况

玛曲县位于黄河源区,黄河从其南、东、北三面环绕而过,形成“黄河天下第一湾”,境内黄河河长433 km,流域面积1.02万km2图1)。黄河在玛曲县域范围内的年径流量为143.4亿m3,占黄河源区径流总量的51.5%,因此黄河玛曲段是黄河源区的主要产流区,素有“黄河之肾”和“黄河蓄水池”之称。区内黄河河型多为弯曲、辫状、分汊型,河流比降小,河流中泓线左右移动频繁,流速缓慢;支流众多,主要有黑河、白河、贾曲等,且有少量湖泊,干支流水系呈现网状展布[23]。玛曲县地处青藏高原东北边缘,平均海拔3700 m,周围分布有阿尼玛卿山、西倾山,形成了西北高东南低的地势。区域内黄河发育有两级阶地(T1和T2),阶地宽阔平坦,一级阶地T1阶地面前沿一般高出黄河平水位8~10 m,二级阶地T2阶地面前沿高出河流平水位16~20 m,若尔盖盆地的山丘主要由板岩、页岩、砂质泥岩、砾岩、灰岩等构成[1,24]。盆地属于气候变化的高度敏感区,受东亚夏季风、印度夏季风和西风带交互影响,区内气候呈典型的高原大陆高寒湿润气候,7月气温最高,平均气温10.8 ℃,1月气温最低,平均气温-9.4 ℃;年降水量为611.9 mm,雨水高度集中在7—9月,占全年降水的87.9%,且多暴雨、连阴雨[25-27]。1969年8月22日至9月12日连阴日数长达23天,总降水量为171.9 mm,是玛曲记录的连阴雨之最。境内黄河洪水多发于夏、秋季。
图1 黄河玛曲段水系及研究地点位置

Fig. 1 The drainage system and location of the study site in the Maqu reaches of the Yellow River

玛曲水文站建于1959年,是黄河上游的重要控制站。该站点实测黄河平均流量为554 m3/s,实测最大洪水最大洪峰流量为4330 m3/s(1981年),洪量为65.6×108 m3[28]。玛曲水文站的年平均含沙量为0.39 kg/m3,最大瞬时含沙量为2.26 kg/m3

3 材料来源与研究方法

3.1 研究剖面与样品采集

2021年7月,研究团队对若尔盖盆地开展了黄河古水文实地勘察,于玛曲段黄河左岸一级阶地T1前坡发现典型的全新世古洪水沉积层,选取具有代表性的玛曲新桥西(MQXQ-W)剖面进行黄河全新世古洪水事件及气候背景研究。MQXQ-W剖面位于黄河干流与支沟交汇处(图2a图2b),具体位置为33°57'21"N、102°2'18"E,剖面顶部高出黄河平水位6 m。根据颜色、结构、层理等沉积学宏观特征,出露完整的MQXQ-W剖面从顶部向下依次划分为现代草甸土层(Modern soil,MS)、风成黄土层(L0)、古洪水沉积层(Slackwater deposit,SWD)和支沟山洪沉积层(Flash flood deposit,FFD)(图2c表1)。支沟山洪沉积层(FFD)多是由暴雨或冰川融水引起的山洪,受重力作用沿着支沟向下汇流,水流流速大,常常携带泥沙和砾石,在与干流交汇处迅速沉积下来。支沟山洪沉积物多为近源物质,搬运距离相对较短,其搬运动力主要受坡度影响。支沟山洪沉积层(FFD)的特征表现为分选性差,砾石、沙、黏土混杂,磨圆度差,层理不发育,局部呈现透镜状。黄河玛曲段MQXQ-W剖面底部地层含有粗沙和砾石,且砾石的磨圆度较差,该地层呈透镜状并在近黄河方向逐渐尖灭,故判定其为黄河的支沟山洪沉积物。古洪水沉积层(SWD)多是洪水行洪过程中或退洪阶段高水位滞流环境沉积下来的悬移质泥沙,这些沉积物常常在支沟、岩壁、洞穴等位置可以很好地保存下来。受长距离搬运和水动力的影响,古洪水沉积层(SWD)的特征主要表现为水平或波状层理,分选性好,以细颗粒物质(如粉沙、细沙)为主,沉积层内部呈现细-粗-细的粒序层理,有时受微地形影响还会存在尖灭点。MQXQ-W剖面中古洪水沉积层(SWD)的界线清晰,水平层理发育,可清楚地分辨出两个古洪水沉积层,即SWD1和SWD2,每个古洪水沉积层单层厚度约15 cm,内部从上到下呈现细-粗-细的粒序层理,沉积物粒度组成以粉沙和细沙为主,结构均一,块状构造(图2c图2d表1)。对MQXQ-W剖面从顶部向下以5 cm间隔连续系统采样,共采集21个沉积学样品。同时,分别在现代草甸土层(MS)下部30~35 cm处,风成黄土层(L0)下部60~65 cm处,古洪水沉积层SWD2下部80~85 cm处和古洪水沉积层SWD1下部95~100 cm处采集光释光样品,共计4个。
图2 黄河玛曲段MQXQ-W剖面位置、地层划分及沉积物照片

注:图a来源于Goole Earth,引用时间为2021年3月;图b~图d均为李瑜琴拍摄于2021年7月。

Fig. 2 Location and field photographs of the MQXQ-W profile in the Maqu reaches of the Yellow River

表1 黄河玛曲段MQXQ-W剖面地层与特征描述

Tab. 1 Stratigraphic subdivisions and characteristics of the MQXQ-W profile in the Maqu reaches of the Yellow River

地层名称与符号 深度(cm) 地层特征描述
现代草甸土层(MS) 0~45 灰棕色(7.5YR4/2),湿润时为黑褐色 (10YR3/1),粉沙质地,团粒-团块构造,疏松多孔,0~20 cm植物根系分布密集。
风成黄土层(L0 45~70 灰黄色(5YR6/4),粉沙质地,块状构造,结构疏松,无层理。
古洪水沉积层(SWD) 70~100 浊黄橙色(2.5YR6/4),界线清晰,水平层理发育,可分辨出两次古洪水沉积层(SWD1、SWD2),单层厚度约15 cm,内部呈现细-粗-细粒序层理,沉积物粒度组成以粉沙和细沙为主,结构均一,块状构造。
支沟山洪沉积层(FFD) 100~? 杂色,未见底,粗沙与砾石混杂,局部呈透镜状,砾石长径小于5 cm,磨圆度较差,成扁平状,多向北倾斜,指向黄河方向,判定为支沟山洪沉积物。

3.2 研究方法

3.2.1 沉积学代用指标测定

磁化率采用英国Bartington公司生产的MS-2B型磁化率仪测试,将其研磨至粒径小于2 mm,称取10 g放在无磁性的塑料瓶中;分别测试了高频磁化率(47 kHz,HF)与低频磁化率(0.47 kHz,LF),每个样品需要重复测试三次,分别取其平均值。
粒度测试采用美国 Beckman 公司生产的LS13320型激光粒度仪,测量范围0.375~2000 μm,在实验过程中,将遮光度控制在8%~12%范围内,仪器误差低于4%。前处理先称取0.2~0.4 g样品,置于500 mL烧杯,再用10%的H2O2去除有机质,10%的HCl去除碳酸盐类矿物,然后用蒸馏水将溶液洗至中性,加入5mL 0.05mol/L(NaPO3)6,超声波震荡10~15分钟,之后在激光粒度仪上测试,每个样品测试三次,取其平均值。粒度参数包括平均粒径(Mz)、中值粒径(Md)、分选系数(σ)、偏度(SK)和峰度(Kg)均选用福克和沃德的公式[29,30]。此外,对于样品中粒径>0.1 mm颗粒采用湿筛法进一步分析,每个沉积样称取30g,用水冲洗过150目筛子,将粒径>0.1 mm沙级颗粒烘干称重,计算出其占样品总量的百分比。
为了进一步揭示样品沉积环境和动力,本文运用粒度端元模型(End-member analysis,EMA)对剖面样品进行分析。EMA分析采用AnalySize模型在MATLAB2014a中运行,采用Gen. Weibull分布参数法拟合端元组分,以端元线性相关R2和角度偏差AD拟合度作为端元数量选择的依据,当R2>0.9,角度偏差<7°的时候,拟合程度最好,此时能更好地反映剖面的沉积动力[31-33]
样品地球化学元素的测定采用德国BRUKER公司生产的S8 TIGER X-Ray荧光光谱仪,用振动研磨机将自然风干的沉积样研磨至粒径小于74 μm,称取5 g在压样机上制片,上机测试其元素含量。元素综合指标包括淋溶系数、退碱系数、残积系数。其中,淋溶系数用(CaO+K2O+Na2O)/Al2O3来表征,退碱系数用(CaO+Na2O)/Al2O3来表示,残积系数用(Al2O3+Fe2O3)/(CaO+MgO+Na2O)来表示[34,35]
粒度、磁化率、地球化学元素的测试均在陕西师范大学地理科学与旅游学院环境变迁实验室完成。

3.2.2 沉积地层光释光(OSL)测年

将野外包装处理好的光释光样品带回暗室,取采样钢管中部未曝光的OSL样品,加入10%的HCl和30%的H2O2去除样品中碳酸盐和有机质,采用湿筛法筛分出90~125 μm粒径组分,加入30%的HF溶蚀,再用10%的HCl去除溶液中多余的氟化物,最后洗净、烘干制片备用。样品U、Th、K含量的测定在西安地质矿产研究所完成。样品含水量在实验室用烘干法实测获得。在陕西师范大学TL/OSL释光断代实验室,使用Riso-TL/OSL DA-20型全自动释光仪测定样品的等效剂量值(De)。宇宙射线的贡献根据样品所在地的经纬度位置、海拔高度和埋藏深度,通过相关公式计算所得[36]。根据样品等效剂量值的离散度和样品的晒退情况,以及相关参数和公式估算的环境剂量率(Dy),运用Bacon年龄-深度模型进行OSL年龄的校正[37],该模型使用在R语言下,利用Bayesian统计来完成,最终OSL年龄结果见表2图3
表2 黄河玛曲段MQXQ-W剖面OSL测年参数与结果

Tab. 2 OSL dating results of the MQXQ-W profile in the Maqu reaches of the Yellow River

样品编号 深度
(cm)
层位 粒径
(μm)
含水量(%) U
(μg/g)
Th
(μg/g)
K
(%)
Dy
(Gy/ka)
De
(Gy)
OSL年龄
(ka)
OSL-1 30 MS 90-125 25±3 1.58±0.3 7.19±0.6 1.60±0.04 2.46±0.10 1.79±0.11 0.73±0.05
OSL-2 60 L0 90-125 20±3 1.92±0.3 10.97±0.6 1.59±0.04 2.81±0.11 4.45±0.25 1.58±0.11
OSL-3 80 SWD2 90-125 25±3 1.51±0.3 8.31±0.6 1.43±0.04 2.35±0.08 6.96±0.27 2.90±0.16
OSL-4 95 SWD1 90-125 25±3 1.41±0.3 9.25±0.6 1.46±0.04 2.35±0.08 7.83±0.21 3.33±0.15
图3 黄河玛曲段MQXQ-W剖面OSL年龄、年龄-深度模拟结果、磁化率、粒度组分分布曲线

注:图中地层OSL年龄从上到下依次为0.73±0.05 ka、1.58±0.11 ka、2.90±0.16 ka、3.33±0.15 ka。

Fig. 3 OSL age, age-depth simulation, magnetic susceptibilities, and grain-size distribution curves of the MQXQ-W profile in the Maqu reaches of the Yellow River

4 结果分析

4.1 磁化率特征

磁化率值主要取决于沉积物中所含磁性矿物(磁铁矿、磁赤铁矿)含量,还与沉积物的粒度有关。一般而言,由于风成沉积物的物源相对稳定,黏粒含量越高,磁化率值越高,可以指示暖湿气候环境[38,39]。然而,对于古洪水沉积层(SWD)来说,由于物源复杂多样,其磁化率呈现出复杂多样的特征。黄河玛曲段MQXQ-W剖面地层的低频磁化率(LF)和高频磁化率(HF)变化趋势基本一致(图3),其剖面的低频磁化率(LF)变化范围介于10.67×10-8~17.67×10-8 m3/kg之间,平均值为13.25×10-8 m3/kg。位于剖面上部的现代草甸土层(MS)为磁化率高值区,这一层的低频磁化率(LF)平均值为15.26×10-8 m3/kg,其低频磁化率(LF)与黏粒的变化规律大致相同,说明其磁化率受黏粒含量影响,但是其磁化率随着深度增加呈现逐渐减小的趋势。风成黄土层(L0)的磁化率变化幅度较小,其低频磁化率(LF)平均值为11.73×10-8 m3/kg,磁化率值较低主要与黏粒(<2 μm)含量较少有关。从图3可以看出,古洪水沉积层的磁化率与相邻层位呈现出明显差异,且内部具有明显分层,位于上部的古洪水沉积层SWD2的磁化率值呈现出一个小的波峰,其低频磁化率(LF)平均值为12.25×10-8 m3/kg;位于下部的古洪水沉积层SWD1的磁化率值较小,其低频磁化率(LF)平均值为10.83×10-8 m3/kg。通过对比沉积物的磁化率和各粒级占比发现(图3),古洪水沉积层SWD2的磁化率值较高,其黏粒(<2 μm)含量较低,但是这一层位的沙(>63 μm,42.68%)平均含量较高;古洪水沉积层SWD1的磁化率值较低,对应的沙(>63 μm,32.91%)平均含量较低。由此可见,MQXQ-W剖面古洪水沉积层的磁化率值与沙含量关系较为密切,具有强水动力条件的洪水能够搬运沙级颗粒,导致这一粒级的颗粒物大量沉积。此外,有文献资料显示该区域细沙颗粒的碎屑矿物组分主要有绢云母、绿泥石、白云母等[40-42],这些矿物质可以增强沉积物的磁化率[43,44],进而使得古洪水沉积层磁化率值较高。剖面底部支沟山洪沉积层(FFD)的低频磁化率(LF)值为11.67×10-8 m3/kg,介于古洪水沉积层SWD1和SWD2之间,因此,还需借助粒度和地球化学元素指标进一步区分支沟山洪沉积层和古洪水沉积层。

4.2 粒度分布特征

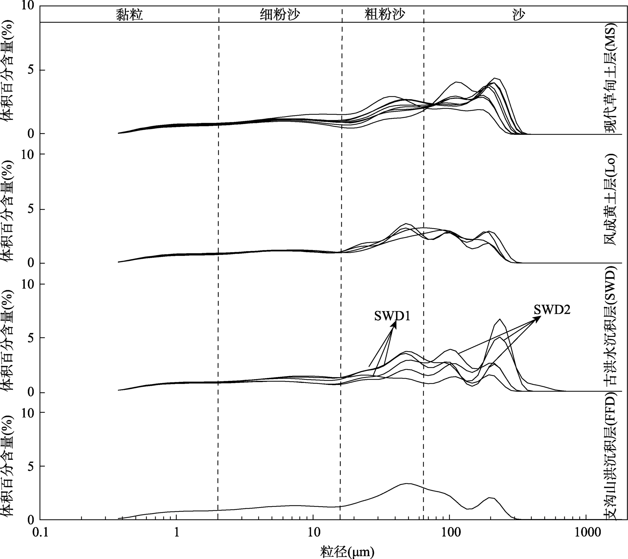
沉积物的粒度特征是判定沉积物物质来源、搬运动力和沉积环境的重要指标[45]。对黄河玛曲段MQXQ-W剖面沉积样品的粒度测试结果按照沉积学标准进行分级(图3),并绘制粒度自然频率分布曲线(图4)。根据不同粒级分布曲线可以看出,古洪水沉积层的变化幅度最大。现代草甸土层(MS)主要粒级为粉沙,其次为沙,平均含量分别为47.29%和42.93%。风成黄土层(L0)的主要粒级为粉沙,平均含量为54.74%,其中细粉沙平均含量为24.24%,粗粉沙平均含量为30.50%,沙平均含量为34.39%。古洪水沉积层SWD1和SWD2的粒度组分以粉沙为主,沙次之,SWD1粉沙平均含量高达56.79%,粗粉沙平均含量(30.86%)高于细粉沙(25.93%);SWD2粉沙平均含量为46.40%、沙平均含量为42.68%,且粉沙中粗粉沙平均含量(26.29%)高于细粉沙(20.11%)。SWD1的粉沙含量高于SWD2,而SWD2的沙含量高于SWD1。支沟山洪沉积层(FFD)的粉沙含量为59.30%,沙平均含量为30.30%。
图4 黄河玛曲段MQXQ-W剖面地层沉积物粒度自然频率分布曲线

Fig. 4 Grain-size distribution frequency curves of stratigraphies of the MQXQ-W profile in the Maqu reaches of the Yellow River

从粒度自然频率分布曲线(图4)的形态变化看出,MQXQ-W剖面各地层样品粒度频率曲线的差异性显著,均呈多峰的特点,显示出多源或多动力叠加的特征。现代草甸土层(MS)在粗粉沙和沙范围内呈现出双峰形态,在黏粒和细粉沙范围内呈现明显细尾,主峰出现在沙级(>63 μm)和粗粉沙级(16~63 μm)范围。现代草甸土层(MS)与其下覆的风成黄土层(L0)粒度频率分布曲线相近,指示二者物质来源相同或相近,均来自于风力搬运作用下堆积的风成沙,然而现代草甸土层(MS)在黏粒和细粉沙范围内呈现明显细尾,表明这一层位已经发生了一定的成壤改造,细颗粒物质增加。结合野外采样观察,该层位疏松多孔,有团粒-团块构造,含有密集的植物根系,成壤发育良好,为典型的现代草甸土。风成黄土层(L0)呈现出三峰形态,3个峰值均出现在粗粉沙和沙范围内,粒径范围分别介于30~60 μm、80~100 μm 和150~250 μm区间,30~60 μm、80~100 μm粒径范围指示了长距离风力搬运的远源物质和较弱风动力搬运的近源物质,而150~250 μm指示了较强河谷风动力或沙尘暴搬运的近源物质。结合野外沉积特征,该层位为粉沙质地,块状构造,均质疏松,结构均一,属于风成黄土层。与黄土高原区的典型黄土相比[46],这一区域风成黄土层(L0)的物质来源不仅有长距离搬运的远源物质,还有就地起沙的近源物质,而且受较强河谷风动力或沙尘暴的作用风成黄土层(L0)粒度频率分布曲线更偏向粗颗粒一端。古洪水沉积层SWD1呈现双峰形态,主峰在粗粉沙和沙范围,峰值介于30~60 μm和150~300 μm之间,有细尾;而SWD2明显地呈现三峰形态,主峰值在粗粉沙和沙范围,峰值介于30~60 μm、70~120 μm和130~300 μm之间,细尾更明显,两者相比较SWD2粒级组分更分散。由此可见,黄河玛曲段MQXQ-W剖面水平层理发育的古洪水沉积层SWD1和SWD2对于30~60 μm和130~300 μm两个粒度区间较为敏感,二者粒度曲线形态差异是由物源组合、搬运距离或不同场次洪水规模的差异所引起。支沟山洪沉积物(FFD)粒径曲线呈现双峰,分别分布在粗粉沙和粗沙范围内,峰值介于30~60 μm、150~250 μm之间,结合野外观察到的这一层位特征,如与其上覆古洪水沉积层SWD1构成了典型的不整合接触关系,以及粗沙与砾石混杂,局部呈透镜状,砾石长径小于5 cm,磨圆度较差,成扁平状,多向北倾斜,指向黄河方向,故判定其为支沟山洪沉积物。
MQXQ-W剖面各层位沉积物的粒度参数是对粒度频率分布曲线形态特征进一步的量化反映(表3)。现代草甸土层(MS)样品的中值粒径(Md)为50.79 μm、平均粒径(Mz)为73.50 μm、标准偏差(σ)为2.51、偏度(SK)和峰度系数(Kg)分别为0.38和0.83,表明该沉积物分选较差,沉积环境较复杂,受人类活动影响较大。风成黄土层(L0)样品的中值粒径(Md)为38.58 μm、平均粒径(Mz)为55.27 μm、标准偏差(σ)为2.45、偏度(SK)和峰度系数(Kg)分别为0.36和0.86,说明该沉积物分选相对较好,整体偏细,反映了黄土的风成堆积环境。古洪水沉积层SWD1中值粒径(Md)为35.31 μm、平均粒径(Mz)为60.76 μm、标准偏差(σ)为2.45、偏度(SK)和峰度系数(Kg)分别为0.30和0.86;古洪水沉积层SWD2中值粒径(Md)为53.94 μm、平均粒径(Mz)为75.22 μm、标准偏差(σ)为2.59、偏度(SK)和峰度系数(Kg)分别为0.42和0.85。两次古洪水沉积物均属于较粗的颗粒物组分、分选性较差、偏度系数较小、峰度值跨度较大,反映出搬运动力大、物源复杂的古洪水沉积环境。支沟山洪沉积层(FFD)中值粒径(Md)为34.88 μm、平均粒径(Mz)为47.43 μm、标准偏差(σ)为2.37、偏度(SK)和峰度系数(Kg)分别为0.34和0.92,中值粒径(Md)、平均粒径(Mz)较其它层位偏小,由于所采样品位于这一地层上部,只记录了支沟山洪后期较弱的水动力特征,反映了山洪后期较细颗粒沉积在混杂的砾石上面的沉积过程。
表3 黄河玛曲段MQXQ-W剖面地层沉积物粒度参数

Tab. 3 Grain-size parameters of the MQXQ-W profile in the Maqu reaches of the Yellow River

地层层位 Md(μm) Mz(μm) σ(Φ) SK Kg
现代草甸土层(MS) 50.79 73.50 2.51 0.38 0.83
风成黄土层(L0 38.58 55.27 2.45 0.36 0.86
古洪水沉积层(SWD2) 53.94 75.22 2.59 0.42 0.85
古洪水沉积层(SWD1) 35.31 60.76 2.45 0.30 0.86
支沟山洪沉积层(FFD) 34.88 47.43 2.37 0.34 0.92
谢帕德三角图常常用于沉积物物质的分类命名,由图5可以看出MQXQ-W剖面各地层沉积样品主要为两种类型:沙质粉沙和粉沙质沙。剖面所夹古洪水沉积层SWD1和SWD2物质分布较为集中,均属于沙质粉沙和粉沙质沙两类(图5),符合河流悬移质的特性。因激光粒度仪的测量范围为0.375~2000 μm,沉积物中的一些粗大颗粒不能很好地表征出来,因此,为了全面地反映不同类型沉积物的粒度组成与分布,以及沉积环境的动力条件,我们对MQXQ-W剖面沉积样品进行了粒径>0.1 mm沙级颗粒的质量百分含量的测定,可以进一步补充说明沉积物中粗颗粒的分布与特征(图6)。由图6可以看出,>0.1 mm沙级颗粒的质量百分含量在整个剖面地层的变化与激光粒度仪实验测得的结果变化趋势几乎一致。>0.1 mm沙级颗粒的质量百分含量在古洪水沉积层SWD1、SWD2均呈现高值,其在SWD1中最高含量达64.44%,在SWD2中最高含量为56.23%,指示了强大的流水动力。
图5 黄河玛曲段MQXQ-W剖面沉积物粒度谢帕德三角分类图

Fig. 5 Shepard's triangle classifications of sediments from the MQXQ-W profile in the Maqu reaches of the Yellow River

图6 黄河玛曲段MQXQ-W剖面>0.1 mm颗粒含量曲线图

Fig. 6 Percentages of >0.1 mm sediments of the MQXQ-W profilein the Maqu reaches of the Yellow River

4.3 粒度端元特征

粒度端元特征可以有效地识别沉积物的物源特征和沉积动力[47]。为了查明黄河玛曲段MQXQ-W剖面沉积物尤其古洪水沉积层(SWD1、SWD2)的沉积环境与搬运动力,对剖面各地层沉积物进行端元分析,结合端元相关性R2和角度偏差拟合度AD,选定5个端元(图7)。从曲线形态特征来看,端元1(EM1)曲线主峰粒径在细粉沙,曲线平宽,分选好,EM1在各个层位的含量均大于40%,因此,EM1反映相对稳定的沉积环境,指示了河流洪水滞流环境以及稳定的长距离风动力搬运作用。端元2(EM2)曲线主峰粒径在粗粉沙,众数粒径48 μm,峰态略窄,分选较好,端元3(EM3)主峰粒径在细沙,峰值粒径101 μm,峰态窄尖,分选较好,EM2和EM3均反映不稳定的沉积环境,指示较弱的河流水流和风力搬运作用,且EM2指示的沉积动力较EM3更弱。端元4(EM4)曲线主峰粒径分布在细沙至中沙范围内,众数粒径176 μm,峰态窄尖,分选较差,EM4主要分布在剖面的现代草甸土层(MS)和风成黄土层(L0),反映了区域内强劲的沙尘暴对近距离地表风化产生粗颗粒的搬运作用;同时,EM4在古洪水沉积层(SWD)和支沟山洪沉积层(FFD)也有分布,代表较强的河流洪水水动力作用和山洪短距离搬运动力。端元5(EM5)主峰粒径在中沙,众数粒径234 μm,峰态细尖,分选差,EM5主要分布在古洪水沉积层SWD1、SWD2,由于>200 μm的组分在一般风力作用下很难搬运,这一组分主要来主要源于地表径流的作用,因此,EM5可反映洪水过程中沉积的粗颗粒跃移组分,代表了河流径流量较大,水动力作用强劲。EM5在现代草甸土层(MS)的中下部以及风成黄土层(L0)上部也有分布,则可能是洪水搬运的粗颗粒沉积在河漫滩上被河谷风或沙尘暴二次搬运形成近源沉积。
图7 黄河玛曲段MQXQ-W剖面沉积物端元分布频率曲线与百分含量

Fig. 7 Grain-size distribution frequency curves and percentages of end-members from the MQXQ-W profilein the Maqu reaches of the Yellow River

4.4 地球化学元素特征

沉积物的地球化学指标不仅可以作为区分沉积物不同沉积环境的有效指标,而且可以指示稳定物源沉积的区域气候演化规律[48]。在MQXQ-W沉积剖面中,沉积物的残积系数与Rb/Sr比值沿剖面深度变化趋势基本一致,与退碱系数随深度的变化成相反的趋势(图8)。Rb、Sr是典型的分散元素,Sr非常活跃,Rb相对稳定,联合Rb/Sr比值可以反映沉积环境降水量的大小,即湿热气候条件下,降水丰富,化学风化作用强烈,Sr的淋溶程度大,Rb/Sr比值高;气候干冷,Sr的淋溶程度小,Rb/Sr比值低[49]。在现代草甸土层(MS)中,层位底部的Rb/Sr比值高,残积系数高,退碱系数低,从层位底部到中部,Rb/Sr比值、残积系数、退碱系数变化较平缓,但从层位中部到顶部残积系数、Rb/Sr比值明显变小,退碱系数明显增大,反映了现代草甸土发育时期黄河源区气候趋于相对冷干,风尘堆积作用显著,风化成壤作用和次生黏化作用微弱。在风成黄土层(L0)中,Rb/Sr比值残积系数、退碱系数变化均不明显,且整体值较MS偏小,反映了黄土沉积过程中气候由温凉偏湿逐渐转向寒冷干旱,风尘堆积作用显著。在古洪水沉积层SWD1、SWD2中,Sr与Rb含量出现明显波动变化,其残积系数、淋溶系数、退碱系数和Rb/Sr比值也均呈现波动变化,指示了古洪水沉积物的多源快速堆积的特征;结合剖面自下而上地层沉积物的地球化学元素演化特征,进一步反映了黄河源区由中全新世气候适宜期向晚全新世相对冷干的长期变化中叠加了多次的气候突变事件,其中有极端洪水事件发生。支沟山洪沉积层(FFD)的Sr与Rb含量较高,残积系数、淋溶系数和退碱系数较小,反映出其经历了古洪水浸泡、淋溶之后,Sr与Rb在这一层位大量富集。
图8 黄河玛曲段MQXQ-W剖面沉积物地球化学参数特征图

注:图中地层OSL年龄从上到下依次为0.73±0.05 ka、1.58±0.11 ka、2.90±0.16 ka、3.33±0.15 ka。

Fig. 8 Geochemical parameters of the MQXQ-W profile in the Maqu reaches of the Yellow River

5 讨论

青藏高原东北缘是构造运动极为频繁与气候变化极为敏感的地区,区域内黄河的河流阶地发育主要受高原隆升和气候变化的共同作用[2-4]。玛曲新桥西(MQXQ-W)剖面位于黄河玛曲段左岸的T1阶地前坡和支沟口,根据野外实地调查的宏观特征与室内沉积样品测试的沉积学与地球化学特征,对MQXQ-W剖面各地层单元所指示的沉积环境和气候背景做出进一步讨论。
支沟山洪沉积层(FFD)位于MQXQ-W剖面的底部,地层含有粗沙和磨圆度差的砾石,呈透镜状,且在近黄河方向逐渐尖灭,属于典型的支沟山洪沉积物。支沟山洪沉积层(FFD)中砾石磨圆度较差,表明山洪的搬运动力强,搬运距离短。同时,FFD层顶部粒径<2 mm的颗粒粒度分布与端元分析结果表明该层顶部沉积物颗粒粒径偏细,属于后山洪沉积物,是典型的河流沉积特征。朱艳等在黄河玛曲段右岸发现查美曲(CMQ)和祖哈卡(ZHK)两个剖面均含有多层来自西倾山的支沟山洪沉积物(FFD)[50]。结合地层序列和测年结果,推断位于黄河左岸的MQXQ-W剖面底部的支沟山洪沉积物(FFD)主要来自暴雨和阿尼玛卿山的高山冰雪融水在地表形成沿着坡面向黄河干流汇聚的山洪。
古洪水沉积层(SWD)位于支沟山洪沉积层(FFD)之上,包含两次典型古洪水沉积层(SWD1、SWD2)。该层沉积物磁化率、粒度分布与端元特征表明其为黄河玛曲段全新世古洪水滞流沉积,以悬移质为主,其次是跃移质,且SWD2所指示的古洪水洪峰流量大于SWD1所指示的古洪水。古洪水沉积层SWD的OSL年龄分别为3.33±0.15 ka、2.96±0.16 ka,二者沉积年代相近,属于同一洪水期,这一时期黄河的河槽形态基本相似,由于古洪水沉积层SWD 的位置高度可以指示古洪水的洪峰水位和流量,位置越高的沉积单元指示的洪峰水位和流量越大,MQXQ-W剖面的古洪水沉积层SWD2的沉积位置高于SWD1,因此,SWD2所指示的古洪水的洪峰流量大于SWD1所指示的古洪水。加之,古洪水沉积层SWD2平均粒径大于 SWD1,由此也可以推断SWD2指示的古洪水搬运动力比SWD1指示的古洪水强劲。两层古洪水沉积层SWD1和SWD2的OSL测年结果表明黄河玛曲段干流大洪水事件主要发生在2.9~3.3 ka期间,该时期恰好对应全新世晚期的气候转折期。学者通过对青藏高原东北缘的红原泥炭、青海湖1F孔岩芯记录的总有机碳同位素、敦德冰芯、若尔盖孢粉的研究,发现全新世晚期3.1 ka前后有一次气候突变事件[51-54],这一时期东亚季风发生波动转折,气候状态极不稳定,易出现极端的干旱和洪水(图9)。与此同时,黄河流域在3.1 ka前后也有特大古洪水事件发生,学者在黄河中上游、渭河、泾河、北洛河、汾河等流域均找到了该时期古洪水事件的沉积证据[55-61]。由此可见,MQXQ-W剖面记录的黄河玛曲段两次特大古洪水事件与3.1 ka前后的气候突变存在密切联系,黄河源区在这一时期的气候变率增大,推断有高山冰川大量消融[62],叠加突发性大暴雨,多种地表径流成分短时期汇入黄河河道,导致黄河干流发生特大古洪水事件。
图9 黄河玛曲段MQXQ-W剖面磁化率与青藏高原东北缘其它沉积记录的气候替代指标对比图

注:图中虚线框为全新世晚期3100 a前后气候波动期。

Fig. 9 Comparison of climate proxy indices of other sedimentary records in northeastern Tibetan Plateau and magnetic susceptibilities from the MQXQ-W profile in the Maqu reaches of the Yellow River

风成黄土层(L0)位于古洪水沉积层(SWD)之上,该层沉积物的磁化率、粒度分布与端元特征、地球化学元素特征均反映了其主要粒度成分为粉沙,且分选相对较好,属于风成堆积。L0中部的OSL年龄为1.58±0.11 ka,表明该层沉积物是在1.5 ka以来发育形成的。这一时期,青藏高原在高原季风环流控制下,气候干旱寒冷,周边植被覆盖率下降,大面积松散冰水沉积物在地表裸露;同时受太阳辐射降低的影响,冬季风盛行,气候趋于冷干并逐渐稳定,黄河源区沙尘暴活动频繁,尤其黄河河谷两岸以风成堆积为主,成壤作用极为微弱,形成了典型的风成黄土层[18,28,35,63]
现代草甸土层(MS)位于MQXQ-W剖面的顶部,在黄河源区的若尔盖盆地广泛发育,干燥时表现为棕灰色,湿润时表现为黑褐色,植物根系密集分布。MS中部的OSL年龄为0.73±0.05 ka。该层沉积物的磁化率、粒度分布与端元特征、地球化学元素特征表明黄河源区该时期内气候较风成黄土沉积时期更加湿润,堆积在黄河两岸台地上的风成沉积物受气候影响,成壤作用显著增强,最终被改造成亚高山草甸土,但自现代草甸土发育以来,土壤发育程度呈减弱的趋势,气候反而更加干冷。

6 结论

黄河玛曲段左岸一级阶地前坡MQXQ-W剖面各地层的低频磁化率(LF)和高频磁化率(HF)变化趋势相一致,古洪水沉积层的磁化率会出现小波峰,区别于其它地层。古洪水沉积层的残积系数、Rb/Sr比值、退碱系数、淋溶系数也明显不同于剖面其它地层。古洪水沉积层的粒度组分以粉沙(16~63 μm)含量为主,沙(>63 μm)含量次之,粒度自然频率分布曲线更偏向于粗颗粒,粒度端元分析表明沉积物是经历了强搬运动力的大洪水后滞流沉积下来的,且古洪水沉积层SWD2所指示的古洪水规模大于古洪水沉积层SWD1。古洪水沉积层SWD1和SWD2的OSL测年结果分别为3.33±0.15 ka和2.96±0.16 ka,揭示了黄河玛曲段MQXQ-W剖面记录的两次古洪水事件发生在2.9~3.3 ka 之间,该时期恰好对应全新世晚期气候转折期。这一时期黄河源区气候极不稳定,高山冰川大量消融,叠加突发性大暴雨,大量地表径流短时期汇入黄河河道,可能是导致该区域黄河古洪水事件发生的主要原因。

真诚感谢匿名评审专家在论文评审中所付出的时间和精力,专家对研究内容、研究方法、图表展示、结果分析和结论梳理等方面的修改意见,使本文获益匪浅。

[1]
潘保田, 李吉均, 周尚哲, 等. 黄河最上游发育历史初步研究. 北京: 地震出版社, 1993: 17, 19.

[Pan Baotian, Zhou Shangzhe, Li Jijun, et al. Study on the Forming History of The Upper-most Yellow River. Beijing: Earthquake Press, 1993: 17, 19.]

[2]
吴环环, 吴学文, 李玥, 等. 黄河共和-贵德段河流阶地对青藏高原东北缘晚期隆升的指示. 地质学报, 2019, 93(12): 3239-3248.

[Wu Huanhuan, Wu Xuewen, Li Yue, et al. River terraces in the Gonghe-Guide section of the Yellow River: Implications for the late uplift of the northeastern margin of the Qinghai-Tibet Plateau. Acta Geologica Sinica, 2019, 93(12): 3239-3248.] DOI: 10.19762/j.cnki.dizhixuebao.2019177.

[3]
彭华. 关于青藏高原隆起对中国气候影响的讨论. 地理研究, 1989, 8(3): 85-94.

DOI

[Peng Hua. A discussion on the effect of Qinghai-Tibet Plateau swelling on the climate in China. Geographical Research, 1989, 8(3): 85-94.]

DOI

[4]
于学峰, 周卫健, Franzen L G, 等. 青藏高原东部全新世冬夏季风变化的高分辨率泥炭记录. 中国科学: 地球科学, 2006, 36(2): 182-187.

[Yu Xuefeng, Zhou Wejian, Franzen L G, et al. High resolution peat records for Holocene monsoon history in the eastern Tibetan Plateau. Scientia Sinica: Terrae, 2006, 36(2): 182-187.] DOI: 10.3321/i.issn:1006-9267.2006.02.008.

[5]
李国芳, 王迟, 王正发, 等. 黄河源区可能最大洪水研究. 河海大学学报: 自然科学版, 2013, 41(2): 102-107.

[Li Guofang, Wang Chi, Wang Zhengfa, et al. Study on probable maximum flood in source region of Yellow River. Journal of Hohai University: Natural Sciences, 2013, 41(2): 102-107.] DOI: 10.3876/j.issn.1000-1980.2013.02.002.

[6]
王超然. 1904年7月黄河上游及川西北洪水. 水文, 1986, 31(4): 51-54.

[Wang Chaoran. Flood of the upper Yellow River and northwest Sichuan in July 1904. Journal of China Hydrology, 1986, 31(4): 51-54.] DOI: CNKI:SUN:SWZZ.0.1986-04-014.

[7]
詹道江, 谢悦波. 洪水计算的新进展: 古洪水研究. 水文, 1997, (1): 1-6.

[Zhan Daojiang, Xie Yuebo. New advance in flood calculation: Aleoflood study. Hydrology, 1997, (1): 1-6.] DOI: CNKI:SUN:SWZZ.0.1997-01-000.

[8]
Yang D Y, Yu G, Xie Y B, et al. Sedimentary records of large Holocene floods from the middle reaches of the Yellow River, China. Geomorphology, 2000, 33(1-2): 73-88. DOI: 10.1016/s0169-555x(99)00111-7.

[9]
刘涛, 黄春长, 庞奖励, 等. 汉江上游郧县五峰段史前大洪水水文学恢复研究. 地理学报, 2013, 68(11): 1568-1577.

DOI

[Liu Tao, Huang Chunchang, Pang Jiangli, et al. Hydrological reconstructions of the prehistorical great toods in the Wufeng reach of Yunxian county in the upper Hanjiang River. Acta Geographica Sinica, 2013, 68 (11): 1568-1577.] DOI: 10.11821/dlxb201311012

[10]
张玉柱, 黄春长, 庞奖励, 等. 黄河上游官亭盆地喇家遗址地层光释光测年研究. 地理学报, 2013, 68(5): 626-639.

[Zhang Yuzhu, Huang Chunchang, Pang Jiangli, et al. OSL dating of the sediment stratigraphy of the Laja Ruins in the Guanting basin in the Upper Yellow River basin. Acta Geographica Sinica, 2013, 68(5): 626-639.]

[11]
王恒松, 黄春长, 周亚利, 等. 关中西部千河流域全新世古洪水事件光释光测年研究. 中国科学: 地球科学, 2012, 42(3): 390-401.

[Wang Hengsong, Huang Chunchang, Zhou Yali, et al. OSL dating of the Holocene paleoflood events on the Qianhe River in the Guanzhong Basin, China. Scientia Sinica: Terrae, 2012, 42(3): 390-401.] DOI: 10.1007/s11783-011-0280-z.

[12]
炊郁达, 黄春长, 庞奖励, 等. 青海喇家遗址土壤序列及史前山洪泥流灾难释光测年研究. 地理学报, 2019, 74(11): 2371-2384.

DOI

[Chui Yuda, Huang Chunchang, Pang Jiangli, et al. OSL dating of the pedo-stratigraphic sequence and the prehistoric flash floods and mudflows over the Lajia Ruins of Qinghai province. Acta Geographica Sinica, 2019, 74(11): 2371-2384.] DOI: 10.11821/dlxb201911013.

[13]
陈莹璐, 黄春长, 张玉柱, 等. 汝河全新世古洪水沉积学与光释光测年研究. 地质学报, 2017, 91(10): 2351-2367.

[Chen Yinglu, Huang Chunchang, Zhang Yuzhu, et al. Sedimentology and OSL dating study of the Holocene Palaeoflood on the Ruhe river. Acta Geologica Sinica, 2017, 91(10): 2351-2367.] DOI: 10.3969/i.issn.0001-5717.2017.10.014.

[14]
吴敬禄, 王苏民, 潘红玺, 等. 青藏高原东部RM孔140 ka以来湖泊碳酸盐同位素记录的古气候特征. 中国科学: 地球科学, 1997, 27(3): 255-259.

[Wu Jinglu, Wang Sumin, Pan hongxi, et al. Paleoclimate characteristics recorded by lake carbonate isotope in the RM core on the Tibetan Plateau. Scientia Sinica: Terrae, 1997, 27(3): 255-259.] DOI: 10.1007/s00376-997-0061-6.

[15]
Chen F H, Bloemendal J, Zhang P Z, et al. An 800 ky proxyrecord of climate from lake sediments of the Zoige Basin, eastern Tibetan Plateau. Palaeogeography, Palaeoclimatology, Palaeoecology, 1999, 151: 307-320. DOI: 10.1016/s0031-0182(99)00032-2.

[16]
孙晓红, 赵艳, 李泉. 青藏高原东部若尔盖盆地全新世泥炭地发育和植被变化. 中国科学: 地球科学, 2017, 47(9): 1097-1109.

[Sun Xiaohong, Zhao Yan, Li Quan. The Holocene Peatland development and vegetation changes in Zoige Basin, Eastern Qinghai-Tibet Plateau. Scientia Sinica: Terrae, 2017, 47(9): 1097-1109.] DOI: CNKI:SUNJDXK.0.2017-09-009.

[17]
周卫建, 卢雪峰, 武振坤, 等. 若尔盖高原全新世气候变化的泥炭记录与加速器放射性碳测年. 科学通报, 2001, 46(12): 1040-1044.

[Zhou Weijian, Lu Xuefeng, Wu Zhenkun, et al. Peat records and accelerator radiocarbon dating of Holocene climate change in the Zoige Plateau. Chinese Science Buletin, 2001, 46(12): 1040-1044.] DOI: 10.1360/csb2001-46-12-1040.

[18]
Hu G Y, Yu L P, Dong Z B, et al. Holocene aeolian activity in the Zoige Basin, northeastern Tibetan Plateau, China. Catena, 2018, 160: 321-328. DOI: 10.1016/j.catena.2017.10.005.

[19]
邹学勇, 王贵勇. 黄河上游玛曲地区晚全新世沙漠化. 中国沙漠, 1995, 15(1): 65-70.

[Zhou Xueyong, Wang Guiyong. A study on desertification since late Holocene in Maqu area, upstream of Huanghe river. Journal of Desert Research, 1995, 15(1): 65-70.]

[20]
沈才明, 唐领余, 王苏民. 若尔盖地区25万年以来的植被与气候. 微体古生物学报, 1996, 13(4): 373-385.

[Shen Caiming, Tang Lingyu, Wang Sumin. Vegetation and climate in Ruoergai area since 250000 years. Chinese Journal of Micropaleontology, 1996, 13(4): 373-385.] DOI: CNKI:SUN:WSGT.0.1996-04-005.

[21]
王富葆, 韩辉友, 阎革, 等. 青藏高原东北部30ka以来的古植被与古气候演变序列. 中国科学: 地球科学, 1996, 26(2): 111-117.

[Wang Fubao, Han Huiyou, Yan Ge, et al. Evolution of the paleovegetation and palaeoclimate on the Northwest Tibetan Plateau during the last 30000 years. Scientia Sinica: Terrae, 1996, 26(2): 111-117.] DOI: CNKI:SUN:JDXK.0.1996-02-002.

[22]
宗冠福, 徐钦琦, 陈万勇. 阿坝藏族自治州若尔盖晚更新世地层及哺乳类化石. 古脊椎动物学报, 1985, 23(2): 161-166.

[Zong Guanfu, Xu Qinqi, Chen Wanyong. Note on the late Pleistocene Mammalian fossils in the Apa Zangzu Zizhizhou. Vertebrata Palasiatica, 1985, 23(2): 161-166.] DOI: CNKI:SUN:GJZD.0.1985-02-004.

[23]
李志威, 王兆印, 余国安, 等. 黄河源玛曲河段河型沿程变化及其原因. 泥沙研究, 2013, 58(3): 51-58.

[Li Zhiwei, Wang Zhaoyin, Yu Guoan. River pattern transition and its causes along Maqu reach of Yellow River source region. Journal of Sediment Research, 2013, 58(3): 51-58.] DOI: 10.3969/j.issn.0468-155X.2013.03.010.

[24]
杨达源, 吴胜光, 王云飞. 黄河上游的阶地与水系变迁. 地理科学, 1996, 16(2):137-143.

[Yang Dayuan, Wu Shengguang, Wang Yunfei. On river terraces of the upper reaches of the Huanghe River and change of river system. Scientia Geographica Sinica, 1996, 16(2): 137-143.] DOI: CNKI:SUN:DLKX.0.1996-02-005.

[25]
玛曲县志编纂委员会. 玛曲县志. 兰州: 甘肃人民出版社, 2001, 181-183.

[Maqu County Annals Compilation Committee. Maqu County Annals. Lanzhou: Gansu People 's Publishing House, 2001, 181-183.]

[26]
李志威, 王兆印, 田世民, 等. 黄河源水沙变化及与气温变化的关系. 泥沙研究, 2014, 59(3): 28-35.

[Li Zhiwei, Wang Zhaoyin, Tian Shimin, et al. Variation of streamflow and sediment discharge rate and relationship with temperature change in Yellow River source area. Journal of Sediment Research, 2014, 59(3): 28-35.] DOI: 10.3969/j.issn.0468155X.2014.03.005.

[27]
姚玉璧, 邓振镛, 尹东, 等. 黄河重要水源补给区甘南高原气候变化及其对生态环境的影响. 地理研究, 2007, 26(4): 844-852.

[Yao Yubi, Deng Zhenyong, Yi Dong, et al. Climatic changes and eco-environmental effects in the Yellow River important water source supply areaof Gannan Plateau. Geographical Research, 2007, 26(4): 844-852.]

[28]
黄春长. 若尔盖盆地河流古洪水沉积及其对黄河水系演变问题的启示. 地理学报, 2021, 76(3): 612-625.

DOI

[Huang Chunchang. Palaeoflood deposits in the Zoige Basin and the enlightening on the formation of the Yellow River drainage system on the Tibetan Plateau. Acta Geographica Sinica, 2021, 76(3): 612-625.] DOI: 10.11821/dlxb202103009.

[29]
McLaren P, Bowles D. The effects of sediment transport on grain-size distributions. SEPM Journal of Sedimentary Research, 1985, 55(4): 457-470. DOI: 10.1306/212f86fc-2b24-11d7-8648000102c1865d.

[30]
Folk R L, Ward W C. Brazos River bar: a study in the significance of grainsize parameters. Journal of Sedimentary Research, 1957, 27(1): 3-26. DOI: 10.1306/74d70646-2b21-11d7-8648000102c1865d.

[31]
Weltje G J, Prins M A. Muddled or mixed? Inferring palaeoclimate from size distributions of deep-sea clastics. Sedimentary Geology, 2003, 162(1): 39-62. DOI: 10.1016/s0037-0738(03)00235-5.

[32]
Dietze E, Hartmann K, Diekmann B, et al. An end-member algorithm for deciphering modern detrital processes from lake sediments of Lake Donggi Cona, NE Tibetan Plateau, China. Sedimentary Geology, 2012, 243: 169-180. DOI: 10.1016/j.sedgeo.2011.09.014.

[33]
Paterson G A, Heslop D. New methods for unmixing sediment grain size data. Geochemistry, Geophysics, Geosystems, 2015, 16(12): 4494-4506. DOI: 10.1002/2015gc006070.

[34]
陈玉美, 舒强, 张茂恒, 等. 南京下蜀黄土记录的250-100ka期间的环境演化信息. 地质科技情报, 2014, 33(6): 55-59, 77.

[Chen Yumei, Shu Qiang, Zhang Maoheng, et al. Environmental evolution information recorded in the Xiashu loess (25-100 ka) in Nanjing, China. Geological Science and Technology Information, 2014, 33(6): 55-59, 77.] DOI: CNKI:SUN:DZKQ.0.2014-06-008.

[35]
Jia Y N, Zhang Y Z, Huang C C, et al. Weathering and pedogenesis of the late Pleistocene and Holocene aeolian loess-paleosol sections in the Yellow River source area, NE Tibetan Plateau. Palaeogeography, Palaeoclimatology, Palaeoecology, 2022, 600: 111065. DOI: 10.1016/j.catena.2021.105777.

[36]
Prescott J R, Hutton J T. Cosmic ray contributions to dose rates for luminescence and ESR dating: Large depths and long-term time variations. Radiation Measurements, 1994, 23(2-3): 497-500. DOI: 10.1016/1350-4487(94)90086-8.

[37]
Blaauw M, Andrés C J. Flexible paleoclimate age-depth models using an autoregressive gamma process. Bayesian Analysis, 2011, 6(3): 457-474. DOI: 10.1214/11-ba618.

[38]
刘青松, 邓成龙. 磁化率及其环境意义. 地球物理学报, 2009, 52(4): 1041-1048.

[Liu Qingsong, Deng Chenglong. Magnetic susceptibility and its environmental significances. Chinese Journal of Geophysics, 2009, 52(4): 1041-1048.] DOI: 10.3969/j.issn.0001-5733.2009.04.021.

[39]
王建, 刘泽纯, 姜文英, 等. 磁化率与粒度、矿物的关系及其古环境意义. 地理学报, 1996, 51(2):155-163.

DOI

[Wang Jian, Liu Zechuan, Jiang Wenying, et al. A relationship between magnetic susceptibility and grain-size and minerals, and their paleo-environmental implications. Acta Geographica Sinica, 1996, 51(2): 155-163.] DOI: 10.11821/xb199602009.

[40]
张晓燕, 张春霞, 李佩. 青藏高原东缘若尔盖盆地表层沉积物粘土矿物组成及其环境意义探讨. 第四纪研究, 2022, 42(2): 435-448.

[Zhang Xiaoyan, Zhang Chunxia, Li Pei. Clay mineral composition and its environmental significance of the surface sediment in the Zoige Basin on the eastern Tibetan Plateau. Quaternary Sciences, 2022, 42(2): 435-448.] DOI: 10.11928/j.issn.1001-7410.2022.02.09.

[41]
林晓彤, 李巍然, 时振波. 黄河物源碎屑沉积物的重矿物特征. 海洋地质与第四纪地质, 2003, 23(3): 5.

[Lin Xiaotong, Li weiran, Shi zhenbo. Chara cteristics of mineralogy in the clastic sediments from the yellow river provenance, China. Marine Geology & Quaternary Geology, 2003, 23(3): 5.] DOI: CNKI:SUN:HYDZ.0.2003-03-004.

[42]
盛海洋, 王丽. 黄河上游若尔盖盆地黄河古河道研究. 人民黄河, 2008, 30(12): 6-8.

[Sheng Haiyang, Wang Li. Paleo-channel in the Zoige Basin along the upper Yellow River. Yellow River, 2008, 30(12): 6-8.] DOI: 10.3969/i.issn.1000-1379.2008.12.003.

[43]
Zhao L, Ji J, Chen J, et al. Variations of illite/chlorite ratio in Chinese loess sections during the last glacial and interglacial cycle: Implications for monsoon reconstruction. Geophysical Research Letters, 2005, 32(20): 1-4. DOI: 10.1029/2005GL024145.

[44]
Б.И.Омельянеко, 莫耀支. 论绢云母的概念. 地质地球化学, 1983, 11(4): 25-33.

[Б.И.Омельянеко, Mo Yaozhi. On the concept of sericite. Geology-Geochemistry, 1983, 11(4): 25-33.] DOI: CNKI:SUN:DZDQ.0.1983-04-004.

[45]
An Z S, Kukla G, Porter S C, et al. Late Quaternary dust flow on the Chinese loess plateau. Catena, 1991, 18(2): 125-132. DOI: 10.1016/0033-5894(91)90015-W.

[46]
孙东怀, 鹿化煜, David R, 等. 中国黄土粒度的双峰分布及其古气候意义. 沉积学报, 2000, 18(3): 327-335.

[Sun Donghuai, Lu Huayu, David R, et al. Bimode grain-size distribution of Chinese Loess and its paleoclimate implication. Acta Sedimentologica Sinica, 2000, 18(3): 327-335.] DOI: 10.3969/j.issn.1000-0550.2000.03.001.

[47]
韩宜欣, 查小春, 黄春长, 等. 若尔盖盆地黄河出口段一级阶地沉积序列及其环境变化研究. 地理科学, 2023, 43(5): 922-931.

DOI

[Han Yixin, Zha Xiaochun, Huang Chunchang, et al. Sedimentary sequence and environment change of the first terrace in the outlet reach of the Yellow River in Zoige Basin. Scientia Geographica Sinica, 2023, 43(5): 922-931.] DOI: 10.13249/j.cnki.sgs.2023.05.016.

[48]
Gordeev V V, Sidorov I S. Concentrations of major elements and their outflow into the Laptev Sea by the LenaRiver. Marine Chemistry, 1993, 43(1/4): 33-45. DOI: 10.1016/0304-4203(93)90214-9.

[49]
黄润, 朱诚, 郑朝贵, 等. 长江三峡中坝遗址地层中Rb和Sr的分布特征及其古气候演变. 第四纪研究, 2004, 24(5): 531-536.

[Huang Run, Zhu Cheng, Zheng Chaogui, et al. The characteristics of distribution of Rb and Sr and paleoclinatic changes in the stratigraphy at the site of Zhongba of the Three Groges Quaternary Sciences. 2004, 24(5): 531-536.] DOI: 10.3321/j.issn:1001-7410.2004.05.009.

[50]
Zhu Y, Wang H Y, Zhang Y Z, et al. Sedimentary records and chronology of the late Pleistocene overbank flooding in the Yellow River source area, NE Tibetan Plateau. Frontiers in Earth Science, 2022, 10(1): 1-20. DOI: 10.3389/feart.2022.1021106.

[51]
徐海, 洪业汤, 林庆华. 红原泥炭纤维素氧同位素指示的距今6 ka温度变化. 科学通报, 2002, 47(15): 1181-1186.

[Xu Hai, Hong Yetang, Lin Qinghua, et al. Temperature variations in the past 6000 years inferred from δ18O of peat cellulose from Hongyuan, China. Chinese Science Bulletin, 2002, 47(15): 1181-1186.] DOI: 10.1360/csb2002-47-15-1181.

[52]
Liu W, Li X, An Z, et al. Total organic carbon isotopes: A novel proxy of lake level from Lake Qinghai in the Qinghai-Tibet Plateau, China. Chemical Geology, 2013, 347: 153-160. DOI: 10.1016/j.chemgeo.2013.04.009.

[53]
姚檀栋, Thompson L G. 敦德冰芯记录与过去5ka温度变化. 中国科学: 化学, 1992, 43(10): 1089-1093.

[Yao Tandong, Thompson L G. Doundland ice core records of temperature changes over the past 5 ka. Scientia Sinica: Chimica, 1992, 43(10): 1089-1093.] DOI: CNKI:SUN:JBXK.0.1992-10-011.

[54]
金孙梅, 王英, 侯光良, 等. 基于孢粉数据的全新世青藏高原降水定量重建. 水土保持通报, 2018, 38(6): 169-176.

[Jin Sunmei, Wang Ying, Hou Guangliang, et al. Quantitative reconstruction of precipitation on Qinghai-Tibet Plateau from Holocene pollen records. Bulletin of Soil and Water Conservation, 2018, 38(6): 169-176.] DOI: 10.13961/j.cnki.stbctb.2018.06.026.

[55]
李瑜琴, 黄春长, 查小春, 等. 泾河中游龙山文化晚期特大洪水水文学研究. 地理学报, 2009, 64(5): 541-552.

[Li Yuqin, Huang Chunchang, Zha Xiaochun et al. Palaeoflood occurrence in the late period of the Longshan Culture in the middle reaches of the Jinghe River. Acta Geographica Sinica, 2009, 64(5): 541-552.]

DOI

[56]
李晓刚, 黄春长, 庞奖励, 等. 黄河壶口段全新世古洪水事件及其水文学研究. 地理学报, 2010, 65(11): 1371-1380.

DOI

[Li Xiaogang, Huang Chunchang, Pang Jiangli, et al. Hydrological studies of the Holocene palaeoflood in the Hukou reach of the Yellow River. Journal of Geographical Sciences, 2010, 65(11): 1371-1380.]

[57]
黄春长, 庞奖励, 查小春, 等. 黄河流域关中盆地史前大洪水研究: 以周原漆水河谷地为例. 中国科学:地球科学, 2011, 41(11): 1658-1669.

[Huang Chunchang, Pang Jiangli, Zha Xiaochun, et al. Prehistorical floods in the Guanzhong Basin in the Yellow River drainage area: A case study along the Qishuihe River Valley over the Zhouyuan Loess Tableland. Scientia Sinica: Terrae, 2011, 41(11): 1658-1669.] DOI: CNKI:SUNJDXK.0.2011-11-011.

[58]
Liu T, Huang C C, Pang J L, et al. Late Pleistocene and Holocene palaeoflood events recorded by slackwater deposits in the upper Hanjiang River valley, China. Journal of Hydrology, 2015, 529: 499-510. DOI: 10.1016/j.jhydrol.2014.11.075.

[59]
Li Y Q, Huang C C, Ngo H H, et al. In situ reconstruction of long-term extreme flooding magnitudes and frequencies based on geological archives. Science of the total environment, 2019, 670(20): 8-17. DOI: 10.1016/j.scitotenv.2019.03.066.

[60]
Li Y Q, Huang C C, Ngo H H, et al. Analysis of event stratigraphy and hydrological reconstruction of low-frequency flooding: A case study on the Fenhe River, China. Journal of Hydrology, 2021, 603: 127083. DOI: 10.1016/j.jhydrol.2021.127083.

[61]
王浩宇, 贾雅娜, 张玉柱, 等. 黄河流域末次冰消期以来古洪水事件研究进展. 地理科学进展, 2021, 40(7): 1220-1234.

DOI

[Wang Haoyu, Jia Yana, Zhang Yuzhu, et al. Research progress of paleoflood events in the Yellow River Basin since the Last Deglaciation. Progress in Geography, 2021, 40(7): 1220-1234.] DOI: 10.18306/dlkxjz.2021.07.012.

[62]
刘时银, 鲁安新, 丁永建, 等. 黄河上游阿尼玛卿山区冰川波动与气候变化. 冰川冻土, 2002, 24(6): 701-707.

[Liu Shiyin, Lu Anxin, Ding Yongian, et al. Glacier fluctuations and the inferred climate changes in the A'nyêmaqên Mountains in the source area of the Yellow River. Journal of Glaciology and Geocryoloy, 2002, 24(6): 701-707.] DOI: CNKI:SUN:BCDT.0.2002-06-002.

[63]
王兆夺, 黄春长, 周亚利, 等. 若尔盖盆地黄河第一湾河岸沉积地层序列及其成因研究. 冰川冻土, 2021, 44(4): 1175-1187.

[Wang Zhaoduo, Huang Chunchang, Zhou Yali, et al. Formation of the sedimentary stratigraphy at the first bend of the Yellow River in the Zoige Basin. Journal of Glaciology and Geocryology, 2021, 44(4): 1175-1187.] DOI: 10.7522/j.issn.1000-0240.2021.0129.

文章导航

/