研究论文

中高端制造业全球生产网络演进:结构特征与影响因素分析

  • 周圆淇 ,
  • 殷晓鹏
展开
  • 对外经济贸易大学,北京 100029
殷晓鹏(1963-),男,江苏南京人,博士,教授,博士生导师,主要研究方向为国际贸易理论。E-mail:

周圆淇(1992-),女,黑龙江庆安人,博士研究生,主要研究方向为全球价值链。E-mail:

收稿日期: 2024-10-21

  录用日期: 2025-01-20

  网络出版日期: 2025-04-16

基金资助

国家自然科学基金重点项目(71733002)

Evolution of mid-to-high-end manufacturing industry global production network: Structural features and determinants analysis

  • ZHOU Yuanqi ,
  • YIN Xiaopeng
Expand
  • University of International Business and Economics, Beijing 100029, China

Received date: 2024-10-21

  Accepted date: 2025-01-20

  Online published: 2025-04-16

摘要

利用全球价值链拆解框架与OECD国家间投入产出表构建中高端制造业全球生产网络,并分析其结构特征与影响因素。研究结果表明,中高端制造业全球生产网络是由少数核心国家主导的稀疏网络,能够明显分割成欧美亚三大集团,整体呈现较强的互惠性与集聚性。1995—2018年间,三大集团核心国由德、美、日逐渐转变为德、美、中三国。此外,以双边生产关联的建立为立足点,本文结合供应链网络形成理论与指数随机图分析其形成与演进的影响因素。研究表明:① 贸易引力模型依旧可以解释双边生产关联的确立。双边中高端制造业产业规模越大,则越容易建立合作关系;双边冰山成本越高,就越不容易建立合作关系。② 国家科技实力越强则越倾向于成为出口方,越不易成为进口方。③ 国家边际劳动成本、劳动力素质与工资水平提升,会降低参与中高端制造业全球生产网络的可能性。④ 网络级联效应会影响生产网络的形成,上游供应商间层层递进、错综复杂生产关联的结构特征会影响下游生产关联的建立。

本文引用格式

周圆淇 , 殷晓鹏 . 中高端制造业全球生产网络演进:结构特征与影响因素分析[J]. 地理研究, 2025 , 44(4) : 905 -924 . DOI: 10.11821/dlyj020241131

Abstract

This article constructs a mid-to-high-end manufacturing industry global production network utilizing the global value chain decomposition framework and inter-country input-output tables from OECD to analyze its structural features and determinants. Analysis results indicate that the mid-to-high-end manufacturing industry global production network is sparse and dominated by a few core countries, exhibiting strong reciprocity and agglomeration, which can be clearly divided into three major communities: Europe, America and Asia. From 1995 to 2018, the core countries of the three communities gradually shifted from Germany, America and Japan to Germany, America and China. Besides, based on the establishment of bilateral production linkages, this article analyzes the determinants of its formation and evolution by combining supply chain network formation theory and exponential random graph model. The research results indicate that: (1) Trade gravity model can still explain the establishment of bilateral production linkages. The larger mid-to-high-end manufacturing industrial scale two countries holds, the more likely they will cooperate with each other; The higher the iceberg cost between two countries, the less likely they will cooperate. (2) The stronger the scientific power of a country, the more likely it is to become an exporter, and the less likely to become an importer. (3) Improvement of marginal labor cost, labor quality and wage will reduce the possibility of participating in the mid-to-high-end manufacturing global production network for a country. (4) Cascading effect of network will affect the formation of production network, and recursive and intricate structure of production relationships between upstream suppliers will affect the establishment of downstream production relationships.

1 引言

“制造业是国民经济的主体,是立国之本、兴国之器、强国之基”。自中华人民共和国建立以来,中国政府就高度重视制造业发展,带领人民建立起门类齐全、独立完整的制造业产业体系,而信息技术、高端装备、生物医药等中高端制造业更是重中之重。发展“新质生产力”战略方针提出后,众多研究人员从不同角度就此发表观点[1-4]。其概念与内涵目前仍存在讨论空间,但可以确定的是“新质生产力与科学技术革新息息相关”[5,6]。这也意味着新质生产力与高端制造业密不可分,因为中高端制造业通常与科学技术革命相伴。由此可见,中高端制造向来是我国长期战略重点,对发展“新质生产力”也发挥重要作用,关系到综合国力提升、国家安全保障与世界强国建设等重大目标的实现。但“高端制造业”的“高”非绝对概念,亦非静态概念,能够始终保持国际先进地位才可称为“高”。时至今日,“全球价值链”成为世界经济与国际贸易主要特征之一,中高端制造业的发展依赖全球合作。但全球化的发展也加剧了国际竞争,抢占全球价值链制高点亦成为大国竞争的焦点与战略决胜点。部分发展中国家也在加快谋划和布局,积极参与全球分工,使得我国制造业面临发达国家和其他发展中国家的“双向挤压”。而研究中高端制造业全球生产网络结构特征与影响因素,有助于分析如何巩固我国在全球中高端制造业中的优势地位,为发展新质生产力提供支撑。
20世纪末,不同学科从不同视角研究经济全球化,经济地理学家于此时期提出全球生产网络(Global Production Network,GPN)概念。与此相似的,还有全球商品链(Global Commodity Chain,GCC)、全球价值链(Global Value Chain,GVC)与贸易网络等概念。全球生产网络(GPN)与全球价值链(GVC)都脱胎于全球商品链(GCC),只是所属学科与关注焦点不同。全球商品链(GCC)由Gereffi等经济社会学家提出[7],后优化为全球价值链(GVC),研究视角从聚焦商品流通转向探讨联结各地生产活动的价值链[8,9]。全球生产网络(GPN)概念由Dicken、Henderson等经济地理学家提出,最初的全球生产网络分析框架被称作GPN1.0[10,11]。Yeung等在GPN1.0基础上,构建了更为动态的全球生产网络分析框架GPN2.0,侧重识别全球生产网络演变的驱动机制[12]
经多年发展,全球价值链(GVC)与投入产出分析方法结合,实现全球价值链(GVC)产业与宏观层面的核算测度,也扩展到经济学、公共管理学等更多学科的研究[13]。相对而言,全球生产网络(GPN)研究仍然侧重微观层面,如陈肖飞等对华为手机生产网络的刻画[14]。生产活动呈现序惯性,要定位商品用途才能够刻画生产网络。而全球商品流通数据很难实现用途定位,亦难克服重复计算问题,因而较难应用于宏观生产网络刻画。部分学者将投入产出分析法与网络结构分析方法结合,以增加值刻画并分析生产网络,比如郑智等[11]与Chen等[15]的研究。这说明全球价值链核算与全球生产网络分析其实互为表里,本质都是经济全球化的描述方式。但前者侧重全球价值流动中增加值的核算,而后者侧重价值流动中主体间关系的刻画呈现。整体而言,此类研究多侧重描述生产网络结构特征,对生产网络影响因素的量化分析相对不足。
宏观层面的全球生产网络与贸易网络较接近,但贸易网络不必关注商品用途,只需关注商品流向。贸易网络的刻画方式与形成机制较简单,相关研究亦较成熟。因此全球生产网络的量化分析,可参考贸易网络相关研究[16-23]。社会网络分析在网络结构影响因素研究方面存在优势,因而被广泛应用于贸易网络研究当中。此类研究多以传统贸易为研究对象,且主要以商品贸易数据为数据来源。相对而言,将增加值数据与全球价值链拆解框架融入贸易网络结构影响因素研究的文献相对较少。在这当中,孙天阳等[22]与李晓等[23]的研究比较具代表性,但并未聚焦中高端制造业。通过阅读此类文献可知,指数随机图模型以网络结构形成概率为被解释变量,研究网络内生结构、节点属性等因素对网络结构形成的影响,非常适合研究网络结构形成影响因素。但综合来看,以指数随机图作为实证模型的研究普遍缺乏经济理论支撑。
综上所述,全球生产网络、全球价值链与贸易网络本质上都是对经济全球化的刻画,三者各有侧重与优势,但都未完整地从宏观层面刻画并分析中高端制造业全球生产网络结构特征与形成机制。目前,全球生产网络研究侧重企业管理层面,宏观层面的刻画描述、形成机制与影响因素的量化分析则稍显不足。全球价值链侧重全球增加值流动的核算测度,鲜有研究分析增加值网络的形成机制。而贸易网络在形成机制与影响因素方面的量化研究则相对成熟,但相关文献多缺乏经济理论支撑。而且,贸易网络反映的是全球商品贸易活动,而非生产活动驱动形成的商品流动网络。因此,本文兼采各家之长来研究中高端制造业全球生产网络。本文参考郑智等[11]与Chen等[14]的研究,利用投入产出法获取增加值数据来刻画生产网络。基于全球价值链拆解框架来获取中高端制造业全球价值链矩阵,再利用中高端制造业全球价值链矩阵表征中高端制造业全球生产网络。本质上讲,以此法构造的中高端制造业全球生产网络是中高端制造业中间品跨国贸易驱动形成的全球增加值网络。Elliott等的供应链网络形成理论以供应链当中供给方与需求方建立关系的概率为落脚点[24],进行理论机制推导,与本研究适配度较高。因此,本文参考供应链网络形成理论,构建理论模型来分析中高端制造业全球生产网络的形成机制。此外,参考现有文献对贸易网络影响因素或演化机制的研究,利用指数随机图模型对中高端制造业全球生产网络影响因素的推导结果进行实证检验。
本文可能的边际贡献主要体现在运用多种方法构建中高端制造业全球生产网络,并分析其结构特征与影响因素,丰富全球生产网络宏观层面的量化研究。首先,本文利用全球价值链拆解框架拆分出中间品贸易驱动产生的中高端制造业全球增加值流通网络,以此为数据基础表征中高端制造业全球生产网络,并描绘其结构特征。此外,基于理论推导分析生产网络影响因素,并利用指数随机图进行实证检验。Elliott等基于供给方与需求方建立关系的概率研究供应链网络形成机制[24],而指数随机图以网络结构形成概率为被解释变量。二者本质上都以网络节点建立关系的概率为落脚点研究网络结构形成机制,此二者可以互相配合。理论机制分析方面,本文基于供应链网络形成模型[24],从网络级联效应与双边关系强度两方面来分析生产网络形成的影响因素,能够支撑利用指数随机图进行实证研究。实证研究方面,利用指数随机图作为实证模型来进行机制检验,也能够弥补常规计量方法在生产网络研究领域的不足。综上,本文选取的理论推导模型与实证检验方法组合,能为生产网络形成机制与影响因素的研究提供新思路。

2 中高端制造业全球生产网络的构建方法与结构特征演进

本文选取1995—2018年OECD国家间投入产出表作为数据源,并基于Wang等的研究,利用全球价值链拆解框架计算获取全球价值链矩阵[25]。以此为基础,参考国家统计局2017版高技术制造业分类标准,以及OECD按照研发强度进行的行业界定,从全球价值链矩阵中提取出中高端制造业矩阵作为中高端制造业全球生产网络数据基础[26]。通过计算获取的中高端制造业全球价值链矩阵包含大量冗余信息,因此本文选取0.90分位数作为阈值进行稀疏化处理。以此法构建中高端制造业全球生产网络保留了90%左右的增加值,这说明中高端制造业全球生产网络是由少数国家所主导的稀疏网络。如图1所示,中高端制造业全球生产网络的传输性、互惠性与集聚性基本保持稳定。在传输性方面,平均路径长度维持在1.8左右,这说明传输性较强。在互惠性方面,互惠边占比维持在0.75左右,这表明中高端制造业全球生产网络呈现明显互惠性特征。网络聚集性在1995—2018年间维持在0.53左右,这说明全球中高端制造业生产活动参与国有较强集聚倾向。
图1 中高端制造业全球生产网络宏观特征分析

注:此图数据根据OECD国家间投入产出表计算获取。

Fig. 1 Macro feature analysis of mid-to-high-end manufacturing industry global production network

为更直观地反映中高端制造业全球生产网络演变进程,本文参考2019年全球价值链发展报告的方法,利用后向Top1网络进行可视化分析[27]。如图2所示,中高端制造业全球生产网络整体呈现明显的区域集聚属性,1995—2018年间始终能明显分割成欧洲、美洲与亚洲三大集团。1995年与2003年,三大社团的供给中心是德国、美国与日本(图2a图2b)。2011年与2018年,欧洲与美洲的中心国家始终是德国与美国,而亚洲的核心转变为中国(图2c图2d)。1995年美国与日本的合作将美洲集团与亚洲集团链接起来,欧洲社团相对独立(图2a)。2003年美国与德国的合作使得欧美亚三大集团以美国为桥梁连结一体(图2b)。2011年以后,中国成为亚洲集团链接欧洲集团与美洲集团的国家枢纽,在中高端制造业全球生产网络中的地位愈发重要(图2c图2d)。
图2 中高端制造业生产网络演变历程

注:此图数据由OECD国家间投入产出表计算获取。

Fig. 2 Evolution of mid-to-high-end manufacturing industry global production network

3 理论机制推导

生产网络是由多个节点间双边生产关联构成的,因此本文以双边生产关联建立为落脚点分析中高端制造业全球生产网络形成与演进的影响因素。也就是说,本研究以中高端制造业全球生产网络中双边生产关联建立机制为研究对象,视生产网络中双边关联建立的影响因素为生产网络形成与演进的影响因素。生产活动的序贯性使得生产网络表现出明显的级联效应,这是生产网络研究不可忽略的,但鲜有经济学模型刻画级联效应。Elliott等对供应链网络形成机制的研究,直观而又简明地刻画出网络级联效应[24],对本文有重要的参考意义。但因其研究对象为供应链网络,对双边关系强度的分析未融入中间品贸易理论。跨国公司是全球价值链或全球生产网络的组织者和关键参与者[28],全球中间品贸易也与其追求利润最大化的跨国采购行为密不可分。Antràs等的跨国采购模型从进口视角刻画中间品跨国采购的利润,其中对中间品采购边际成本的刻画思路对本研究有参考意义,因此本文参考该文章刻画双边关系强度[29]

3.1 模型节点设定

假设L是全球有限产品集,其中每一种产品iL都对应一个商品集ViVi由多款商品vic构成,其中c用来表示生产产品i的国家编号,而Ci来表示生产产品i所有国家编号的集合,每一款商品的编号都与生产它的国家编号对应,即cCi⊆R。所有商品的集合为V=∪iLVi,作为全球生产网络的结点。

3.2 节点链接与供应链网络设定

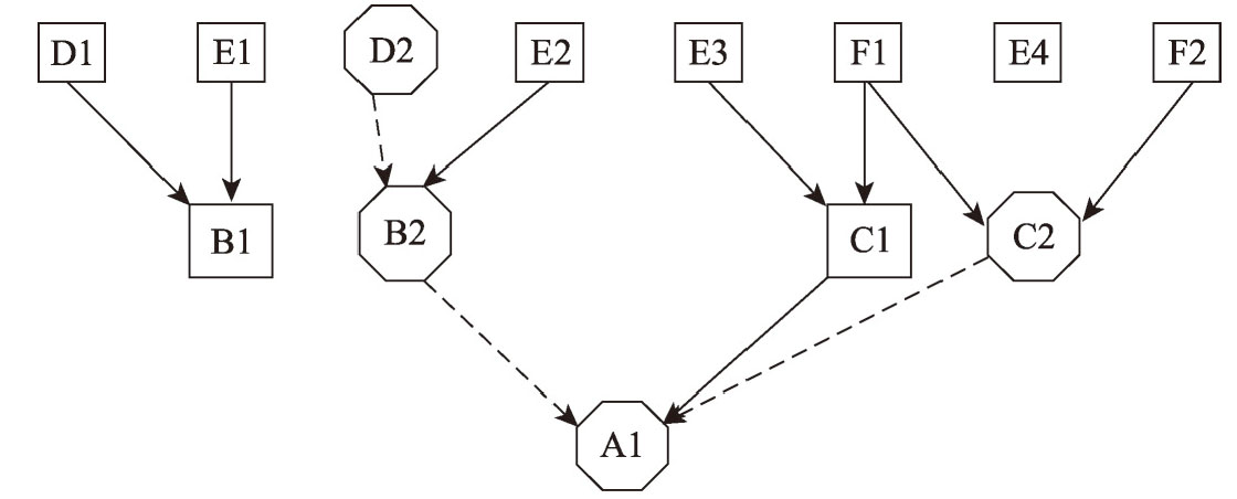
假设每一种产品iL,都对应一组中间投入集合I(i)⊆L。为便于下文论述,本文假设s国为下游中间品输入国的编号,t国为上游中间品输出国的编号。对于任何一款商品visVi,所需任何一种中间投入产品jI(i)都有一组潜在的中间商品集合PSj(vjt)⊆L,以及一组实际建立合作的中间商品集合Sj(vjt)⊆PSj(vjt)。以图3为例来说明潜在供应链关系,假设供应网络包含六种产品,即L={A,B,C,D,E,F}。生产产品A需要中间品BC,生产产品B需要中间品DE,生产产品C需要中间品EF。图中的虚线表示所有潜在供应链关系,从中间品供应国指向采购国。
图3 潜在供应链网络

Fig. 3 Potential supply chain network

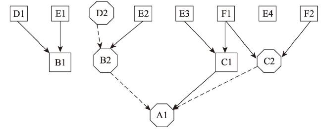
基于图3潜在供应链关系网络的基本假设,以图4为例来说明实际供应链关系网络的产生。对于任意的商品 v i s,只有潜在中间商品集合PSj(vjt)中的每种中间投入产品jI(i)都至少包含一款生产成功的商品vjtvis建立合作关系,才能够保证商品vis顺利生产。本文以图中方形代表成功生产的商品,八角形为未成功生产的商品。当商品vjt成功生产,且vjtvis建立合作关系,则视为vjtvis两款商品生产关联确立。任何一对商品visvjtPSj(vjt)之间合作关系的建立服从参数为xis, jt的二项分布,本文称xis, jt为双边关系强度,用来表示商品vis与其任意潜在供应商vjt建立合作关系的概率。本文假设双边关系强度越大越容易建立合作关系,且不同产品间建立合作关系是独立事件。假设商品A1与商品B2、商品C1、商品C2建立合作关系,但是商品B2与商品C2未生产成功,因此商品A1无法与商品B2、商品C2确立实际生产关联,也无法成功生产。图4中的虚线代表建立合作关系,实线代表实际生产关联确立。图4中所有实线构成实际供应链网络,也就是本文研究对象。
图4 实际供应链网络

Fig. 4 Realistic supply chain network

综上所述,本文以商品集作为节点定义了两种供应链网络。图3表示潜在供应链网络,每一款商品vis与其所有中间品厂商vjt∈∪jI(i)PSj(vjt)都有潜在链接。图4用来表示实际供应链网络,商品vis只与确立实际生产关联的供应商vjt∈∪jI(i)Sj(vjt)有链接。商品vis能否成功生产,也就是图4中出现实线,取决于两大因素:① 商品vis所需的每种中间品都至少有一个供应商成功生产,下文将某供应商成功生产的概率定义为该供应商的供应链可靠性;② 该商品与中间品供应方的双边关系强度,这决定双方是否建立合作关系,也就是图4中出现虚线。

3.3 供应链可靠性

本节将某款中间品成功生产的概率定义为其供应链可靠性,并分析其形成机制。首先,假设产品i所需中间品种类为m,即|I(i)|=m,且各种中间投入品都有n个国家生产,即|PSj(vjt)|=n。本节以xis, jt表示某一款商品vis与其上游中间商品vjt间的双边关系强度,也就是图4中出现虚线的概率。假设任意商品vic成功生产的概率是 ρ ˜ ( v i c ),将 ρ ˜ ( v i c )定义为商品vic的供应链可靠性。而供应链层层关联,使得商品的供应链可靠性存在递归关系,下面具体说明此关系。
假设生产某一商品vis,需要m种中间品,本文用I(i)表示中间品集合。假设中间品集合中包含的每种产品jI(i),都有n个厂商生产,其中厂商t的供应可靠性为 ρ ˜ v j t。那么,商品vjtvis确立实际生产关联的概率为 x i s , j t ρ ˜ v j t,即商品vis与商品vjt的关系强度乘以商品vjt的供应链可靠性。相反,商品vjt不能作为商品vis中间品的概率为 1 - x i s , j t ρ ˜ v j t。因为产品j的厂商有n个,那么n个厂商都无法供应vis的概率为 t = 1 n 1 - x i s , j t ρ ˜ v j t。换而言之,至少有一家产品j的厂商能够顺利供给vis的概率为 1 - t = 1 n 1 - x i s , j t ρ ˜ v j t。此外,生产商品vis需要m种中间品,若要保证其生产需要m种中间品都至少有一家供应商。因此可以得到商品vis成功生产的概率,也就是供应链可靠性如公式(1)所示。
ρ ˜ v i s = j = 1 m 1 - t = 1 n 1 - x i s , j t ρ ˜ v j t
本文将此递归关系扩展到中间品vjt,得到公式(2)。
ρ ˜ v j t = k = 1 m 1 - h = 1 n 1 - x j t , k h ρ ˜ v k h
式中: v k h表示生产 v j t所需中间品; k表示产品类别; h表示生产产品的国家;则 v j t的供应链可靠性可由公式(2)表示。由此可见,不同商品间的供应链关系错综复杂,供应链可靠性层层递进,呈现明显递归关系。

3.4 生产关联韧性

由上文推导结果可知,商品vjt与商品vis确立实际生产关联的概率为 x i s , j t ρ ˜ x j t,本文将此定义为商品vis与商品vjt的双边生产关联韧性Ris, jt,也就是图4中出现实线的概率。在Elliott等的供应链网络形成模型中,关系强度是由关系强度底线与关系投资决定的,而关系强度底线是外生给定的[24]。但实际上,商品间的关系强度底线是异质的,会受到中间品跨国采购利润影响。因此,本文借鉴Antràs等[29]的跨国采购利润刻画思路来重新定义双边关系强度底线。本文假设xis, jt是由关系强度底线 x _ i s , j t 0,以及关系投资强度yis决定的。基于以上分析与假设,下面进行以下设定。
x i s , j t = x _ i s , j t + y i s
x _ i s , j t = h ( π i s , j t )
y i s = g ( I i s , j t )
式中:h:[0,1]→Rg:[0,1]→R都是严格递增且连续的凹函数,其中h(0)=0,且g(0)=0。πis, jt用来表示商品vis采购商品vjt作为中间品的利润空间,而Iis, jt用来表示双边关系投资。
Antràs等[29]的跨国采购利润刻画思路可概括为以下两点:第一,产品边际利润等于商品价格减去生产产品的边际成本;第二、产品边际成本主要由中间品供应国的边际劳动成本与冰山成本构成。此外,双边关系投资亦应视为跨国采购成本,但会提升双边关系强度。为了简化Antràs等[29]的模型,本文去掉产品j以外其他中间品的成本,假设其他中间品的成本不会影响商品vjt与商品vis的关系强度。基于以上分析,对双边潜在中间品采购利润做出推断如下所示:
π i s , j t = q i s ( p i s - τ i s , j t l j t ) - I i s , j t
式中:qis表示s国产品i的总需求;pis表示s国产品i的价格;τis, jt反映冰山成本;Iis, jt表示s国行业部门it国行业部门j的关系投资;ljt=tjtwjt表示t国行业部门j生产商品的边际劳动成本;tjt表示t国生产单位产品j的时间;wjt表示t国行业部门j的工资水平。
综上可得,双边关系强度如下所示:
x i s , j t = h ( q i s ( p i s - τ i s , j t l j t ) - I i s , j t ) + g ( I i s , j t )
由此可得双边生产关联韧性Ris, jt,也就是双边确立实际生产关联的概率(公式8)。本文以双边生产关联建立的概率作为落脚点,分析生产网络的影响因素。因此,下文基于公式(8)表示的双边生产关联韧性来分析生产网络形成与演进的影响因素。
R i s , j t = h q i s p i s - τ i s , j t l j t ) - I i s , j t + g I i s , j t ρ ˜ x j t = ( h ( q i s p i s - q i s τ i s , j t l j t - I i s , j t ) + g I i s , j t ) ρ ˜ x j t = ( h ( q i s p i s - q i s τ i s , j t t j t w j t - I i s , j t ) + g I i s , j t ) ρ ˜ x j t
式中: ρ ˜ x j t表示t国产品j的供应链可靠性,体现该款中间商品与上游供应商错综复杂、层层递进的产业链关联,反映网络级联效应的影响;(h(qispis-qisτis,jttjtwjt-Iis, jt)+g(Iis, jt))表示双边关系强度,也就是双方建立合作的概率。综上,双边关系强度决定双方是否建立合作,供应链可靠性决定供应方是否能成功生产中间品。双边生产关联的建立,是由双边关系强度与供应链可靠性共同发挥作用的结果。

3.5 中高端制造业全球生产网络影响因素概括与研究假说

基于以上理论机制推导,本节对中高端制造业全球生产网络的影响因素进行概括。本文构建的中高端制造业全球生产网络本质是指全球中高端制造业中间品贸易驱动形成的全球价值网络,因此分析其影响因素要分析双边中间品贸易发生的概率,即双边关系强度xis, jt。此外,还要注意到网络级联效应对生产网络形成的影响,用供应链可靠性 ρ ˜ x j t来表示。
由上文推导可知,xis,jt=(h(qispis-qisτis,jttjtwjt-Iis,jt)+g(Iis,jt))用来表示双边关系强度。总需求水平与价格水平相乘得qispis,可理解为s国产品i的生产总值GDPis。由此推论行业生产总值越高,则越会成为中间品进口方。相对而言,s国产品i的总需求越高,对t国产品j中间品进口需求就越高,也就要求t国产品j有较强的生产能力与商品输出能力。τis,jt反映冰山成本,主要受双边地理距离与文化差距等因素影响;Iis,jt表示s国行业部门it国行业部门j的关系投资,本质上是贸易政策的组成部分,也是通过降低冰山成本来影响双边关系强度的。关系投资对生产关联韧性的影响有两面性,一方面会降低跨国采购利润使关系强度下降,另一方面也会加强双边关系强度。以上分析其实印证了贸易引力模型,双边产业规模越大且冰山成本越低,则双边贸易引力越强。将此推论扩展到国家层面,提出以下假说:
假说1:两国中高端制造业产业规模越大,产业规模越接近,则双边关系强度越大。
假说2:两国间冰山成本越低则双边关系强度越大,冰山成本由地理距离与文化差异决定。
假说3:贸易政策与关系投资会对双边关系强度产生影响。
但贸易引力模型对中间品贸易双边关系强度的解释还不够充分,因此本文参考Antràs等[29]刻画跨国采购利润的方法来进一步分析双边中间品贸易的关系强度。该文献以制造业为研究对象,假设经济体中只有劳动一种生产要素[29],基于劳动成本刻画跨国采购的固定成本与边际成本,将边际劳动成本视为边际成本的重要构成因素。借鉴该文献做法,本文用ljt=tjtwjt表示t国行业部门j生产商品的边际劳动成本,边际劳动成本为单位产品消耗的劳动时间与工资水平之积。在这里,本文用tjt表示t国生产单位产品j的时间,用wjt表示t国行业部门j的工资水平。边际劳动成本提高,会使本国中间品价格上升,由此提出:
假说4:边际劳动成本会影响双边关系强度。
本文研究对象是中高端制造业中间品贸易,科技水平与劳动力素质是不可忽视的影响因素。科技水平、劳动力素质可能影响边际劳动成本,从而作用于双边关系强度。但二者对边际劳动成本的影响机制复杂,对中高端制造业中间品贸易的最终影响也很难判断。科技水平与劳动力素质越高,则生产单位产品的劳动时间越少,从而降低边际劳动成本,提升双边关系强度。但科技水平与劳动力素质高的国家工资水平通常较高,会抬高边际劳动成本,对双边关系强度产生负面影响。基于以上分析,现提出以下假说:
假说5:科技水平会影响边际劳动成本,从而作用于双边关系强度。
假说6:劳动力素质会影响边际劳动成本,从而作用于双边关系强度。
假说7:工资水平会影响边际劳动成本,从而作用于双边关系强度。
以上是对双边关系强度的分析,本质上是分析有哪些因素会影响双边中间品贸易引力大小。但国家节点间是否会进行中间品贸易,也就是建立生产关联,不仅受双边关系强度影响,供给方的供应链可靠性 ρ ˜ x j t也会发挥作用。由上文推导可知,供给方的供应链可靠性 ρ ˜ x j t是其与上游各潜在供应商的关系强度,以及这些潜在供应商的供应链可靠性共同决定的。以图4为例,A1与C1供应链韧性,也就是建立实际生产关联的概率,是由二者双边关系强度与C1的供应链可靠性决定的。而C1的供应链可靠性是由其与生产E与生产F的潜在供应商之间的关系强度,以及产品E与产品F的供应链可靠性决定的。而产品E与产品F的上游亦存在多层级无数的供应商,亦受其上游各层级供应商关系强度与供应链可靠性影响。由此推断供应链可靠性是由多层级供应商间关系强度层层迭代而来,因而提出:
假说8:生产关联的建立不仅依赖于双边关系强度,供给方上游各层级供应商之间错综复杂、层层递进的关系结构也会产生影响。
也就是说,上游供应商的关系结构会影响下游生产关联的建立,本质上反映网络级联效应的影响。

4 实证研究

4.1 实证模型

由上文理论机制推导可知,双边生产关联韧性不仅由双边关系强度x决定,也会受到供应商本身的供应链可靠性 ρ ˜影响。供应链可靠性 ρ ˜是由上游供应商的供应链可靠性与关系强度层层迭代计算而得,这其实体现了网络结构级联效应。由此可知,生产网络节点间生产关联的确立不是独立事件,而计量方法强调观测样本的独立性,这意味着计量方法研究生产网络会存在局限性。指数随机图模型能够分析网络局部特征的影响,一定程度上能够反映网络级联效应,适合作为供应链可靠性 ρ ˜的表征变量。因此本文利用指数随机图进行实证研究,以弥补计量方法的不足。通过搜集相关文献可知,经贸领域应用较多的指数随机图模型形式如下所示:
P r Y = y | θ = 1 κ e x p θ α T g α y + θ β T g β y , x + θ γ T g γ y , z
式中:α表示弧、互惠弧等网络结构局部特征;β表示节点的属性;γ表示外生网络协变量,部分文献亦称之为网络内生结构效应、行为者-关系效应与外部网络效应变量[30] g α y g β y , x g γ y , z表示三者的统计量; θ α T θ β T θ γ T表示对应参数;κ为归一化常数,用来保证模型计算结果符合概率分布特征。
但是该模型仅能分析单个时间节点的网络结构形成机制,说服力不足。因此本文利用时态指数随机图模型(Temporal Exponential Random Graph Model,TERGM)来研究中高端制造业全球生产网络的影响因素,模型如下所示:
P r Y t = y t | y t - K , , y t - 1 , θ = e x p H θ H T g H y t - K , , y t - 1 , y t κ θ , y t - K , , y t - 1
在经贸研究中,时态指数随机图模型多以如下形式呈现:
P r Y t = y t | y t - K , , y t - 1 , θ                                   e x p θ α g α y t - K , , y t - 1 , y t + θ β g β y t - K , , y t - 1 , y t | x t + θ γ g γ y t - K , , y t - 1 , y t | z t κ θ , y t - K , , y t - 1
式中:K∈{0,1,…,T-1}表示滞后期;κ(θ,yt-K,…, yt-1)用来表示归一化常数; g α y t - K , , y t - 1 , y t g β y t - K , , y t - 1 , y t | x t g γ y t - K , , y t - 1 , y t | z t分别表示网络结构局部特征、节点的属性与外部协变量网络的统计量,以此模型描绘t时点网络结构yt的影响因素。
本文参考Leifeld等的研究,用公式(12)来研究K=1期与T期之间中高端制造业全球网络结构演化的影响因素[31]
P r y K + 1 , , y T | y 1 , , y K , θ = t K + 1 T P r Y t = y t | y t - K , , y t - 1 , θ

4.2 变量选取

4.2.1 内生结构变量

指数随机图模型假设某些网络局部特征会对网络结构的形成产生影响,本文选取的内生结构变量如表1所示。为验证假设8,本文参考经贸领域相关研究,选取有代表性的网络内生结构作为供应链可靠性 ρ ˜的表征变量。
表1 内生结构变量

Tab. 1 Endogenous structural variables

变量名称 变量注释 示意图 经济意义
Edges 截距效应,为中间品贸易关系发生的基准倾向。回归结果中,一般不做解释。
Mutual 互惠边 检验互惠倾向。
threetrail 3-路径(RRR) 检验是否表现出明显的RRR链式结构,即蛇形特征。
Ostar3 出-3-星 检验扩张性,是否存在供给核心国。
Istar3 入-3-星 检验聚敛性,是否存在需求核心国。
ttriple 传递闭合三角 检验传递闭合性。

注:变量3-路径包含RRR、RRL、LRR、LRL四种链式结构的回归结果,本文将RRL、LRR、LRL省略。

中高端制造业全球生产网络呈现明显互惠性与集聚性,因此检验互惠边与传递闭合三角的驱动作用。世界银行发布的《全球价值链报告2017》概括出蛛形、蛇形与混合形三种主要的全球价值链结构,因此选取三链路来表征蛇形价值链结构,入-3-星与出-3-星表征蛛形价值链[32]。此外,入-3-星与出-3-星还可检验中高端制造业全球生产网络当中核心国家的驱动作用。

4.2.2 外生网络变量

指数随机图模型假设特定网络关系会受到其他网络关系的影响,比如同学关系会对社交平台互动关系产生影响。外生网络指的便是被解释网络节点间存在的其他关系网络,本文选取的外生网络变量如表2所示。由假设2可知,冰山成本是影响关系强度的重要因素。因此,选取双边地理距离、文化差异来反映冰山成本。具体来讲,以双边地理距离矩阵,双边国家是否接壤来反映地理距离。此外,以殖民关联、语言与宗教接近程度来反映文化差异。为检验假说3,以FTA网络来表征双边贸易政策与关系投资。
表2 外生网络变量

Tab. 2 Exogenous network variables

变量名 经济意义
Edge(lndist) 检验地理距离是否会产生影响。
Edge(contig) 检验接壤国家是否更容易建立生产关联。
Edge(colony) 检验曾经有殖民关系的国家之间是否更容易建立生产关联。
Edge(comcol) 检验曾被同一国家殖民的国家是否更容易建立生产关联。
Edge(comlang_off) 检验有共同官方语言的国家是否更容易建立生产关联。
Edge(comcol) 检验有共同日常用语的国家是否更容易建立生产关联。
Edge(Religion) 检验宗教信仰相似的国家是否更容易建立生产关联。
Edge(FTA) 检验有双边自由贸易协定的国家是否更容易建立生产关联。

4.2.3 行为者属性变量

行为者属性亦可称为节点属性,主要包括发出者效应与接收者效应。发出者效应是指行为者或节点具备某种属性或某种属性较强会更容易成为网络中的关系发出者;而接收者效应是指节点具备某种属性或某种属性较强会更容易成为网络中的关系接收者。另外,还可以检验节点属性的同配性与差异性是否对网络结构形成产生影响。同配性效应是指两节点某属性相似度越高就越容易建立链接;而差异性效应则相反,是指两节点某属性差异性越大越容易建立链接。本文选取的行为者属性变量如表3所示。
表3 行为者属性变量

Tab. 3 Actor attribute variables

类型 变量名 经济意义
发出者效应 Value 检验中高端制造业产业规模更高的国家是否更容易成为中间商品输出国。
R&D 检验科技水平更高的国家是否更容易成为中间商品输出国。
Education 检验劳动力素质更高的国家是否更容易成为中间商品输出国。
Wage 检验工资水平更高的国家是否更容易成为中间商品输出国。
Cost 检验边际劳动成本更高的国家是否更容易成为中间商品输出国。
landlock 检验内陆国家是否更容易成为中间商品输出国。
接收者效应 Value 检验中高端制造业产业规模更高的国家是否更容易成为中间商品输入国。
R&D 检验科技水平更高的国家是否更容易成为中间商品输入国。
Education 检验劳动力素质更高的国家是否更容易成为中间商品输入国。
Wage 检验工资水平更高的国家是否更容易成为中间商品输入国。
Cost 检验边际劳动成本更高的国家是否更容易成为中间商品输入国。
landlock 检验内陆国家是否更容易成为中间商品输入国。
差异性 Value 检验是否中高端制造业产业规模差异越大的国家越容易建立生产关联。
同配效应 Continent 检验是否处于同一大陆的国家更容易建立生产关联。
为验证假说1,本文选取国家的中高端制造业总增加值作为节点属性,分别检验其发出者效应、接收者效应与双边差异性效应。本节为进一步验证假说2,将是否为内陆国家作为节点属性,检验其发出者效应与接受者效应。另外,选取大陆板块的同配性效应作为地理距离的补充。
为检验假说4,本文选取国家研发投入水平作为科技水平的表征变量,国家教育支出水平作为劳动力素质的表征变量,国家人均总产出作为工资水平的表征变量,并利用公式(13)创建指标Cost来反映边际劳动成本,分别检验其发出者效应与接收者效应。此外,为检验假说5~假说7,本文分别检验科技水平、劳动力素质与工资水平的发出者效应与接收者效应。
C o s t W a g e R D + E d u c a t i o n
式中:Cost表示边际劳动成本;Wage表示工资水平;RD表示科技水平;Education表示劳动力素质。
本文研究假说较多,且部分假说由多个变量支撑。因此通过表4梳理假说与变量间的对应关系,以便阅读与理解。综合来讲,假设1~假说7用来检验双边关系强度的影响因素,假设8用来验证级联效应的影响。
表4 研究假说与变量对应关系

Tab. 4 The correspondence between hypotheses and variables

研究假说 假说内容 变量名
假说1 双边中高端制造业产业规模 (Value)的发出者效应、(Value)的接收者效应、(Value)的差异性
假说2 地理距离 Edge(lndist)、Edge(contig)、Continent的同配效应
文化差异 Edge(colony)、Edge(comcol)、Edge(comlang_off)、Edge(comlang_off)、Edge(Religion)
假说3 贸易政策与关系投资 Edge(FTA)
假说4 边际劳动成本 Cost的发出者效应、Cost的接收者效应
假说5 科技水平 R&D的发出者效应、R&D的接收者效应
假说6 劳动力素质 Education的发出者效应、Education的接收者效应
假说7 工资水平 Wage的发出者效应、Wage的接收者效应
假说8 供给方的供应链可靠性 互惠边、3-路径(RRR)、出-3-星、入-3星、传递闭合三角

4.3 主要数据来源

本文对上文构造的中高端制造业全球生产网络进行无权化处理,作为实证分析的被解释变量。此外,本文计算中高端制造业全球生产网络当中各国的中高端制造业增加值总额,用来表征双边中高端制造业产业规模。如表5所示,本文选取世界银行公开数据库中研究发支出在GDP中占比、教育支出在GDP中占比作为R&D与Education的数据来源,利用CEIC数据库、OECD数据库与联合国教科文组织数据库补充缺失值,并在此基础上对缺失数据进行线性填充。变量Wage的数据来源为国际劳工组织人均总产出数据;双边地理距离等地理信息,以及宗教、语言等文化信息主要来自CEPII数据库,而自由贸易协定信息来自WTO数据库。
表5 实证研究数据来源

Tab. 5 Data source of empirical research

变量名 变量注释 数据来源
Value 中高端制造业生产总值 OECD投入产出表计算
R&D 研发支出在GDP中占比 世界银行、OECD数据库与联合国教科文组织数据库
Education 教育支出在GDP中占比 世界银行、联合国教科文组织与台湾省教育管理部门
Wage 人均总产出 国际劳工组织
landlock 是否为内陆国家 CEPII数据库
Continent 大陆归属 CEPII数据库
dist 双边地理距离 CEPII数据库
contig 双边是否接壤 CEPII数据库
colony 双边是否存在殖民关联 CEPII数据库
comcol 是否曾被同一国家殖民 CEPII数据库
comlang_off 是否有共同官方语言 CEPII数据库
comcol 是否有共同日常用语 CEPII数据库
Religion 双边宗教相似度 CEPII数据库
FTA 是否有双边自由贸易协定 WTO数据库

4.4 回归结果

目前,多数研究利用伪极大似然估计法(MPLE)与马尔可夫链蒙特卡罗极大似然估计法(MCMC MLE)来进行参数估计。MCMC MLE计算结果相对精确,但更适合小样本。当样本量较大时,MPLE更能发挥优势[31]。考虑到本文样本量较大,选择MPLE作为参数估计方法。模型1只包含网络内生结构变量,模型2在模型1基础之上加入双边中高端制造业产业规模、双边贸易距离与双边文化差异等与贸易引力模型相关的变量,模型3~模型6进一步检验研发支出水平(R&D)、教育支出水平(Education)、工资水平(Wage)、产品边际劳动成本(Cost)的影响。
表6所示,在6个模型中,互惠边在1%水平上显著为正且系数较大,这说明互惠性对中高端制造业全球生产网络的形成发挥重要驱动作用。RRR型三链路用来表征蛇形价值链,该变量在六个模型中都显著为负,一定程度上印证了全球价值链的扁平化趋势。出三星与入三星用来表征蛛网价值链,出三星还可以表示中高端制造业全球生产网络中的核心供给国,入三星亦可表示核心需求国。出三星与入三星都显著为正,说明中高端制造业全球生产网络中明显存在核心驱动国。传递闭合三角显著为正,说明集聚趋势是中高端制造业全球生产网络形成的驱动因素。
表6 内生结构变量回归结果

Tab. 6 Regression results of endogenous structural variable

变量 模型1 模型 2 模型3 模型4 模型5 模型6
edges -6.1859*** -15.2667*** -15.3166*** -14.1136*** -9.1326*** -8.6374***
(0.0626) (0.9042) (0.8972) (0.7599) (0.7934) (0.8401)
mutual 3.2909*** 2.0334*** 2.0543*** 2.0348*** 2.0035*** 1.9930***
(0.0612) (0.0604) (0.0589) (0.0590) (0.0608) (0.0619)
threetrail.RRR -0.0109*** -0.0124*** -0.0117*** -0.0123*** -0.0119*** -0.0121***
(0.0009) (0.0011) (0.0011) (0.0012) (0.0012) (0.0012)
ostar3 0.0106*** 0.0091*** 0.0091*** 0.0092*** 0.0091*** 0.0091***
(0.0003) (0.0003) (0.0003) (0.0003) (0.0003) (0.0003)
istar3 0.0054*** 0.0033*** 0.0030*** 0.0035*** 0.0030*** 0.0029***
(0.0003) (0.0004) (0.0004) (0.0004) (0.0005) (0.0005)
ttriple 0.2754*** 0.1597*** 0.1615*** 0.1557*** 0.1498*** 0.1522***
(0.0139) (0.0089) (0.0088) (0.0085) (0.0084) (0.0082)
观测量 102960 102960 102960 102960 102960 102960

注:******分别代表在10%、5%和1%水平上显著;括号内为标准误。

外生网络变量的回归结果如表7所示,Edge(lndist)在1%水平上显著为负,说明双边地理距离越远越不利于建立生产关联。此外,变量Edge(contig)在1%水平上显著为正且系数较大,这说明接壤的两国更容易建立合作关系。以上结果表明,地理距离对中高端制造业全球生产网络的形成有重要影响。
表7 外生网络变量回归结果

Tab. 7 Regression results of exogenous network variables

变量 模型1 模型2 模型3 模型4 模型5 模型6
Edge(lndist) -0.4549*** -0.4773*** -0.5219*** -0.6187*** -0.5889***
(0.0225) (0.0219) (0.0225) (0.0162) (0.0160)
Edge(contig) 1.8935*** 1.8612*** 1.7919*** 1.6485*** 1.6957***
(0.0610) (0.0622) (0.0591) (0.0588) (0.0566)
Edge(colony) 0.5073*** 0.4694*** 0.5001*** 0.4190*** 0.4366***
(0.0766) (0.0772) (0.0736) (0.0842) (0.0850)
Edge(comcol) -0.6612*** -0.7596*** -0.7593*** -0.8659*** -0.8119***
(0.1260) (0.1312) (0.1185) (0.1234) (0.1204)
Edge(comlang_off) 0.2548*** 0.2929*** 0.2956*** 0.3930*** 0.3612***
(0.0634) (0.0651) (0.0663) (0.0677) (0.0653)
Edge(comlang) 0.5169*** 0.5279*** 0.5063*** 0.5185*** 0.5306***
(0.0649) (0.0654) (0.0684) (0.0595) (0.0588)
Edge(Religion) 0.1501*** 0.1250*** 0.3016*** 0.3817*** 0.3697***
(0.0510) (0.0480) (0.0383) (0.0469) (0.0528)
Edge(FTA) 0.1547*** 0.1466*** 0.1663*** 0.1959*** 0.1978***
(0.0474) (0.0454) (0.0406) (0.0373) (0.0431)
观测量 102960 102960 102960 102960 102960 102960

注:*、**和***分别代表在10%、5%和1%水平上显著;括号内为标准误。

Edge(colony)在1%水平上显著为正,说明曾经有殖民关系的两国更容易在中高端制造业全球生产网络中建立关联。但Edge(comcol)在1%水平上显著为负,说明曾经被相同殖民者控制的两个国家并不容易建立合作关系。Edge(comlang_off)用来表征共同的官方语言,而Edge(comlang)表示共同的日常用语。共同的日常用语系数较大,这说明共同日常用语的驱动力强于共同官方语言。Edge(Religion)用来反映共同宗教的影响,该变量显著为正,说明宗教也是影响因素之一。双边自由贸易协定Edge(FTA)用来验证关系投资与贸易政策的影响,在1%水平上显著为正。这说明建立双边自贸区,降低贸易壁垒是有效的关系投资形式。
表8所示,行为者属性变量主要包含两部分,一部分用来进一步验证贸易引力模型,另一部分验证边际劳动成本的影响。
表8 行为者属性变量回归结果

Tab. 8 Regression results of actor attribute variables

变量 模型1 模型 2 模型3 模型4 模型5 模型6
Send(landlock) -0.5353*** -0.6090*** -0.5602*** -0.5691*** -0.5568***
(0.0294) (0.0301) (0.0275) (0.0263) (0.0258)
Receive(landlock) -0.6510*** -0.5583*** -0.6720*** -0.5637*** -0.5900***
(0.0389) (0.0436) (0.0373) (0.0414) (0.0398)
Homophily(Continent) 1.2411*** 1.2306*** 1.1496*** 1.0772*** 1.1220***
(0.0448) (0.0420) (0.0446) (0.0431) (0.0392)
Send(lnValue) 0.6444*** 0.6071*** 0.6536*** 0.6753*** 0.6667***
(0.0543) (0.0509) (0.0507) (0.0451) (0.0509)
Receive(lnValue) 0.4352*** 0.5079*** 0.4504*** 0.4671*** 0.4314***
(0.0381) (0.0384) (0.0376) (0.0364) (0.0351)
Heterophily(lnValue) -0.0794*** -0.0655*** -0.0989*** -0.0893*** -0.0807***
(0.0183) (0.0178) (0.0167) (0.0178) (0.0182)
Send(R&D) 0.1036***
(0.0086)
Receive(R&D) -0.2004***
(0.0179)
Send(Education) -0.0477***
(0.0100)
Receive(Education) -0.1224***
(0.0125)
Send(lnWage) -0.0931***
(0.0208)
Receive(lnWage) -0.4181***
(0.0297)
Send(lnCost) -0.1608***
(0.0253)
Receive(lnCost) -0.4863***
(0.0372)
观测量 102960 102960 102960 102960 102960 102960

注:*、**和***分别代表在10%、5%和1%水平上显著;括号内为标准误。

Send(landlock)与Receive(landlock)都在1%水平上显著为负,这说明内陆国家既不容易成为输出国,也不容易成为接收国,意味着交通便利程度会影响生产关联的确立。Homophily(Continent)在1%水平上显著为正且系数较大,这说明属于同一大陆的国家更容易建立生产关联,表明中高端制造业全球生产网络呈现区域集聚特征。Send(lnValue)与Receive(lnValue)都在1%水平上显著为正,这说明中高端制造业产业规模大的国家既容易成为中高端制造业全球生产网络中的输出国,又容易成为接收国。Heterophily(lnValue)代表双边中高端制造业产业规模的差异,该变量在1%水平上显著为负,这证明双边中高端制造业产业规模差异越大就越不容易建立生产关联。以上回归结果,进一步验证了贸易引力模型。
Send(Cost)在1%水平上显著为负,这说明边际劳动成本更高的国家不容易成为中间商品输出国;Receive(Cost)在1%水平上显著为负,说明边际劳动成本更高的国家也不容易成为中间商品输入国。Send(R&D)在1%水平上显著为正,说明科技水平高的国家更容易成为中间品输出国;Receive(R&D)在1%水平上显著为负,说明科技水平高的国家不容易成为中间品输入国。Send(Education)与Receive(Education)、Send(lnWage)与Receive (lnWage)都在1%水平上显著为负,这说明劳动力素质与工资水平高的国家既不容易成为中间商品输出国,也不容易成为输入国。

5 结论

本文基于全球价值链拆解框架,利用OECD国家间投入产出表拆解中高端制造业全球价值链矩阵,以此为数据源刻画中高端制造业全球生产网络来分析其结构特征。网络宏观特征分析显示,中高端制造业全球生产网络是少数核心国家主导的稀疏网络,表现出稳定且较强的传输性、互惠性与集聚性特征。为更加清晰描述其发展历程,构建后向Top1生产网络来提取主干并进行可视化分析。结果显示中高端制造业全球生产网络呈现出明显的区域集聚性,存在欧洲、美洲与亚洲三大集团,而且区域内生产网络皆呈现由集团核心国辐射其他国家的中心放射状。1995年与2003年,欧洲、美洲与亚洲三大集团的核心国是德国、美国与日本,而2011年与2018年中国取代日本成为亚洲核心国。2003年,欧美亚三大社团以美国为桥梁连结一体。2011年以后,中国成为亚洲链接欧洲与美洲的枢纽国。
此外,本文以双边生产关联的建立为落脚点,从生产网络级联效应与双边关系强度两个维度展开,分析中高端制造业全球生产网络形成的影响因素。
生产活动的序贯性决定生产网络呈现级联效应,这是分析影响生产网络形成与演进影响因素不可忽略的因素。本文借鉴供应链网络形成理论,引入供应链可靠性刻画上游各层级供给商之间层层递进、错综复杂的关系结构,借以说明网络级联效应也可能会对生产关联的建立产生影响。为验证这一假说,以互惠边、传递闭合三角等网络结构特征作为网络级联效应的表征变量,利用指数随机图模型进行实证检验。总结梳理上述分析结果,本研究得到以下主要结论:① 互惠性是中高端制造业全球生产网络形成的驱动因素。这说明在双边生产关联中,供给方的上游供应商正好是需求方,则该生产关联建立的概率较大。② 集聚性也是中高端制造业全球生产网络形成的驱动因素,这说明供给方的上游供应商也有较大概率成为需求方的供给商。③ 核心国家更容易与其他国家建立生产关联,这说明核心国对中高端制造业全球生产网络的形成有较强驱动力。④ 当供给方的上游供应商层级较多时,则不容易建立生产链接,这体现全球价值链的短链化与扁平化趋势。综上,网络级联效应会对中高端制造业全球生产网络的形成产生影响,但可以通过调整上游供应商关系结构来控制级联效应的影响。
本文选取全球价值链矩阵为数据源构建全球生产网络,本质上指的是中高端制造业中间品贸易驱动形成的全球增加值流通网络。因此基于跨国采购利润空间多寡分析双边中间品贸易发生的原因,得到以下主要结论:① 贸易引力模型依旧可以解释中高端制造业全球生产网络中的双边生产关联建立的原因。双边中高端制造业产业规模越大,越容易建立生产关联。双边产业规模差距越大,则越不容易建立生产关联。双边地理距离与文化差距越大,就越不容易建立生产关联。② 自贸区是有效的关系投资形式,能够促进双边生产关联建立。③ 随着产品边际劳动成本的提升,国家参与中高端制造业全球生产网络的可能性降低。④ 科技水平越高越容易成为出口国,且越不容易成为进口国。⑤ 当劳动力素质提升且工资水平增长,既不容易成为出口国也不容易成为进口国。综上,当生产的边际劳动成本、劳动力素质与工资水平提升时,国家参与中高端制造业全球生产网络的可能性降低,要通过提高科技水平来提升竞争力。

衷心感谢匿名评审专家在论文评审中付出的时间和精力,评审专家对论文题目、写作逻辑、实证规范性和结论提炼等方面给予的专业意见,使本文获益匪浅!评审专家建议补充生产网络研究现状,来突出本文在生产网络量化与经济地理方面的贡献,使文章的研究意义得以升华,也深化了本人对经济地理的认知。

[1]
刘伟. 科学认识与切实发展新质生产力. 经济研究, 2024, 59(3): 4-11.

[Liu Wei. Scientifically understanding and practically developing new quality productivity. Economic Research Journal, 2024, 59(3): 4-11.]

[2]
孟捷, 韩文龙. 新质生产力论: 一个历史唯物主义的阐释. 经济研究, 2024, 59(3): 29-33.

[Meng Jie, Han Wenlong. New quality productivity theory: An interpretation by historical materialism. Economic Research Journal, 2024, 59(3): 29-33.]

[3]
方敏, 杨虎涛. 政治经济学视域下的新质生产力及其形成发展. 经济研究, 2024, 59(3): 20-28.

[Fang Min, Yang Hutao. New quality productivity and its formation & development from the perspective of political economy. Economic Research Journal, 2024, 59(3): 20-28.]

[4]
韩文龙, 张瑞生, 赵峰. 新质生产力水平测算与中国经济增长新动能. 数量经济技术经济研究, 2024, 41(6): 5-25.

[Han Wenlong, Zhang Ruisheng, Zhao Feng. The measurement of new quality productivity and new driving force of Chinese economy. Journal of Quantitative & Technological Economics, 2024, 41(6): 5-25.]

[5]
蔡继明, 高宏. 新质生产力参与价值创造的理论探讨和实践应用. 经济研究, 2024, 59(6): 15-28.

[Cai Jiming, Gao Hong. Theoretical exploration and practical application of new quality productivity’s participating in value creation. Economic Research Journal, 2024, 59(6): 15-28.]

[6]
任保平. 生产力现代化转型形成新质生产力的逻辑. 经济研究, 2024, 59(3): 12-19.

[Ren Baoping. The logic behind the transformation of productivity modernization into new quality productivity. Economic Research Journal, 2024, 59(3): 12-19.]

[7]
Gereffi G, Korzeniewicz M, Korzeniewicz R P. . Introduction:Global commodity chains. In: Gereffi G, Korzeniewicz M. Commodity Chains and Global Capitalism. Westport, CT: Praeger, 1994: 1-149.

[8]
Gereffi G, Kaplinsky R. Introduction: Globalisation, value chains and development. IDS Bulletin, 2001, 32(3): 1-8.

[9]
陈蕊, 刘逸. 全球生产网络(GPN)的理论问题和中国实践启示. 地理研究, 2021, 40(12): 3259-3271.

DOI

[Chen Rui, Liu Yi. Theoretical problems of Global Production Network research and the implications to China. Geographical Research, 2021, 40(12): 3259-3271.]

[10]
Henderson J, Dicken P, Hess M, et al. Global production networks and the analysis of economic development. Review of International Political Economy, 2002, 9(3): 436-464.

[11]
郑智, 刘卫东, 宋周莺, 等. “一带一路”生产网络演化及中国经济贡献分析. 地理研究, 2020, 39(12): 2653-2668.

DOI

[Zheng Zhi, Liu Weidong, Song Zhouying, et al. Evolution of the Belt and Road production networks and China's economic contribution. Geographical Research, 2020, 39(12): 2653-2668.]

[12]
Yeung G. The operation of Global Production Networks (GPNs) 2.0 and methodological constraints. Geoforum, 2016, 75(10): 265-269.

[13]
Koopman R, Wang Z, Wei S. Tracing value-added and double counting in gross exports. American Economic Review, 2014, 104(2): 459-94.

[14]
陈肖飞, 杜景新, 李元为, 等. GPN视角下华为手机生产网络特征与影响因素研究. 地理研究, 2024, 43(1): 51-65.

DOI

[Chen Xiaofei, Du Jingxin, Li Yuanwei, et al. Research on the characteristics and influencing factors of Huawei's mobile phone production network from GPN. Geographical Research, 2024, 43(1): 51-65.]

[15]
Chen Q, Gao Y, Pei J, et al. China's domestic production networks. China Economic Review, 2022, 72(4), https://doi.org/10.1016/j.chieco.2022.101767.

[16]
姚星, 梅鹤轩, 蒲岳. 国际服务贸易网络的结构特征及演化研究: 基于全球价值链视角. 国际贸易问题, 2019, (4): 109-124.

[Yao Xing, Mei Hexuan, Pu Yue. Research on the structural characteristics and evolution of international service trade network: Based on the perspective of global value chains. Journal of International Trade, 2019, (4): 109-124.]

[17]
袁红林, 辛娜. 中国高端制造业的全球贸易网络格局及其影响因素分析. 经济地理, 2019, 39(6): 108-117.

[Yuan Honglin, Xin Na. Global trade network pattern and influencing factors of advanced manufacturing in China. Economic Geography, 2019, 39(6): 108-117.]

[18]
许和连, 孙天阳, 成丽红. “一带一路”高端制造业贸易格局及影响因素研究: 基于复杂网络的指数随机图分析. 财贸经济, 2015, (12): 74-88.

[Xu Helian, Sun Tianyang, Cheng Lihong. Trade patterns and influence factors of high-end manufacturing on “One Belt and one Road”: A study based on the exponential random graph models. Finance & Trade Economics, 2015, (12): 74-88.]

[19]
唐晓彬, 张岩, 王亚男, 等. “一带一路”沿线国家贸易网络关联与群体影响机制研究. 统计研究, 2023, 40(12): 91-105.

[Tang Xiaobin, Zhang Yan, Wang Yanan, et al. Research on the trade network association and group influence mechanism of countries along the “One Belt and one Road”. Statistical Research, 2023, 40(12): 91-105.]

[20]
刘林青, 闫小斐, 杨理斯, 等. 国际贸易依赖网络的演化及内生机制研究. 中国工业经济, 2021, (2): 98-116.

[Liu Linqing, Yan Xiaofei, Yang Lisi, et al. Research on the evolution and endogenous mechanism of international trade dependence network. China Industrial Economics, 2021, (2): 98-116.]

[21]
Xu H, Feng L, Wu G, et al. Evolution of structural properties and its determinants of global waste paper trade network based on temporal exponential random graph models. Renewable and Sustainable Energy Reviews, 2021, 149(10): 1364-0321.

[22]
孙天阳, 肖皓, 孟渤, 等. 制造业全球价值链网络的拓扑特征及影响因素: 基于WWZ方法和社会网络的研究. 管理评论, 2018, 30(9): 49-60.

[Sun Tianyang, Xiao Hao, Meng Bo, et al. Topology and evolutionary pattern of manufacturing GVC network and its influencing factors: A study based on WWZ method and social networks. Management Review, 2018, 30(9): 49-60.]

[23]
李晓, 刘宝琦. 制造业国际贸易网络结构演变: 1995—2018: 基于社会网络方法的分析. 国际经贸探索, 2023, 39(12): 4-20.

[Li Xiao, Liu Baoqi. Evolution of international trade network structure in manufacturing sector: 1995—2018: An analysis based on STERGM. International Economics and Trade Research, 2023, 39(12): 4-20.]

[24]
Elliott M, Benjamin G, Matthew V L. Supply network formation and fragility. American Economic Review, 2022, 112(8): 2701-2747.

[25]
Wang Z, Wei Sn, Yu X, et al. Global value chains over business cycles. Journal of International Money and Finance, 2022, 126(9): 102643.

[26]
Galindo F R, Verger F. OECD taxonomy of economic activities based on R&D intensity. OECD Science, Technology and Industry Working Papers. Paris: OECD Publishing, 2016, No.2016/04.

[27]
World Bank, World Trade Organization. Global Value Chain Development Report 2019:Technological Innovation, Supply Chain Trade and Workers in a Globalized World. Washington: World Bank Group, 2019: 27-34.

[28]
祝坤福, 余心玎, 魏尚进, 等. 全球价值链中跨国公司活动测度及其增加值溯源. 经济研究, 2022, 57(3): 136-154.

[Zhu Kunfu, Yu Xinding, Wei Shangjin, et al. MNE's activities measurements and value-added tracing in GVCs. Economic Research Journal, 2022, 57(3): 136-154.]

[29]
Antràs P, Teresa C F, Felix T. The margins of global sourcing: Theory and evidence from US firms. American Economic Review, 2017, 107(9): 2514-2564.

[30]
唐晓彬, 崔茂生. “一带一路”货物贸易网络结构动态变化及其影响机制. 财经研究, 2020, 46(7): 138-153.

[Tang Xiaobin, Cui Maosheng. Research on the dynamic change of goods trade network structure and its impact mechanism of countries along the Belt and Road. Journal of Finance and Economics, 2020, 46(7): 138-153.]

[31]
Leifeld P, Cranmer S J, Desmarais B A. Temporal exponential random graph models with btergm: Estimation and bootstrap confidence intervals. Journal of Statistical Software, 2018, 83(6): 1-36.

[32]
Dollar D R, Inomata S J, Degain C, et al. Global Value Chain Development Report 2017:Measuring and Analyzing the Impact of Gvcs on Economic Development. Washington: World Bank Group, 2017: 107-108.

文章导航

/