长三角地区生物医药技术合作网络的空间演化及驱动机制
The spatial pattern evolution and driving mechanism of the directed network of technological cooperation in the Yangtze River Delta
通讯作者:
收稿日期: 2023-03-23 接受日期: 2023-06-27
| 基金资助: |
|
Received: 2023-03-23 Accepted: 2023-06-27
作者简介 About authors
刘通(2000-),男,江苏徐州人,硕士研究生,主要研究方向为科技地理与区域创新。E-mail:
构建城市技术合作有向网络,识别城市创新网络的不平等位势和竞合关系,是理解城市创新枢纽和创新网络重塑的关键指标。本文通过技术合作的方向性特征构建有向加权的城市技术合作网络,以生物医药领域为例,刻画了长三角城市技术合作网络的空间格局,并利用动态指数随机图模型分析了网络演化的多维动力机制。结果发现:① 长三角生物医药技术合作网络呈现“一核(上海)三心(南京、杭州、合肥)多点”的核心-边缘结构,具有显著的省域差异和较弱的省际协同。② 长三角生物医药技术合作网络演化过程具有典型的结构依赖性,体现在二元互惠关系的发育和三元结构洞的闭合,并在时序上呈现结构的依赖特征。③ 经济发展水平、城市行政等级、城市创新能力促进了城市网络联系的扩张,城市间的地理邻近性、组织邻近性、技术邻近性推动了城市间技术合作关系的形成。④ 网络的互惠性、核心城市引领所驱动的传递闭合性、聚敛闭合性,以及非核心节点的关系扩张是长三角生物医药技术合作网络演化的结构动力,网络演化具有显著的自回归性,即节点联系在时序上保持稳定的特性。文章定义了城市技术合作有向加权网络的构建方法,并利用动态指数随机图模型系统揭示了城市技术合作网络演化的结构动力。
关键词:
Building a directed network of urban technological cooperation and identifying the unequal potential and competing relationship of urban innovation network are key indicators to understand the urban innovation hub and the remodeling of innovation network. This paper constructs a weighted urban technical cooperation network based on the directional characteristics of technical cooperation. Taking the field of biomedicine as an example, it depicts the spatial pattern of the urban technical cooperation network in the Yangtze River Delta (YRD), and analyzes the multi-dimensional power mechanism of the network evolution using the dynamic exponential random graph model. The results showed that: (1) The biomedical technology cooperation network of the YRD presented a "1+3+N" evolution model, formed a core-periphery structure under the leadership of Shanghai and the three provincial capitals (Nanjing, Hangzhou and Hefei), and presented significant provincial differences and weak inter-provincial coordination. (2) The evolution process of the biomedical technology cooperation network in the YRD has typical structure and time dependence characteristics, which is reflected in the development of the binary reciprocity relationship and the closure of the ternary structure hole, and presents the structure dependence characteristics in time sequence. (3) The level of economic development, administrative level and innovation capacity promote the expansion of cities’ network connections. The geographical proximity, organizational proximity and technological proximity between cities promote the formation of inter-city technical cooperation relations. (4) Reciprocity, transitive closure, incoming closure and relationship expansion of non-core nodes of the network are the structural dynamics of the evolution of the biomedical technology cooperation network in the YRD. The evolution of the network has significant auto-regression, that is, the node connection is stable in time sequence. This paper defines the construction method of the directed weighted network of urban technical cooperation, and systematically reveals the structural dynamics of the evolution of urban technical cooperation network by using the dynamic exponential random graph model. This article systematically improves the understanding of the structural mechanism of the evolution of inter-city technology cooperation networks, and can provide empirical and theoretical support for accelerating the construction of regional collaborative innovation systems, and thus provides some relevant policy recommendations.
Keywords:
本文引用格式
刘通, 毛炜圣, 刘承良.
LIU Tong, MAO Weisheng, LIU Chengliang.
1 引言
在世界政治经济格局大变革时代下,中国经济结构、经济模式和空间组织等发生重构,面临着新机遇和新挑战,科技创新成为中国经济发展和参与世界竞争的重要支点和动力[1,2]。经济全球化将城市作为国家参与国际分工和竞争的基本地域单元,因此,城市是参与科技创新活动的主要空间载体[3]。近年来,创新空间从“地方空间”向“流空间”的空间组织形式转变[4,5],城市作为“流空间”中的点要素,经历着从创新城市到城市创新网络[6]的急速转型重构进程,其实质是知识生产和扩散系统转型、本地集群与外部知识库关系动态转化,以及要素重配、尺度重塑、空间重构的复杂过程。城市之间的创新联系正在成为影响知识流动、解构科技分工、重塑区域关系的重要动力。因此,加强对城市创新网络研究成为创新空间与城市网络研究中的重要内容,亦是区域创新驱动发展和高质量转型升级的关键议题,对当前中国建设世界主要科学中心和创新高地而言具有重要的理论和实践价值。
城市创新网络研究根源于网络科学研究范式的兴起。地理学、经济学和管理学学者利用科研论文[7]、发明专利[8,9]、人才流动[10]等不同数据,尝试构建城市创新网络,初步揭示了城市创新网络形成与演化的影响因素和多维邻近性机理[7,11,12]。城市创新网络理论框架与实证研究发展迅速,其中,技术合作作为城市经济形态、竞争格局、创新版图重塑的关键手段,关系着城市自身和区域发展的方向与绩效,基于跨城市技术联合开发构建起的城市技术合作网络备受关注。研究尺度涵盖了城市群[13]、国家[14]、“全球-地方”[9]等,研究议题主要涉及时空格局刻画[11,12]、网络演化机理[13,14]、网络外部性特征[15,16]等,测度指标论及网络整体指标、节点中心性指标、“核心-边缘”结构、社团结构等[9,12⇓-14]。
本文以长三角生物医药技术为研究对象,通过构建有向加权网络,聚合数理统计、空间分析等方法,刻画长三角城市技术合作网络的空间图式和演化特征。在此基础上,通过动态指数随机图方法,解析城市技术合作网络演化的属性、邻近和结构机制。本文的主要贡献在于定义了城市技术合作有向加权网络的构建方法,深化了对技术合作网络下动态指数随机图模型的理解,完善了城市技术合作网络演化的结构机理的再认识,为加快构建区域协同创新体系[13]、建设成为世界主要科学中心和创新高地提供理论与实践支撑。
2 城市技术合作有向网络演化机制框架
城市技术合作有向网络本质上是多技术申请人关系体系与城市网络的集合,其存在的基础包括:① 在行为维度上,技术合作是多技术申请人之间的交互行为,第一申请人作为技术开发过程的引领者,通过召集、组织、交流、分享、引进等方式,与其他申请人产生交互行为,其过程隐含关系强度、社会资本和相互信任等机制[19],交互行为决定了主体合作关系空间投影的城市技术合作有向关系必然存在。② 在主体维度上,城市技术合作有向网络的主体是企业、高校、科研院所等,形成全球地方跨尺度的地方技术联盟与国际技术协会[20,21],主体本身具有“关系集合”的属性,既包括单一组织中的申请人与申请人之间关系,也包括组织与组织之间、城市与城市之间的关系。技术主体体系的强者-弱者关系,不仅强化了城市技术锁定效应,而且推动了城市技术网络位势的重构[15]。③ 在客体维度上,城市技术合作有向网络的客体是基于技术标准和规范而构成的技术生态[22,23],在城市网络中,技术生态体系本身具有强大的“黏性”,技术生态在技术合作网络链接中扩散,进而在城市技术合作有向网络中产生了“网络凝聚”赢者通吃现象。
因此,城市技术合作有向网络应该被定义为“关系-尺度”的综合体,即具有多种关系交叉和尺度嵌套的网络属性。而抽象的城市合作关系和真实的技术合作关系分别为城市技术合作有向网络的内核与发生基础。由此,本文认为城市技术合作网络需要通过联合申请专利中的第一申请人作为出节点,其他申请人作为入节点,建立有向加权网络予以表达(详见3.1章节)。所以在网络的具体层次上,城市参与技术合作的“共现”关系建立并存续的基础是实际发生的技术合作有向关系,即城市技术合作有向网络。在城市根植性与网络结构属性交织影响下,通过创新主体的关系建构与传递,塑造了城市技术合作有向网络演化的空间格局与结构特征。城市技术合作有向网络中,城市的“主动”技术合作与“被动”技术合作刻画出城市引领与被引领特征,城市间的技术合作方向代表了城市间的位势差异。
城市技术合作网络的形成与演化过程既受到城市政治、经济等属性的影响[12],也与地理、组织、技术等邻近性因素相关[14]。① 城市属性是城市技术合作的基础[24],城市的经济发展水平、技术创新能力和行政等级是城市技术合作网络的主要属性影响因素。城市经济的发展为技术创新提供了资本、人员、环境等要素,是研发活动和技术合作产生的基础性要素之一[12,25],而技术生产能力决定了城市技术合作的宽度与广度,技术生产能力的提升往往能够推动合作关系的扩张[21]。政府是区域创新体系的重要主体和引领者[26],城市的行政等级在某种程度上决定了城市创新资源的多寡,以此影响城市技术合作关系。② 城市间的多维邻近性特征是影响技术合作网络的外生网络变量,城市技术合作关系主要受到地理、组织、技术邻近性的影响。地理距离决定了交流成本和联系概率,是影响城市技术合作网络的重要因素之一[27]。而组织邻近性则为技术合作关系的形成提供了便利,对其具有显著的推动作用[28]。同时,城市间的技术种类相似度越高,其产生领域内合作的概率往往越大[13]。
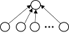
城市属性和城市间的多维邻近性仅从一元属性和二元关系变量角度考虑了城市间技术合作的生成机制,社会网络建构的初衷更强调从多元关系的视角窥探网络发育的机制,城市间技术合作不仅受到自身和合作城市属性的影响,还受到网络结构和多元关系的自组织作用。近年来,创新地理学者利用ERGM、SAOM等模型[29⇓-31]对城市创新网络进行研究,揭示了网络自组织结构对网络演化的推动作用。通常认为,城市创新网络节点存在显著的互惠性、聚敛性和扩散性特征,即城市节点倾向于产生双向的技术联系,并呈现显著的择优链接趋势,但鲜有论及上述结构在技术合作网络中的动态演化特征。部分学者通过对城市创新网络中的三方关系进行研究[28,32],发现了创新网络具有三元闭合特性,即拥有相同连接城市的两城市倾向于在中介作用下发生关系闭合,但对三元闭合模式缺乏系统论述与实证。上述结构动力分别可以归纳为一元节点的关系扩张性、二元节点的互惠性、三元节点的关系传递性。动态指数随机图模型(TERGM)的出现将网络演化的内生结构和时间依赖相结合,认为前期节点联系是后期节点联系的影响因素,在技术合作网络中,前期合作关系的建立对后期合作关系的延续和扩展具有基础性作用,可通过引入延迟互惠性、自回归性、创新性等时间趋势项观察节点联系的前后变化。综上,微观结构的自组织是驱动网络演化和塑造网络特征的重要动力因素,网络的内生自组织机制,伴随外生的节点属性和邻近性因素,共同作用于技术合作网络的演化(图1)。
图1
图1
城市技术合作有向网络演化机制框架
Fig. 1
The framework of the evolution mechanism of the directed network of urban technical cooperation
3 研究方法与数据来源
3.1 网络构建
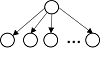
与传统的无向技术合作网络相比,构建有向技术合作网络并非去刻画技术合作过程中技术的流动,而是强调权力关系的非对称性和不平等性。与传统无向技术合作网络注重技术知识合作特征相比,有向技术合作网络基于合作关系建构的角度出发,旨在挖掘技术合作开发中引领与被引领的关系特征。通过专利信息检索和案例研究发现:一方面,第一申请人大多数情况下为技术的主要开发者和第一权利人,其在技术开发的伊始,通过主动召集多合作人,寻求多来源的知识支持;在技术开发的过程中,组织多申请人进行协作,引领技术开发的方向,并将多申请人的知识和成果进行集成创新。另一方面,第一申请人在一些时候可能被资金投入者或权属控制方占据,但第一申请人对其他申请人权属的控制和资金的投入在专利开发的初始和过程阶段均发挥引领和支配作用。此时,尽管第一申请人可能不是技术开发过程中的主要创造者,但往往具有最高的决定权,在技术开发伊始阶段予以需求呈现、方向指引、理念支持,在开发过程中给予本地人才与知识库供给、外部创新资源整合,以及资金支持等,在事实上同样对其他申请人产生了引领关系。因此,第一申请人对其他申请人的引领关系可能体现在技术开发过程中的知识引领,亦可能体现在开发理念、组织关系、资源供给上的引领。尽管第一申请人与其他申请人在技术开发过程中的知识贡献无法定量测度,但第一申请人在召集、组织、引领多申请人,以及聚合创新资源方面必然发挥着基础引领作用。专利合作申请的申请人和权利人次序,是多方博弈的最终权衡结果,一方面在大多数情况下遵循尊重实际贡献的原则,同时可能受到资本、权属等多方力量的控制,当此种力量超越实际贡献时,便意味着其在技术开发过程中占据着更多的主动权。因此,技术开发过程中的引领与被引领关系已经通过最终的专利申请人信息呈现,从而构建有向技术合作网络。
将长三角生物医药联合申请专利中的第一申请人作为出节点,其他申请人作为入节点,建立有向加权网络,并在城市尺度进行合并(图2),得到长三角城市技术合作网络[36]。城市技术合作本质上是城市内部经济主体的技术合作,经济主体处在城市的环境中,本地知识溢出决定了经济主体的城市属性和地方性特征,因此城市所处的网络位势代表了其内部经济主体所处的位势[38]。不平等地位是合作行为的推动机制[36],有向加权网络的建立有利于揭示城市创新网络中的不平等位势和引领特征。生物医药技术作为高新技术产业,专利质量较高,后疫情时代,生物医药行业成为全球科技、经济发展的焦点。生物医药是长三角的特色产业,其专利授权数量占据了全国27.9%的份额(2019年),长三角区域技术创新合作密切,产业协同发展程度高,因此选择长三角生物医药技术合作网络作为研究对象,在具有代表性的同时,能够在一定程度上减少由个体到城市尺度转换所带来的尺度误差。
图2
图2
城市技术合作有向加权网络构建方法示例
Fig. 2
Diagram of the construction method of the directed weighted network for inter-city technical cooperation
3.2 动态指数随机图模型
式中:
动态指数随机图模型将网络演化的内、外生机制分析纳入统一框架,能够同时研究城市属性、多维邻近、结构依赖和时间依赖共4个维度自变量(图1)对于网络演化的影响。结合已有研究,将自变量定义如下:① 分别用城市的人均GDP、当年生物医药领域发明授权专利数量表示城市经济发展水平(PGDP)和技术生产能力(INN),以此研究城市经济和技术属性对技术合作的影响。根据城市的行政等级设置虚拟变量ADM,将直辖市、省会城市设为1,其他城市为0,以此观察城市行政等级对城市技术合作网络演化的作用。② 通过城市间的欧氏距离的倒数表示城市间的地理邻近性(GEO)。设置虚拟变量ORG,若两城市属于同一省份,则其值设置为1,反之为0。通过计算生物医药领域技术种类的相似度(TEC)来观察技术相似性对城市技术合作网络演化的影响,用城市相关IPC四位数编码专利授权累计数量的调整余弦相似度表示。③ 将互惠性(Mutual)、聚敛性(Gwidegree)、扩散性(Gwodegree)纳入模型以观察其技术合作网络的一元和二元结构演化特征。同时,为研究城市技术合作网络中的关系传导与网络闭合机制,在模型中引入传递闭合性(Dgwesp.OTP)、循环闭合性(Dgwesp.ITP)、扩张闭合性(Dgwesp.OSP)、聚敛闭合性(Dgwesp.ISP)[40]。以上结构分别代表了上游城市节点主动与下游城市节点产生技术合作的趋势、下游城市节点主动与上游城市节点产生技术合作的趋势、拥有多个共同被动合作城市的两城市产生技术合作的趋势、拥有多个共同主动合作城市的两城市产生技术合作的趋势。此外,为增加模型的稳定性和结果的可靠性,引入边(Edges)、多重连通性(Dgwdsp.OTP)、扩张性扩展(Dgwdsp.OSP)、聚敛性扩展(Dgwdsp.ISP)作为控制变量[34,41]40。④ 引入自回归性(Autoregression)、创新性(Innovation)、延迟互惠性(Delrecip)三个时间趋势项,分别研究前期节点联系延续到下一期的趋势、节点联系随机发生的趋势和单向联系节点形成双向联系的趋势(表1)。
表1 TERGM模型变量设定及解释
Tab. 1
| 变量类型 | 变量名称 | 图示 | 变量含义 |
|---|---|---|---|
| 城市属性 | 经济发展水平(Nodecov.PGDP) | ![]() | 城市属性对其产生对外联系的影响 |
| 技术生产能力(Nodecov.INN) | |||
| 行政等级(Nodefactor.ADM) | |||
| 多维邻近 | 地理邻近性(Edgecov.GEO) | ![]() | 邻近性网络关系对城市技术合作的影响 |
| 组织邻近性(Edgecov.ORG) | |||
| 技术邻近性(Edgecov.TEC) | |||
| 内生结构 | 边(Edges) | ![]() | 常数项,表示城市产生技术合作的基本趋势 |
| 互惠性(Mutual) | ![]() | 城市间形成双向技术合作的基本趋势 | |
| 聚敛性(Gwidegree) | ![]() | 城市被动技术合作关系的马太效应 | |
| 扩散性(Gwodegree) | ![]() | 城市主动技术合作关系的马太效应 | |
| 传递闭合性(Dgwesp.OTP) | ![]() | 上游城市节点主动与下游城市节点产生技术合作的趋势 | |
| 循环闭合性(Dgwesp.ITP) | ![]() | 下游城市节点主动与上游城市节点产生技术合作的趋势 | |
| 多重连通性(Dgwdsp.OTP) | ![]() | 传递与循环闭合性的控制变量,代表局部连通性特征 | |
| 扩张闭合性(Dgwesp.OSP) | ![]() | 拥有多个共同被动合作城市的两城市产生技术合作的趋势 | |
| 扩张性扩展(Dgwdsp.OSP) | ![]() | 扩张闭合性的控制变量,表示关系扩张的同向性 | |
| 聚敛闭合性(Dgwesp.ISP) | ![]() | 拥有多个共同主动合作城市的两城市产生技术合作的趋势 | |
| 聚敛性扩展(Dgwdsp.ISP) | ![]() | 聚敛闭合性的控制变量,表示关系聚敛的同源性 | |
| 时间依赖 | 自回归性(Autoregression) | ![]() | 前期节点联系延续到下一期的趋势 |
| 创新性(Innovation) | ![]() | 节点联系随机发生的趋势 | |
| 延迟互惠性(Delrecip) | ![]() | 单向联系节点形成双向联系的趋势 |
注:
表示城市节点,
表示城市属性,
表示技术合作方向,
表示其他网络关联关系,
表示从t时期到t+1时期的转变。
3.3 研究数据
专利生产是衡量技术产出的最主要指标,与区域创新活动具有高度的相关性[5],专利数据具有良好的时空稳定性。专利联合申请是记载多申请人合作创新的主要形式,是表征区域协同创新的代表性指标,被广泛应用于跨组织边界的技术合作研究[5,9],较好地描述了企业、区域等不同尺度组织间的技术合作特征。本文中的专利数据来源于Incopat数据库(www.incopat.com),该数据库由北京合享智慧科技有限公司开发,收录了国家知识产权局、WIPO等多数据库专利信息,数据完整度高、更新速度快,被广泛应用于专利相关研究[15,16]。首先,选取专利申请人数量≥ 2的专利数据。其次,通过地址筛选剔除其他城市的专利合作数据,并剔除除发明授权专利之外的其他专利种类,以保证研究数据的代表性[42],同时剔除联合专利申请人均为个人或个人与企业的数据[18],以便数据清洗。最后,通过手动清洗获取联合申请人地址信息,并将其归并到城市尺度,获得2004—2018年长三角41市生物医药专利合作数据。经处理,共获得跨城市专利合作联系1331条。为避免技术合作年际突变对网络整体格局分析的影响,同时利于比较与观察,在网络演化特征分析阶段,以五年为统计时间段,合并专利合作数据进行网络建构,以观察全域和局域网络的整体演化特征,将2004—2008年、2009—2013年、2014—2018年三个时间段对比观察。其他数据来源于各年份的《中国城市统计年鉴》或政府统计公报(
4 长三角生物医药技术合作网络演化特征
4.1 全域网络的空间演化
4.1.1 “一核三心多点”的城市协同演进模式
长三角生物医药技术合作网络以上海为总辐散中心,以南京、杭州、合肥三大省会城市为省域辐散核心,协同区域内其他城市形成“一核三心多点”协同演进的模式(图3)。上海作为直辖市和长三角的中心城市,在长三角生物技术合作网络中具有最高的中心性,是城市技术合作关系的辐合与发散总枢纽。南京、杭州、合肥三大省会城市在与上海市进行密切技术合作的同时,分别在江苏省、浙江省、安徽省中发挥类似的技术合作引领作用。上海、南京、杭州、合肥在技术合作网络中的特殊地位,体现出高行政等级城市在网络节点关系发育中的推动和组织作用。在普通地级市中,江苏省的苏州、无锡、常州等城市,浙江省的绍兴、宁波、金华等城市汇集了大量的城际技术合作关系。上述城市经济发展水平较高,创新能力突出,是区域创新网络中的重要节点。在演化过程中,创新能力较高的非核心城市在区域内不断进行技术合作关系的广泛扩展,加深了网络的紧密程度,并削弱了上海、南京等城市的绝对核心地位,使得节点联系在网络整体层面更加均衡。
图3
图3
长三角生物医药技术合作网络空间格局及社团划分
注:该图基于自然资源部地图技术审查中心标准地图(审图号:GS(2020)4624)绘制,底图边界无修改;因图幅限制,图a、图b、图c中仅标注总合作数量较大的两级城市的名称。
Fig. 3
Spatial pattern and community structure of biomedical technology cooperation network in the Yangtze River Delta
4.1.2 “核心→外围”的城市技术合作方向
长三角生物医药技术合作呈现由核心城市向外围城市主动扩散的特征。图3中的箭头方向代指了城市间的技术合作方向。从技术合作方向来看,上海、南京、杭州、合肥以主动技术合作为主,面向区域内城市呈现发散联系特征,向外辐射以带动区域协同发展的能力凸显。与此同时,苏州、无锡、常州、绍兴、宁波、金华等新兴的创新型城市则以被动合作为主,其被动技术合作数量通常大于主动技术合作数量,承接了来自上海、南京、杭州大量的辐射作用[43]。上海、南京、杭州是生物医药科技创新的高地,汇集了大量的成熟科创企业、科研机构和高校,具有引领性的创新主体。而苏州、无锡、常州等新兴的创新型城市则在知识积累与科研主体方面存在劣势,技术的势差与科研主体的差异是形成网络位势差异的主要原因。
4.1.3 “分割”的省域技术合作网络
长三角生物医药技术合作网络省域差异显著。从图3a、图3b、图3c可以看出,江苏省内部技术合作网络密集,联系强度大,发育程度较高,在长三角区域网络中的中心性地位突出。南京、苏州、无锡、常州具有较高的度中心性,与区域内其他城市建立起广泛的合作关系。而位于苏北的徐州、连云港、盐城、泰州则具有较高的技术合作总量。相比之下,浙江省和安徽省均呈现单核心发展模式,分别以杭州、合肥为中心呈现星形结构,内部的技术合作总量较小,网络稀疏。且二者相较,浙江省内的网络联系强度大于安徽省。与此同时,长三角生物医药技术合作网络省域协同不足。长三角生物医药技术形成“上海-江苏”“上海-浙江”协同发展的格局。而安徽省城市多处于网络边缘位置,与其他地区的协同较少,主要依赖于合肥的辐合与发散[27]。此外,江苏省和浙江省的网络连接数量逐渐扩张,但联系强度仍处于较低水平。通过gephi软件的社区探测算法,对所有年份网络合并后进行社区划分得到图3d所示结果(线的粗细代表联系强度),可以看出网络的社区化趋势明显,形成以四大核心城市为核心、同省城市聚集的四个社区。省域的差异和协同特征暗示了行政边界和地理邻近性对于城市技术合作的约束与推动作用。
4.2 局域网络的空间演化
4.2.1 不断发育的二元互惠关系
城市节点倾向于形成双向技术合作关系,且趋势不断加强。从静态格局来看,城市技术合作倾向于形成双向的合作联系。双向边的数量在三个时间段内依次为15、27、46,分别占网络总边的30.61%、38.03%、44.66%,远大于相同规模和联系概率的随机网络的4.02%、6.26%、9.80%比例。从动态过程来看,单向联系逐渐转变为双向联系,双向互惠节点对比例呈现上升趋势,且大多由原有的单向节点发育而来。通过2004—2008年、2009—2013年、2014—2018年三个时期的比较发现,互惠联系的生成呈现高等级节点(上海、南京等)主导和低等级节点反馈(表2)的特征。伴随着网络的演进,多数节点的出、入中心性不断加强,原有的技术合作辐合中心或发散中心向“辐散”型的枢纽转变,推动技术合作网络愈发紧密。
表2 城市技术合作的互惠关系发育和网络结构洞闭合
Tab. 2
| 结构转变/时期比较 | 2004—2008年至2009—2013年 | 2009—2013年至2014—2018年 |
|---|---|---|
| 单向合作到互惠合作 | 常州→盐城、杭州→台州、连云港→上海、六安→合肥、南京→杭州、南京→镇江、苏州→南京、苏州→上海、泰州→南京 | 合肥→上海、湖州→上海、淮安→无锡、嘉兴→杭州、丽水→杭州、南京→宿迁、南通→杭州、南通→上海、上海→宁波、上海→泰州、无锡→上海、无锡→泰州、盐城→上海、扬州→南京 |
| 结构洞开放到结构洞闭合 | 安庆—上海、常州—杭州、常州—连云港、常州—南京、常州—苏州、常州—泰州、常州—镇江、杭州—南通、合肥—苏州、淮安—南京、金华—南京、金华—上海、金华—无锡、连云港—泰州、连云港—扬州、六安—上海、南京—宿迁、南京—徐州、南京—盐城、南通—上海、宁波—上海、宁波—无锡、上海—盐城、上海—扬州、苏州—无锡、泰州—无锡、泰州—镇江 | 蚌埠—合肥、蚌埠—南京、常州—湖州、常州—无锡、滁州—南京、杭州—苏州、杭州—无锡、合肥—南京、合肥—无锡、湖州—金华、湖州—南京、湖州—无锡、淮安—泰州、嘉兴—上海、嘉兴—苏州、嘉兴—无锡、金华—宁波、金华—衢州、金华—绍兴、金华—台州、丽水—宁波、连云港—苏州、南京—台州、南通—苏州、南通—无锡、南通—盐城、南通—扬州、宁波—舟山、上海—宿迁、上海—台州、上海—温州、绍兴—台州、苏州—盐城、苏州—镇江、无锡—盐城、无锡—扬州、无锡—镇江 |
4.2.2 网络结构洞的持续闭合
网络结构洞闭合趋势显著,三方关系传递与闭合推动网络演化。在长三角生物医药城市技术合作网络的演进过程中,网络规模和联系强度不断扩大,网络趋于闭合。通过2004—2008年、2009—2013年、2014—2018年三个时间段的比较发现,新诞生的联系分别70.13%、74.75%产生在开放的结构洞中,从而形成闭合的三角结构。表2统计了2004—2008年至2009—2013年、2009—2013年至2014—2018年的结构变化特征,其中单向合作向互惠合作的转变表示了后一时期相对前一时期新增的反向合作关系,结构洞开放向结构洞闭合的转变表示了后一时期相对前一时期由结构洞开放向闭合转变的城市联系。上海、南京、杭州等上游城市节点通过中游节点,向下游节点闭合的趋势明显。上海、南京、杭州等技术辐散枢纽占据结构洞位置,在其中发挥了重要的引领作用,是城市技术合作关系传递的中介者和推动者,推动了上下游城市、下游城市之间技术合作关系的形成。节点关系的传递和节点属性的同化促进了网络结构洞的闭合,从而促进了城市技术合作网络的演化。
4.2.3 节点联系的稳定性和延续性
从时间演变特征来看,网络结构呈现较强的稳定性和延续性。通过2004—2008年、2009—2013年、2014—2018年三个时间段的比较发现,分别有60.94%、70.41%的联系被延续到后期,且丢失联系多为关系较弱的节点对,网络的主干结构基本保持不变。这一特征表明了前期城市合作关系建立而形成的城际技术合作通道,对后期联系的生成和扩张具有基础性作用。
5 长三角生物医药技术合作网络的演化机理
将城市属性和外生网络变量引入模型1,作为基准模型。模型2~模型4将网络内生结构变量分别加入,以研究长三角城市技术合作网络演化的基础结构动力。模型5~模型7将自相关延续性、创新性和延迟互惠性分别作为时间依赖变量加入模型,观察城市技术合作网络中的时间依赖效应。模型8选取模型1~模型7中显著性较高且对城市技术合作网络具有正向影响的自变量进行合并回归,作为最终模型并进行拟合优度检验(表3),检验结果如图4(见第98页)所示,其中图4f表示受试者工作特征曲线(Receiver Operation Characteristics,ROC)和精确率-召回率(Precision-Recall,PR)曲线的轨迹。检验结果表明,模型与实际网络的相关指标较为吻合,真实值曲线与拟合值曲线重合度较高,ROC曲线接近于左上角,模型拟合效果较佳(图4见第98页)[39]。模型1~模型8均在99%的置信度下达到收敛,并且回归系数在各模型之间呈现良好的稳定性特征。
表3 TERGM回归结果
Tab. 3
| 自变量 | 模型1 | 模型2 | 模型3 | 模型4 | 模型5 | 模型6 | 模型7 | 模型8 | |
|---|---|---|---|---|---|---|---|---|---|
| 网络结构 | Edges | -8.60*** (0.26) | -5.46** (0.61) | -8.32*** (0.27) | -8.32*** (0.26) | -8.05*** (0.27) | -6.84*** (0.34) | -8.15*** (0.27) | -7.45*** (0.27) |
| Mutual | 1.21*** (0.21) | 0.82*** (0.24) | |||||||
| Gwidegree | -1.11** (0.30) | ||||||||
| Gwodegree | -1.68** (0.31) | ||||||||
| Dgwesp.OTP | 0.40*** (0.11) | 0.25* (0.11) | |||||||
| Dgwesp.ITP | 0.01 (0.09) | ||||||||
| Dgwdsp.OTP | 0.02 (0.03) | 0.02 (0.03) | |||||||
| Dgwesp.OSP | 0.14 (0.12) | ||||||||
| Dgwdsp.OSP | -0.01 (0.02) | ||||||||
| Dgwesp.ISP | 0.27* (0.12) | ||||||||
| Dgwdsp.ISP | 0.01 (0.01) | ||||||||
| 节点属性 | Nodecov.PGDP | 2.22*** (0.19) | 1.10*** (0.22) | 1.80*** (0.21) | 1.83*** (0.21) | 1.81*** (0.20) | 1.81*** (0.20) | 1.87*** (0.27) | 1.33*** (0.22) |
| Nodecov.INN | 2.48*** (0.26) | 2.03*** (0.25) | 2.23*** (0.27) | 2.27*** (0.27) | 2.21*** (0.28) | 2.21*** (0.28) | 2.28*** (0.28) | 1.85*** (0.29) | |
| Nodefactor.ADM | 1.74*** (0.15) | 1.15*** (0.14) | 1.58*** (0.17) | 1.60*** (0.17) | 1.56*** (0.16) | 1.56*** (0.16) | 1.61*** (0.16) | 1.34*** (0.18) | |
| 外生网络 | Edgecov.GEO | 0.61*** (0.18) | 0.62*** (0.16) | 0.62*** (0.18) | 0.60*** (0.18) | 0.73*** (0.19) | 0.73*** (0.19) | 0.74*** (0.19) | 0.64*** (0.18) |
| Edgecov.ORG | 2.41*** (0.16) | 2.16*** (0.16) | 2.29*** (0.16) | 2.31*** (0.17) | 2.20*** (0.18) | 2.20*** (0.18) | 2.26*** (0.18) | 1.90*** (0.18) | |
| Edgecov.TEC | 0.18* (0.08) | 0.19* (0.08) | 0.24* (0.09) | 0.25* (0.09) | 0.22* (0.09) | 0.22* (0.09) | 0.21* (0.09) | ||
| 时间依赖 | Autoregression | 1.21*** (0.16) | 0.96*** (0.18) | ||||||
| Innovation | -1.21*** (0.16) | ||||||||
| Delrecip | 0.93*** (0.16) | 0.50** (0.18) | |||||||
| 拟合度 | AIC | 2132.13 | 2094.31 | 2122.96 | 2122.85 | 1866.08 | 1866.08 | 1889.66 | 1844.99 |
| BIC | 2183.57 | 2206.10 | 2216.12 | 2225.32 | 1923.63 | 1923.63 | 1947.21 | 1944.06 | |
| Log Likelihood | -1059.07 | -1035.16 | -1051.48 | -1050.43 | -925.04 | -925.04 | -936.83 | -911.49 | |
注:***、**和*分别表示p < 0.001、p < 0.01和p < 0.05;括号内为标准误。
图4
5.1 城市属性与外生网络
城市经济发展水平是城市对外技术合作的基础动力,显著推动了城市技术合作关系的形成与合作网络的演化。在模型1~模型8中,经济发展水平的系数均显著为正,表明经济发展水平越高的城市,越倾向于与更多的城市产生技术合作关系。城市经济的发展,为技术创新带来了有利的人、财、物力条件,为技术合作关系的对外扩张奠定了条件基础,从而促进了城市技术合作关系的形成[12]。
5.2 内生结构与时间依赖
长三角生物医药技术合作网络去中心化发展动力显著。在模型2中,聚敛性和扩散性的系数均显著为负,表明网络演化过程中高度值节点对城市技术合作关系的吸附作用逐渐弱化,非核心城市之间的技术合作关系不断涌现,呈现相反的“马太效应”[41,49],这一特征促使了城市技术合作网络均衡化和去中心化发展格局的增强。长三角城市节点度中心性的基尼系数在三个时间段内呈现下降趋势,分别为0.64、0.58、0.53。从静态视角来看,创新网络往往呈现出典型的择优连接特征和核心-边缘结构[28,48],但从演化的角度来看,负向的回归系数表明非核心节点的关系发育动力大于核心节点的关系发育动力[32]。对于处于网络核心位势的城市而言,已有合作关系通道的维护和强度的扩展需要消耗大量成本,并降低了新技术合作关系的边际效用[50],加之技术通道的饱和,从而削弱了新通道开辟的概率。对于非核心城市节点而言,较大的技术合作关系开拓空间和外部知识的需求促使了技术合作关系的广泛拓展。
核心城市的引领作用是推动下游城市关系建构和网络整体演化的动力机制。三方节点的关系闭合特征来看,传递闭合是主要形式,聚敛闭合趋势明显。模型3和模型4分别将传递闭合性和循环闭合性、聚敛闭合性和扩散闭合性,以及上述变量的控制结构变量引入模型。传递闭合性的系数显著为正而循环闭合性的系数不显著,表明位于更高合作位势的城市i和位于较低合作位势的城市k,倾向于在中间城市j的中介作用下产生由i至k的主动技术合作关系,而不是相反。传递闭合性同时暗示了在长三角技术合作网络演进过程中,核心城市节点对下游节点的控制能力不断增强[34]60。模型4中,聚敛闭合性的系数在0.05的水平下显著为正,表明当两城市拥有共同的合作源地时,更倾向于产生技术合作关系。拥有多个共同技术合作源地的两城市,接受了源地城市的引领和组织,获取了更相近的知识或理念,建立了广泛的合作基础,从而形成了关系的闭合。扩张闭合性的系数不显著,表明拥有多个共同被动合作城市对两城市合作关系的生成作用有限,创新位势较低的城市对上游城市合作关系建立的反向构建作用不明显。
城市技术合作网络的演化呈现显著的时间依赖特征,具有保持稳定性的趋势。加入时间依赖变量后,相较模型1~模型4,模型5~模型8的AIC、BIC和Log likelihood绝对值均显著下降,表明模型的拟合优度显著上升,技术合作网络的演化受前期技术合作关系的显著影响。模型的自回归性系数显著为正,表明上一期的技术合作关系有利于下一期技术合作关系的生成,原有技术合作通道的建立为后续的技术合作创造了基础条件。而创新性的系数显著为负,表明上期网络中的未连接节点对有继续保持未连接的趋势,而不会伴随网络的演化随机产生,网络关系的建立需要城市属性、多维邻近性和其他网络结构因素的推动。
6 结论与讨论
6.1 结论
文章借鉴社会网络演化相关理论,以长三角生物医药技术为例,建立起有向加权的技术合作网络,描绘了长三角生物医药技术合作网络的空间格局和结构演化特征,并利用TERGM模型对技术合作网络演化过程中的城市属性、多维邻近性、结构与时间依赖进行了分析,结论如下:
(1)长三角生物医药技术合作网络呈现“一核三心多点”的演进模式。长三角生物医药技术合作网络以上海为核心,以南京、杭州、合肥为次中心,形成典型的核心边缘结构。高行政等级城市节点以主动技术合作为主,新兴城市以被动技术合作为主。相较浙江省和安徽省,江苏省技术合作网络发育程度较高,省域间的技术合作以“上海-江苏”“上海-浙江”为主,省域协同整体不足。
(2)长三角生物医药技术合作网络演化呈现结构与时间依赖特征。城市节点倾向于产生互惠性的双向技术合作关系,单向技术合作关系持续发育为双向技术合作关系。网络结构洞的闭合趋势明显,闭合的三方关系持续生成。网络结构在演化过程中保持稳定,节点联系的演化过程中具有显著的延续性。
(3)经济发展水平、行政力量、地理距离、城市技术特征共同影响了长三角生物医药技术合作网络的演化。经济发展有利于城市技术合作网络的演化;高行政等级赋予城市更高的合作势能,省级行政边界推动了省内合作的形成,并限制了省间技术合作关系的建立;地理距离限制了技术合作关系的生成,地理邻近对于技术合作具有正向促进作用;城市技术创新能力、城市间的技术邻近性均有利于城市(间)技术合作关系的建立。
(4)长三角生物医药技术合作网络演化受到网络内生结构的影响,并表现出时间演化上的结构依赖特征。二元节点的互惠性、核心城市的引领和非核心城市的关系扩张、三方关系的传递闭合性与聚敛闭合性是促进长三角生物医药技术合作网络演化的结构动力因素。节点联系时序上的自回归性是影响网络演化的时间依赖因素,网络联系后期特征依赖于前期特征,网络结构和节点联系特征趋于稳定。
6.2 讨论
通过定义技术合作的有向加权网络,有利于挖掘城市技术合作的位势特征和内生机制。与利用无向技术合作网络模型的相似研究[27]相比,有向技术合作网络更加精简、直观地凸显了技术合作的主要联系,避免了弱联系信息对于网络分析的干扰;同时,有向技术合作网络依据城市主动、被动合作特征,挖掘城市的引领、被引领位势特征,更为清晰地刻画了城市所处地网络位势,例如上海、南京等城市的引领位势与苏州、绍兴等新兴城市的被引领位势;此外,有向的技术合作网络为网络结构演化动力的分析提供了便利。尽管通过专利第一申请人为出节点的构建方法相比传统无向加权网络构建方式具有方向性、精简性等优势,同时也损失了大量的弱联系信息。未来需要融合更多社会网络理论、通过更多的指标来建构地理空间上的城市网络模型,如考虑不同申请人的合作权重等。
动态指数随机图的方法为理解社会网络演化的多维动力机制提供了有力工具,但就城市技术合作网络而言,模型方法与实证研究有待更好地结合。一方面,利用动态指数随机图模型对技术合作网络进行演化机制分析,实质上对网络加权边进行了二值化处理,忽略了网络边的权重差异。部分学者尝试利用最大生成树算法、设置阈值等方式削减弱联系边,从而对网络进行简化处理,以减小从个体尺度网络到城市尺度网络转换的误差[29,51],但就本文而言,网络构建的方法特点和高阶网络结构指标(几何加权形式)的运用有效降低了弱联系边对模型的干扰。伴随加权指数随机图模型[28,52]的出现与发展,未来有望利用更先进的指数随机图模型对这一演化过程进行更优化的拟合与机理揭示。另一方面,本文仅针对长三角城市技术合作网络进行了演化动力机制的探讨,对于网络演化的内生结构机制和时间依赖机制而言,不仅需要更多的网络结构指标来揭示更深层次的网络演化机理,还需要更多的实证研究去完善这一理论框架。
致谢
真诚感谢二位匿名评审专家在论文评审中所付出的时间和精力,评审专家对本文理论建构、论述细节方面的修改意见,使本文获益匪浅。
参考文献
中国城市创新技术转移格局与影响因素
DOI:10.11821/dlxb201804011
[本文引用: 2]
以国家知识产权局专利检索及分析平台中历年专利转让记录为数据源,采用大数据挖掘技术、地理信息编码技术、空间自相关模型和多元线性回归模型,并从集聚和扩散两个方面构建城市创新技术转移能力评价指标体系及评估模型,对2001-2015年中国城市技术转移的时空格局、集聚模式及影响因素进行了研究。结果发现:① 2001-2015年,随着城市创新技术转移能力的不断上升,且在参与创新技术转移的城市数量不断增加情境下,中国城市创新技术转移能力的两极分化及强集聚特征持续发育;② 中国城市创新技术转移格局经历着空间不断极化的历程,由京津冀、长三角和珠三角主导的三极格局逐渐凸显;③ 中国城市创新技术集散体系不断完善,从全球至地方的中国创新技术集散体系已初步形成;④ 中国城市创新技术转移呈现出显著的空间关联与集聚效应,4种类型基本呈“抱团”分布,城市创新技术转移的地理邻近性显著;⑤ 多元线性回归模型发现,城市创新技术的需求能力和供给能力决定其转移能力,第三产业产值规模和专利申请量对城市创新技术转移能力影响较大。另外,研发人员数量也是影响城市技术转移能力的重要因素,但是相关性较低,而城市第一产值规模对城市创新技术转移能力具有显著的阻抗作用。(注:①考虑到专利技术从申请至授权以及转移的期限较长,因此本文城市吸收、转出的专利速度主要基于1年转移量、2年转移量和5年转移量来综合评定。)
Technology transfer in China's city system: Process, pattern and influencing factors
<p>Based on the records of patent transfer from the patent retrieval and analysis platform in the State Intellectual Property Office of China, this research built an assessment index and model for technology transfer in China's city system in terms of agglomeration and dispersion, using big data mining technology, geo-coding technology, spatial autocorrelation model and multiple linear regression model. Then we studied the spatial-temporal pattern, agglomeration model and influencing factors of technology transfer in China's city system from 2001 to 2015, and obtained the following results. Firstly, with the increasing capability of city's technology transfer and the growing number of cities involved in transferring technology, the polarization and strong agglomeration of technology transfer in China's city system have been intensified. Secondly, technology transfer in China's city system has experienced a process of constant spatial polarization, the three-pole pattern led by the Beijing-Tianjin-Hebei region, the Yangtze River Delta region and the Pearl River Delta region has been gradually prominent. Thirdly, technology transfer system from global to local scale in China's city system has initially taken shape. Beijing, Shanghai and Shenzhen have become the three global centers of China in technology transfer. Fourthly, technology transfer in China's city system has produced an obvious spatial correlation and agglomeration effect. The four types are mainly in the cluster, and the geographical proximity of technology transfer in China's city system is significant. Last but not least, the influencing factors of technology transfer in China's city system were also verified by multiple linear regression model. We found that the demand and supply capacity respectively represented by the scale of tertiary industry and the number of patent applications has a great influence on the growth of technology transfer capability. In addition, the number of R & D employees is an important factor, but its correlation is low. The findings further confirm that the scale of primary industry has a significant impedance effect on city's technology transfer capability.</p>
中国城际技术转移网络的空间格局及影响因素
DOI:10.11821/dlxb201808006
[本文引用: 1]
基于2015年专利交易数据,融合数据挖掘、社会网络、空间分析等方法,从节点、关联、模块及影响因素4个方面揭示中国城际技术转移的空间格局及其影响因素:① 技术转移整体强度偏低,空间极化严重,长三角、珠三角、京津冀城市群成为技术转移的活跃地带。② 北京、深圳、上海、广州是全国技术转移网络的“集线器”,发挥城际技术流的集散枢纽和中转桥梁作用,中西部大部分城市处于网络边缘,整个网络发育典型的核心—边缘式和枢纽—网络式结构。③ 技术关联的空间层级和马太效应凸显,形成以北京、上海、广深为顶点的“三角形”技术关联骨架结构,技术流集聚在东部地带经济发达的城市之间和具有高技术能级的城市之间,中西部技术结网不足,呈现碎片化。④ 技术转移网络形成明显的四类板块(子群),具明显自反性和溢出效应,其空间聚类既有“近水楼台先得月”式块状集聚,也有“舍近求远”式点状“飞地”镶嵌。⑤ 城际技术流呈现等级扩散、接触扩散、跳跃扩散等多种空间扩散模式,其流向表现出经济指向性和行政等级指向性特征。⑥ 城市经济发展水平、对外开放程度、政策支持等主体属性和地理、技术、社会、产业邻近性的城市主体关系均会影响其技术转移强度。
Spatial pattern and influential mechanism of interurban technology transfer network in China
On the basis of patent transaction data in 2015, spatial pattern of interurban technology transfer network in China was portrayed by integrating big data mining, social network, and GIS, from the perspectives of nodal strength and centrality, linkage intensity, and modular divisions. Then, its key influencing factors were identified as well using the Negative Binominal Regression Analysis. Some findings were ontained as follows. First of all, the intensity of interurban technology transfers in China is not well distributed with obvious polarization. Those cities with higher-level technology transfers are concentrated in the three urban clusters, namely, the Yangtze River Delta, the Pearl River Delta and Beijing-Tianjin-Hebei urban agglomeration. Secondly, a typical core-periphery structure with hub-and-spoke organization is evidently observed, which consists of several hubs and the majority of cities with far lower technology transfers. Beijing, Shenzhen, Shanghai and Guangzhou are acting as the pivot of the technology transfer network and playing a critical role in aggregating and dispersing technology flows. Thirdly, technology linkage intensities of urban pairs appear to be significantly uneven with hierarchies, centralizing in the three edges from Beijing to Shanghai, from Shanghai to Guangzhou and Shenzhen, and from Beijing to Guangzhou and Shenzhen, which shapes a triangle pattern. Fourthly, the technology transfer network is divided into four communities or plates, with prominent reflexivity and spillover effects, which is resulted from geographical proximity and technological complementary. Last but not least, spatial flows of technology are co-organized by a variety of spatial diffusion modes such as hierarchical diffusion, contact diffusion and leapfrog diffusion, owing to economic and administrative powers. They are greatly influenced by urban economic scale, foreign linkage, policy making, as well as multiple proximity factors related to geographical, technological, social and industrial proximities.
中国主要城市间的创新联系研究
DOI:10.13249/j.cnki.sgs.2015.01.30
[本文引用: 1]
对国内外城市创新联系综述及理论分析的基础上,通过一组测度指标,界定了城市外向创新联系规模,采用引力模型,测度了中国主要城市间的创新联系强度及格局。研究表明:中国主要城市创新联系格局基本为东强西弱,东部地区城市创新联系格局显现出以上海、南京、杭州为顶角,以北京、天津,以广州、深圳为2个底角的创新联系“金三角”。城市创新联系在空间上呈现明显的等级性:北京、上海、广州、深圳、天津、重庆等与中国的许多城市有广泛的创新联系,具有全国创新影响力;南京、杭州、武汉、郑州、济南、青岛、大连、西安等成为地区性的城市创新联系节点,具有区域性的创新影响力。在创新联系较强的东部沿海主要的经济圈,珠江三角洲经济圈城市间创新联系最强,但外向辐射力有限;长江三角洲经济圈内部创新联系较强,并与环渤海经济圈有较强的创新联系, 环渤海经济圈内部北京、天津、唐山具有较强的创新联系,外向辐射以长江三角洲的城市为主。对中国创新联系格局规律的揭示,更进一步强化了中国创新城市体系中城市的作用,并为规划与建立中国创新都市圈提供依据。
The innovation linkage among Chinese major cities
Inter-urban linkage is traditional research field of urban geography. With the increasing importance of innovation in city, inter-urban linkage of innovation has aroused the interesting of numerous sholars, some of which have examined the field through direct surveyed approach by co-author published papers or co-author patents granted, however, this approach is limited because it lacks data of the inter-urban and the rusults of survey may not present the comprensive inter-urban innovation situation of the cities. Therefore, we employ a indrect approach, using revised gravity model to map the pattern of inter-urban innovation linkage of Chinese major cities. China takes constructing the innovation country as the core strategy, and urban innovation as the core contents of national innovation system, so urban innovation linkage is an important part of China’s national innovation system. However, a number of issues, such as the current sitation of urban innovaiton linkage, and the pattern and laws of inter urban innovation have rarely been studied. This article will try to study the inter urban innovation linkage among major Chinese cities so as to find innovation source cities and innovation nodes cities in urban innovation system and the general pattern of the inter urban innovation, to promote the complementary and optimization of urban innovation function and to plan the circle of China urban innovation. Based on the review of the literatures of innovation linkage and theoretical analysis, through establishing a set of measureement of index, this article defines ourward innovation linkage of scale and measures innovation linkage and innovation pattern among Chinese major cities. The research shows: 1) the general pattern of urban innovation linkage in East China is stronger and that in West China is weak, and a "Golden Triangle innovation linkage" pattern has formed in the coastal area of China, which takes Shanghai, Nanjing and Hangzhou as the vertex, while Beijing-Tianjin and Guangzhou-Shenzhen as two points. 2) the city innovation linkage presents obvious hierarchy, the cities, such as Beijing, Shanghai, Guangzhou, Shenzhen, Tianjin and Chongqing have national innovation influence with extensive innovative linkage with the other cities in China, while cities, such as Nanjing, Hangzhou, Wuhan, Zhengzhou, Jinan, Qingdao, Dalian and Xi'an have regional innovation influence. 3) in terms of the East Coastal main economic circle in China, the Zhujiang River Delta economic circle has the strongest internal innovation linkage, but less outward innovation radiation; the Changjiang River Delta economic circle has very strong internal innovation linkage with strong external innovation linkage with the cities of Huan Bohai economic circle, while the cities of Beijing, Tianjin and Tangshan have very strong innovation linkage, and with strong outward radiation to the Changjiang River Delta economic circle. This article examines the general innovation linkage pattern among Chinese major cities considering two important elements of distance among cites and scale of urban innovation, but some elements, such institution and policies which may influence the innovation linkage have not been examined, it will be put consideration in future studies.
中国城市创新网络的时空复杂性及生长机制研究
DOI:10.13249/j.cnki.sgs.2018.11.003
[本文引用: 1]
以国家知识产权局专利转让记录为数据源,采用大数据挖掘与分析技术、空间分析技术、复杂网络模型和负二项回归模型,系统描绘了2001~2015年中国城市创新网络的拓扑结构、空间结构和生长机制。研究发现:① 中国城市创新网络规模迅速扩张,在两极分化下涌现出显著的小世界性和等级层次性,以北京、上海、深圳为核心的核心-边缘格局不断强化;② 以三角结构为基础的中国城市创新网络的四边形格局逐渐形成,京津、长三角、珠三角是中国城市专利转移的核心三角;③ 中国城市创新网络的生长与城市科技创新实力显著相关,且受到地理距离的阻抗作用,凸显出强烈的地理邻近性,另外城市经济发展水平相似度和产业结构相似度也是影响城市创新网络生长的重要因素。
Spatial-temporal complexity and growth mechanism of city innovation network in China
At present, China’s city innovation system is gradually taking shape. As the core component of innovation resources, innovative technology represented by patents has become the focus of competition among all cities. Its gathering and diffusion channels urgently need to build a compatible city technology transfer system. The construction of a national technology transfer system in line with the law of science and technology innovation, the law of technology transfer and the law of industrial development is an inevitable choice for serving the strategy of innovation development. Based on data mining from National Intellectual Property Office of China, the heterogeneities and its evolution characteristics of city innovation network depicted by patent transfer in topology and space from 2001 to 2015 were sketched using lots of visualizing tools such as Pajek, Gephi, VOSviewer, ArcGIS, and so on. Topologically, from 2001 to 2015, with the increasing number of cities involved in technology transfer, China city innovation network has emerged a significant small-world feature with the smaller average path length and the extremely large cluster coefficient compared to its counterpart. In addition, the entire network presents a core- periphery structure with hierarchies, which dominated by Beijing, Shanghai and Shenzhen. Spatially, the quadrilateral pattern of China city innovation network based on the triangular structure is gradually formed. Last but not least, the growth mechanism of city innovation network were also verified by correlational analysis, negative binomial regression approach and gravity model of STATA. The growth of city innovation network in China is significantly related to the technological innovation strength represented by the number of patent application. The findings further confirm that geographical distance has weakened cross-city patents transfer. Meanwhile, the similarity of economic development and industrial structure between cities are also important factors influencing the growth of city innovation network.
网络视角下中国十大城市群区域创新模式研究
DOI:10.13249/j.cnki.sgs.2019.06.005
[本文引用: 3]
从地理开放、区域协同和创新能力3个维度构建理论分析框架,基于网络视角刻画2015年中国十大城市群的区域创新特点,并据此划分城市群的区域创新模式。研究表明,中国十大城市群的区域创新模式存在显著差异。长三角、京津冀和珠三角城市群已具有较好基础,海西城市群缺乏高水平的内部协同,长江中游和成渝城市群过度依赖外部联系,北部湾城市群拥有较明显的核心-边缘内部网络结构,哈长、中原和关中城市群各维度评价均不高,区域创新模式最差。
Regional innovation models of China's ten major urban agglomerations from the perspective of network
The urban agglomeration has become an important carrier of gathering element resources and innovation activities because of its strong ability to integrate resources, make up for insufficient innovation ability of a single city and overall location advantage. As innovation space has changed from "local space" to "mobile space", the innovation has changed from linear mode to network mode. A city does not innovate alone, but through a series of complex interactions with regional and cross-regional cities. Therefore, regional and interregional innovation networks of urban agglomeration are important aspects of the process of innovation. The rise of network approach endows innovation with new perspective of multi-scale spatial coupling and enriches the connotation of regional innovation model. In this article, theoretical analysis framework is constructed from three dimensions of geographical opening, regional coordination and innovation ability based on the network perspective. We depict the characteristics of regional innovation and classify the regional innovation model of China’s ten major urban agglomerations into eight types. The result shows that there are significant differences in the regional innovation model of urban agglomerations. The urban agglomeration in the Yangtze River Delta, Beijing-Tianjin-Hebei and the Pearl River Delta has a good foundation. The Haixi urban agglomeration lacks high level internal coordination, the urban agglomeration in the middle reaches of the Yangtze River and Chengdu-Chongqing rely heavily on the external connections. The Beibu Gulf urban agglomeration has an obvious core-edge internal network structure, and the Hachang, Zhongyuan and Guanzhong urban agglomeration is not good in each dimension evaluation, this regional innovation model is the worst. Accurate judgement of the development status and regional types of urban agglomeration is very important for promoting and directing regional development. The conclusions of this study give specific policy guidelines for the future development of different types of urban agglomerations in China. The Yangtze River Delta, Beijing-Tianjin-Hebei and the Pearl River Delta urban agglomeration has good foundation. But, the Beijing-Tianjin-Hebei urban agglomeration should strengthen their internal relations except Beijing and Tianjin, and the external relations of the urban agglomeration in the Pearl River Delta should be further complemented; The Haixi urban agglomeration should actively promote its internal linkages between inland cities and coastal cities to promote the level of coordination. The promotion of technology transfer and diffusion in this region would accelerated the completion of the fourth largest urban agglomeration in China; The urban agglomeration in the middle reaches of the Yangtze River, Chengdu-Chongqing and Beibu Gulf have different outstanding advantages and disadvantages, these regions should base on their own reality, avoid the shortcoming and break through the higher form of the current path to the urban agglomeration. The Ha Chang, Zhongyuan and Guanzhong urban agglomeration although adjacent to each other in space, there is no close relationship between them for various reasons. Construction of regional innovation system of these urban agglomerations focus on planning and designing, fostering at the present stage is early in fashion. Actually, this article is not involve the mechanism of network effects on urban agglomeration innovation mode. Therefore, we would combine qualitative analysis to explore in future.
Globalization and the rise of city-regions
全球科研论文合作网络的结构异质性及其邻近性机理
DOI:10.11821/dlxb201704014
[本文引用: 2]
以科研论文为媒介的知识合作网络已成为知识溢出的重要通道,但目前学术界对全球科研合作网络结构的复杂性涌现机制缺乏深入的探讨。基于2014年Web of Science核心合集所收录的科研论文合著数据,借助大数据挖掘技术、复杂网络、空间统计和重力模型分析,刻画了全球科研论文合作网络的拓扑结构、空间格局及其邻近性机理。结果发现:① 拓扑结构上,形成了以美国为核心的层级网络,具有小世界性和等级层次性,发育出典型的等级“核心—边缘”结构。② 空间格局上,以美国、西欧、中国和澳大利亚为顶点的“四边形”成为全球科研论文合作网络的骨架;三大中心性指标值的空间分异明显,强度中心性形成以美国为极核,加拿大、澳大利亚、中国及西欧诸国为次中心的“一超多强”格局,与之类似的介数中心性呈现北美、西欧和东亚“三足鼎立”的形态,度中心性分布则相对均匀,表现出“大分散、小集中”的“多中心—边缘集散”格局。③ 重力回归分析发现,地理距离抑制了国际科研论文合作,不过其影响力较弱;社会与经济邻近性对全球科研论文合作具有明显的促进作用,语言差异不是国际科研合作交流的障碍。
Structural heterogeneity and proximity mechanism of globalscientific collaboration network based on co-authored papers
Despite increasing importance of academic papers in global knowledge flows, the structural disparities and proximity mechanism related to international scientific collaboration network attracted little attention. To fill this gap, based on data mining from Thomson Reuters' Web of Science database in 2014, its heterogeneities in topology and space were portrayed using visualizing tools such as Pajek, Gephi, VOSviewer, and ArcGIS. Topologically, 211 countries and 9928 ties are involved in global scientific collaboration network, but the international network of co-authored relations is mono-centricand dominated by the United States. It exhibits some features of a "small-world" network with the smaller average path length of 1.56 and the extremely large cluster coefficient of 0.73 compared to its counterpart, as well as the better-fitting exponential distribution accumulative nodal degree. In addition, the entire network presents a core-periphery structure with hierarchies, which is composed of 13 core countries and the periphery of 198 countries. Spatially, densely-tied and high-output areas are mainly distributed in four regions: West Europe, North America, East Asia and Australia. Moreover, the spatial heterogeneity is also observed in the distributions of three centralities. Amongst these, the countries with greater strength centrality are mainly concentrated in North America (i.e. the US and Canada), Western Europe (i.e. the UK, France, Germany, Italy and Spain), and China, noticeably in the US, which forms the polarizing pattern with one superpower of the US and great powers such as China and the UK. Similarly, the big three regions consisting of West Europe, North America and Asian-Pacific region have the peak betweenness centrality as well. Slightly different from the two above, the distribution of nodal degree centrality is uneven in the world, although regional agglomeration of high-degree countries is still observed. Last but not least, the proximity factors of its structural inequalities were also verified by correlational analysis, negative binomial regression approach and gravity model of STATA. The findings further confirm that geographical distance has weakened cross-country scientific collaboration. Meanwhile, socio-economic proximity has a positive impact on cross-country scientific collaboration, while language proximity plays a negative role.
基于专利转移网络视角的长三角城市群城际技术流动的时空演化
Spatio-temporal evolution of interurban technological flow network in the Yangtze River Delta urban agglomeration: From the perspective of patent transaction network
Taking the Yangtze River Delta Urban Agglomeration as an example, based on the perspective of patent transaction network and applying the big-data mining technology, social network analysis and GIS, this paper describes the regular laws of the spatiotemporal evolution of the interurban technological flow network systemically. The results are obtained as follows: First, enterprise is the main body of interurban technological transfer, while universities and institutes play a minor role in the patent transferring relationship. Besides, technological transfer tends to generate in an internal system, instead of spillovers outside. What's more, the patent related to appearance designs is less than innovative patent and utility-oriented patent. Second, as the diffusion centers of the interurban technological flow network under a hub-and-spoke organization, Shanghai, Hangzhou, Nanjing and Suzhou make a transfer from technical convergences to technical centers. Furthermore, Hefei, Nantong and Jiaxing become the main technological absorbers. Third, two diffusion models in the interurban technological flow network are observed. One is hierarchical diffusion model from hubs towards lower-tier cities or sub-centers. The other is contacting diffusion models and technological flows have emerged between those neighboring city pairs because of spatial proximity. Fourth, interurban technological transfers are not well distributed. Under the Matthew Effect, the dynamics of the technological flow network is self-organized with the coupling mechanism including place dependence and path creation. Finally, the spatial evolution of the network presents an evolutionary law from discrete homogeneity with single core (e.g., Shanghai) to dual-hub driven pattern (i.e., Shanghai and Suzhou) to multi-core network with a hub-and-spoke system (e.g., Shanghai, Suzhou, Hangzhou and Nanjing).
“一带一路”视角下城市技术合作网络演化特征与影响因素研究
DOI:10.11821/dlyj020200333
[本文引用: 5]
采用2007—2018年的PCT专利合作数据,基于“一带一路”视角,分段刻画城市技术合作网络的拓扑结构、空间格局及其时空演化,利用负二项回归方法分析其演化的邻近性机理,结果表明:① 拓扑结构方面,网络整体规模经历了从“规模扩大”到“联系增强”的演化过程,中国城市逐渐占据网络的核心层级。② 空间格局方面,“一带一路”城市之间的合作多为国家内部合作,来自同一国家的城市在选择外部合作伙伴时具有一定的相似性。新加坡是“一带一路”内部网络和对外网络的枢纽节点。③ 影响机制方面,合作城市的质量对合作具有显著正向作用,地理邻近性和经济邻近性具有显著负向作用,社会邻近性、认知邻近性和语言邻近性具有显著正向作用,而地理邻近性与经济邻近性、地理邻近性与语言邻近性具有相互补充作用。
The spatio-temporal evolution and influencing factors of urban technical corporation networks: From the perspective of Belt and Road
China proposed the Belt and Road Initiative (BRI) to facilitate the economic development of the Belt and Road (B&R) region. In the vision of BRI, countries will utilize their comparative advantages to foster cultural and educational exchanges, build scientific and technological platforms, enhance relevant institution for long-term and stable scientific and technological collaboration, and elevate innovation abilities. As a result, B&R technological transfer networks can be constructed. At the same time, the integration of regional innovation can be achieved. However, within the B&R region, except a few developed countries, most countries are still developing or less developed. These countries sometimes show quite different evolutionary mechanism from the developed ones. Therefore, research on B&R technical corporation networks has both pragmatic and theoretical meanings in boosting the development of B&R countries. Under the background of knowledge economy, technology innovation becomes the key to regional economic development. Cities are the main platform of technology activities. So in order to explore the technology activities in and outside B&R region, we investigate the PCT patent data from 2007 to 2018. The inner and outer B&R technical corporation networks are constructed to present the topological structure and spatial distribution of the technical corporation activities. The negative binomial regression is used to detect the dynamic mechanism from the perspective of the proximity theory. The results show that in terms of topological structures, the networks evolve from Scale Extension to Linkage Enhancement stage. Chinese cities gradually reach the core position. In terms of spatial distribution, most linkages between B&R cities are domestic. Meanwhile, cities from the same country show similar pattern of choosing outer corporation partners. Singapore is the most important hub in both inner and outer B&R networks. We find that the mass of cities has significant impact on corporation. Geographical proximity and economic proximity have the significant negative impact, while social proximity, technology proximity and language proximity have the significant positive impact. In addition, geographical proximity and economic proximity have complementary effects as well as geographical proximity and language proximity.
中国高学历流动人口流动的空间特征及形成机制
DOI:10.11821/dlyj020220122
[本文引用: 1]
进入创新驱动发展的新时代,未取得流入地户籍的高学历流动人口成为各地竞相引进的重要资源。本文基于2017年中国流动人口动态监测数据,结合探索性空间数据分析等方法精细刻画高学历流动人口流动的空间格局,并借助嵌套Logit模型揭示其空间选择机制。结果发现:① 中国高学历流动人口不断集聚,形成以京、沪为核心的流动网络;各城市流出的人口中高学历人才占比在空间上具有明显的“东高西低、北高南低、中部塌陷”特征,但各城市吸引的流动人口受教育水平在南北方向上的空间分异较小;高学历流动人口流动的空间依赖性显著,呈现出城市群的雏形。② 在机制方面,个体因素对高学历流动人口的空间选择影响更大;其普遍表现出近距离、跨级别向上流动的倾向;学历越高、户籍所在地行政等级越高、50岁以下年龄越大的人才越倾向于流入一线城市。③ 城市特征变量中,经济因素变量如工资水平、第三产业占比等和地方品质变量如公共服务、高等教育、空气质量等均对高学历流动人口的空间选择具有显著的正向作用。本研究为不同城市制定人才引进政策、促进城市高质量发展提供了实证依据和科学参考。
Spatial mobility pattern of highly educated migrants and its mechanisms in China
Entering a new era of innovation-driven development, fierce competition among Chinese cities for highly educated migrants who have not yet obtained a local hukou has intensified in recent years. Despite the increasing literature exploring the spatial distribution of highly educated talents and its underlying determinants, little attention has been paid to highly educated migrants, who may have different spatial choices and be influenced by different factors due to absence of a local hukou. Based on the 2017 China Migration Dynamics Survey, this paper utilizes social network analysis and spatial statistics to finely depict the spatial pattern of highly educated migrants and reveals underlying mechanism with Nested Logit Model. The results are as follows: (1) The highly educated migrants continue to agglomerate, shaping a migration network with Beijing and Shanghai as the cores. The ability of each city to contribute highly educated migrants displays an obvious trend of "high in the east and low in the west, high in the north and low in the south, and collapse in the middle" while the spatial differentiation of the attractiveness to highly educated migrants between the north and the south is not marked. The spatial autocorrelation of the flow of highly educated migrants between cities is significant, demonstrating the prototype of the urban agglomerations. (2) In terms of underlying mechanism, individual factors have a stronger influence on the spatial choice compared with city attributes. Highly educated migrants tend to choose neighboring cities with higher hierarchy. Those who are equipped with higher educational attainment level, hold local hukou in bigger cities, and are older (under the age of 50) tend to choose the first-tiered cities. (3) As for the city attributes, economic opportunities including annual wage, the proportion of tertiary industry, as well as amenities including public services, higher education scale, air quality, are all significantly positively correlated with the migrants' spatial choice. This study provides an empirical evidence and references for different cities to formulate talent policies and promote high-quality development.
中国城市尺度科学知识网络与技术知识网络结构的时空复杂性
DOI:10.11821/dlyj201503011
[本文引用: 2]
知识在产业集聚、区域创新中的地位越来越突出,城市知识储量及其在区域知识网络中的地位对城市的综合竞争力有重要影响。学术论文合作与专利合作是知识溢出的体现形式,是科学和技术发展的重要成果,也是度量区域创新能力的主要指标。以2000-2009年中国生物技术领域合著论文和共同申请专利的信息为原始数据,分别构建中国城市间科学知识网络(scientific knowledge network,SKN)与技术知识网络(technological knowledge network,TKN)。运用复杂网络与地学空间分析方法,从整体网络结构特征、择优链接性、中心城市及其自我网络的空间特征等方面进行分析,探究知识溢出的时空复杂性。研究表明:①SKN和TKN具有无标度网络特征;SKN节点度数的异质性高于TKN。②两种网络均呈异配性,即城市选择合作对象存在明显择优链接性,知识溢出具有粘着性和空间依赖性。③SKN中心城市具有明显的等级结构,空间分布总体呈“大分散小集聚”特点;TKN中心城市层级结构不明显,尚未形成明显极化中心。④SKN中心城市自我网络的合作空间,由最初的沿海省会城市间的合作转向长三角、珠三角、京津冀等区域间和沿海城市与内陆城市间的合作,区域间知识溢出明显;TKN中心城市自我网络仍多分布于沿海城市和少数中西部省会城市,区域间知识溢出不明显。⑤SKN中心城市及其自我网络的时空演变存在等级扩散和传染扩散的现象,符合时空梯度推移规律,且空间等级梯度逐渐向扁平化转变;TKN中心城市及其自我网络的时空演变以等级扩散为主,时空梯度推移现象不明显。研究结论为量化知识溢出及知识溢出网络结构的时空演化过程提供新的研究视角,对城市创新政策的制定有一定借鉴意义。
Spatial and temporal complexity of scientific knowledge network and technological knowledge network on China's urban scale
With the rise of the knowledge-based economy in the 1980s, knowledge (including code and tacit knowledge) as the backbone of innovation has become a key factor affecting production process. Cities have gathered not only a large number of professionals, universities and research institutions, but also a great many producers and consumers, which provides the premise for the innovation actions. City's knowledge storage and its position in the regional knowledge network play an important role in comprehensive competitiveness. Published papers and patents are main outcomes of innovation, which are used to evaluate the urban innovation capability. Moreover, co-publications and co-patents are not only the form of knowledge spillover, but also the key indicators to measure regional innovation. Taking the co-publication and co-patent in the field of biotechnology in China during 2000-2009 as the original data, we built scientific knowledge network (SKN) and technological knowledge network (TKN) between cities. From the perspective of complex networks and geospatial analysis, we explored the temporal and spatial complexity of knowledge spillovers combining the indicators of whole network structure, ego network, power-law, hubs and so on. The results show that: firstly, the nodes degree distribution of SKN and TKN is consistent with the power-law distribution, which means that the both networks not only have a scale-free network structure, but also present a preferential attachment rule when the cities choose the cooperation partner. Secondly, central cities have an obvious hierarchical structure, and are featured by a "big scattered and small gathering" spatial pattern in SKN, while the TKN is not showing this feature. From the view of central city ego network, the cooperation develops between the coastal capital cities at first, and then turns to inter-regional cooperation, such as Yangtze River Delta, Pearl River Delta, and inter-regional knowledge spillovers is obvious in SKN. The central cities and its partners are still in the coastal city instead of western provincial capitals, and inter-regional knowledge spillovers are not significant in TKN. Thirdly, the temporal evolution of central cities and its ego-network presents hierarchical diffusion and contagious diffusion, and conforms to law of grades process in SKN. The TKN is dominated by hierarchical diffusion. Finally, this study draws conclusions on the temporal and spatial complexity of innovation network, which has a positive impact on quantifying spatial knowledge spillovers and measuring its space-time evolution. Besides, the results clarify the status of each city in innovation networks, which provides a new perspective for the cities to formulate innovative policies.
中国城市知识创新网络的演化特征及其邻近性机制
DOI:10.18402/resci.2022.07.14
[本文引用: 6]
在开放式创新模式下,分析中国城市间知识合作创新的网络结构并探讨其背后的邻近性机制对提高城市创新效率、推进国家创新体系建设具有重要意义。本文基于中国285个地级及以上城市间论文合作发表和专利联合申请的截面数据,综合构建了2011年和2019年中国城市知识创新网络,分析其结构演化特征,并采用多元回归的二次指派程序(MRQAP)从邻近性视角探讨其演化机制。结果表明:①2011—2019年中国城市知识创新网络密度增强,择优链接弱化,呈现出多中心发展趋势,合作格局由北京和上海主导转变为北京上海引领与区域中心带动相结合,从而形成多个区域网。②城市间知识合作创新除了受城市经济水平、科教支持力度、行政等级的正向影响外,也受地理、组织、文化、社会、制度邻近的显著促进,邻近性机制对中国城市知识创新网络演化具有较强解释力。③不同维度邻近性对城市知识创新网络的影响是动态的和交互的,过度的地理、社会、认知邻近会阻碍城市间知识合作创新,认知邻近可弥补地理距离,而社会邻近往往伴随着地理邻近。在此基础上,针对中国创新型城市建设和城市协同创新发展提出相关政策建议。
Evolutionary characteristics and proximity mechanism of intercity knowledge innovation networks in China
Against the backdrop of open innovation system, analyzing the structures of China’s intercity knowledge innovation networks and exploring the underlying proximity mechanism are of great significance for improving the efficiency of urban innovation and promoting the construction of the national innovation system. Drawing on the collaborative publications and patents data of 285 cities at the prefecture level and above in China, this study examined the intercity knowledge innovation networks for 2011 and 2019 through summing up publication and patent collaboration networks by weights, and analyzed the structural characteristics and spatiotemporal evolution of the networks. Furthermore, the multiple regression quadradic assignment procedure (MRQAP) model was employed to explore the evolutionary mechanism of the networks from the perspective of proximity. The results show that: (1) The density of China’s intercity knowledge innovation networks increased from 2011 to 2019. The networks presented declined preferential attachment but increased polycentric development. The intercity collaborative patterns transformed from being dominated by Beijing and Shanghai to being led by Beijing and Shanghai and supported by regional centers, forming multiple regional sub-networks. (2) In addition to being positively influenced by urban economic level, technology and education expenditures, and administrative level, intercity knowledge collaboration was also significantly promoted by geographical, organizational, cultural, social, and institutional proximities. The proximity mechanism could well explain the evolution of China’s intercity knowledge innovation networks. (3) The impacts of different proximities on the intercity knowledge innovation networks were dynamic and interactive. Excessive geographical, social, and cognitive proximities could hinder the collaboration between cities. Cognitive proximity could compensate geographical distance while social contacts were frequently located in geographical vicinity. On these bases, policy recommendations were proposed for the construction and coordination of innovative cities.
京津冀科技合作网络的演变特征及影响因素
DOI:10.11821/dlxb202206005
[本文引用: 6]
构建层次分明、结构合理的科技合作网络对于推动京津冀协同创新具有非常重要的作用。本文从基于知识创新的科研合作网络和基于技术创新的技术合作网络的角度,使用合作论文和合作专利数据,采用社会网络分析法对2013—2018年京津冀地区地级及以上城市之间科技合作网络的演变特征进行了分析,并基于半参数估计和面板计量模型实证检验了影响京津冀78个城市对之间科技合作的主要因素。主要结论为:① 京津冀科研合作网络快速成长,呈现北京与天津双核引领,以京津为主轴、京保石为次轴的空间结构。② 京津冀逐渐形成了以北京为主中心,天津、石家庄为次中心,廊坊、保定、沧州为三级枢纽,其他城市为节点的技术合作网络结构。③ 空间距离越近的城市之间越容易产生科技合作,高铁开通带来的时空距离压缩可以减弱科技合作的空间衰减系数;相对于科研合作,技术合作对于空间距离更为敏感;技术邻近性是促进城市间科技合作的主要驱动因子,尤其是对技术合作的促进效应更为明显;经济发展差距越小的城市之间相对容易产生技术合作。
Evolutionary characteristics of science and technology cooperation network of Beijing-Tianjin-Hebei region and its influencing factors
Building a hierarchical and reasonable structured science and technology cooperation network plays a very important role in promoting collaborative innovation in Beijing-Tianjin-Hebei region (BTH). This paper analyzes the evolutionary characteristics of the science and technology cooperation network between cities in the BTH during 2013-2018 from two perspectives: the research cooperation network based on knowledge innovation and the technology cooperation network based on technology innovation. This paper uses micro data of collaborative papers and collaborative patents and applies social network analysis to examine the evolutionary characteristics of the science and technology cooperation network between cities in the BTH from 2013-2018, and empirically tests the influence of 78 pairs of city in the study area on the science and technology cooperation based on panel econometric model factors. The main conclusions can be drawn as follows. First of all, the rapid growth of the research cooperation network of the BTH presents a spatial structure characterized as the twin cores of Beijing and Tianjin, with Beijing-Tianjin as the main axis and Beijing-Baoding-Shijiazhuang as the secondary axis. Second, the BTH gradually formed a technical cooperation network structure with Beijing as the main center, Tianjin and Shijiazhuang as secondary centers, Langfang, Baoding and Cangzhou as tertiary hubs, and other cities as nodes. Finally, small distance plays a positive role in science and technology cooperation between cities, and the compression of spatial and temporal distance brought by the operation of high-speed rail can weaken the spatial attenuation coefficient of science and technology cooperation. Compared with research cooperation, technical cooperation is more sensitive to spatial distance. Technological proximity is the main driving factor for promoting science and technology cooperation between cities, especially the promoting effect on technological cooperation is more obvious. The smaller the gap of economic development, the easier it is to generate science and technology cooperation cooperation between cities.
中国城市创新网络演化特征及多维邻近性机制
Characteristics, evolution and mechanism of inter-city innovation network in China: From a perspective of multi-dimensional proximity
城市技术创新与合作对绿色发展的影响研究: 以长江经济带三大城市群为例
DOI:10.11821/dlyj020220604
[本文引用: 3]
知识经济时代技术创新与合作是引领绿色发展的重要动力,但当前技术创新与合作对城市/区域绿色发展的作用尚不明晰。以长江经济带三大城市群为案例区域,通过构建绿色发展的综合评价指标体系,分析2006—2018年间各城市技术创新与对外技术合作以及绿色发展的时空演化格局,运用空间面板杜宾模型探究城市技术创新与对外技术合作对城市绿色发展的影响及其空间效应。研究发现:① 长江经济带城市群的技术创新与对外技术合作能力以及绿色发展水平在研究期内均显著提升,同时在群间和群内存在较大的空间差异,下游城市群及高等级城市往往具有较高水平。② 城市技术创新对绿色发展的总体影响呈“U”型关系,而城市对外技术合作对绿色发展的总体影响则呈显著正相关。③ 长江经济带三大城市群的城市技术创新与对外技术合作对绿色发展影响的空间效应具有显著差异。长三角城市群很大程度上发挥了技术创新与合作对本地和周边城市绿色发展的促进作用,整体实现了区域绿色协同发展,但长江中游和成渝城市群的大多数城市尚未实现技术创新与合作对本地和周边城市绿色发展的推动作用。研究认为在科技创新高度一体化的城市群,城市的技术创新与对外技术合作均对绿色发展产生正向群体效应,而发展中的城市群应努力度过创新的“黑暗期”,尽早跨过技术创新与绿色发展关系的“门槛值”,并大力提升对外技术合作水平。
The effect of urban technological innovation and cooperation on green development: A case study of the three urban agglomerations in the Yangtze River Economic Belt
In the era of knowledge economy, technological innovation and cooperation are the important driving forces for green development. However, the interaction mechanisms between them are still unclear. Taking the three urban agglomerations of Yangtze River Economic Belt as examples, we constructed a comprehensive indicator system on evaluating green development to analyze spatio-temporal evolution pattern of technological innovation, external technological cooperation and green development in each city from 2006 to 2018. Using the spatial Durbin model with panel data, we explored the effect of the technological innovation and external technological cooperation on urban green development and regional heterogeneity. The results show that: (1) The technological innovation, external technological cooperation and level of green development of urban agglomerations in the study area improved significantly during the study period, and there were large spatial differences among and within agglomerations. The Yangtze River Delta urban agglomeration and high-level cities tended to have better performances in all aspects. (2) The overall effect of urban technological innovation on green development shows a U-shaped relationship, and the relation between external technological cooperation and green development is significantly positive. (3) Among the three urban agglomerations, the spatial effects of urban technological innovation and external technological cooperation on green development are significantly different. In the Yangtze River Delta urban agglomeration, technological innovation and external cooperation have performed an important role in promoting green development for itself and surrounding cities, realizing a coordinate regional green development. A large number of cities in the Middle Yangtze River and Chengdu-Chongqing urban agglomerations do not promote green development through technological innovation and cooperation, while not promote their surrounding cities either. This study shows that in the urban agglomeration with highly integrated technological innovation, the technological innovation and external technological cooperation generate positive group effect on green development. The developing urban agglomerations should make efforts to overcome the “dark period” of innovation, cross the “threshold” of technological innovation with green development as soon as possible, and improve the level of external technological cooperation vigorously.
中国城市群技术知识多中心性演化特征及创新效应
DOI:10.11821/dlxb202302002
[本文引用: 2]
技术知识多中心性是多中心性在知识创新方面的表征,是城市群技术知识生产与合作的空间结构反映,对城市群创新与高质量发展具有重要作用。本文运用2000年、2005年、2010年、2015年、2019年中国293个城市的专利申请和城市间专利合作数据,采用多中心性测度、工具变量和面板门槛模型等方法,对19个城市群技术知识多中心性的时空演化特征、类型演替趋势与创新产出效应进行分析,研究发现:① 城市群形态和功能多中心性的演化过程差异明显,形态多中心性总体呈现“降低—升高—再降低”波动发展,而功能多中心性总体呈现“从低到高”递增发展。② 高形态—高功能型的城市群创新水平总体较强,低形态—低功能型的城市群创新水平总体较低;分布呈现出形态多中心性多年持续分散,而功能多中心性呈现从较低功能多中心性向较高功能多中心性显著推进趋势。③ 模型结果显示城市群形态多中心性与创新产出呈现倒“U”型关系,拐点值为0.438;功能多中心性则与创新产出始终保持正相关关系,证实城市间创新合作对城市群整体创新产出的重要性。研究得出的城市群创新多中心性发展规律可为城市群创新发展战略制定提供研究支撑。
The evolutionary characteristics and innovation effects of technological knowledge polycentricity in Chinese urban agglomerations
Technological knowledge polycentricity is a measure of the degree of polycentricity present in knowledge innovation; it can be used to model the spatial structure of technological knowledge production and cooperation within urban agglomerations, and can thus be used to gauge the level of innovation and the quality of development in an urban agglomeration. Drawing on patent application and inter-city patent cooperation data for 293 cities in China in the years 2000, 2005, 2010, 2015, and 2019, we used polycentricity measures, instrumental variables, and panel threshold models in order to explore the spatiotemporal evolution characteristics, type evolution trends, and innovation output effects of technological knowledge polycentricity in 19 urban agglomerations. Our results show that: (1) The evolution of the morphological and functional polycentricity of technological knowledge differs significantly between agglomerations—whilst morphological polycentricity showed a fluctuating trend (whereby a decline was followed by an increase and then a further decrease); in fact, we found functional polycentricity to have gradually increased over the study period. (2) Urban agglomerations with high morphological and functional polycentricity values were found to maintain higher innovation levels, while low morphological and functional polycentricity could be linked to lower innovation levels; the results of the type of distribution analysis, further, show that while morphological polycentricity did not present any obvious concentration or evolution trends over the study period, functional polycentricity increased significantly. (3) The modeling results show that the relation between the morphological polycentricity of urban agglomerations and urban innovation outputs has an inverted U-shaped relationship, with an inflection point at the value 0.438; functional polycentricity, in contrast, was found to maintain a consistently positive relationship with innovation outputs, confirming the importance of inter-city innovation cooperation when it comes to urban innovation output. Our conclusions on the development pattern of technological knowledge polycentricity can provide theoretical support for the formulation of innovation development strategies in urban agglomerations.
知识流动空间的城市关系建构与创新网络模拟
DOI:10.11821/dlxb202004004
[本文引用: 1]
知识经济时代城市间的创新关系是新时代城市间相互作用关系的新内涵,研究者尝试采用各种方法探索城市间创新关系及其网络特征。然而,如何从理论上建构知识流动空间的城市间创新关系?如何设计更加合理的城市间创新网络模拟方法?这些问题却少有专门探讨。基于相关研究,本文提出了城市间创新关系构建的理论框架,认为城市间创新网络本质上是区别于“硬网络”的“软网络”,是一种主观的关系建构过程,需要经过异城创新主体间的点—点关系向城—城之间关系的尺度转换,这一转换过程容易发生夸大或偏离城市间客观存在的创新关系,对结果的精确度产生很大影响,应对关系建构给予充分理论论证;本文论述了4种城市间创新关系建构和网络模拟方法,包括科技成果异城合作的城市间无向网络构建方法、科技成果转让转移的城市间有向网络构建方法、高端人才跨城移动的城市间创新网络建构方法和创新企业机构多城分布的城市间创新网络建构方法,并运用相关数据进行了模拟试验与结果展示,来反映城市间创新关系的不同方面。本研究有助于推动从城市地理学视角和城市关系的维度探讨全球/区域的创新空间格局,为城市间创新网络研究提供理论和方法支撑。
The theoretical construction and network simulation of intercity innovative relationships in knowledge flow space
The interactive relationships between cities in the knowledge economy era have attracted much attention. Researchers have applied a range of methods to explore intercity innovative relationships and associated network characteristics. It nevertheless remains unclear just how intercity innovative relationships can be theoretically constructed based on knowledge flow space and how further scientific simulation methods can be designed. Research questions in this area have rarely been explored in detail, an issue which has inevitably placed obstacles on further exploration. A framework for the theoretical construction of intercity innovative relationships is presented in this study; the basis for this research is that an intercity innovation network is essentially a 'soft network', distinct from a 'hard network'. These interconnections are founded on a subjective relationship construction process and therefore necessitate scale transformation from 'point-point' connections between innovative subjects in different cities with respect to 'city-city' interactions. At the same time, this transformation process is prone to exaggerations and deviations from objective intercity innovative relationships and therefore exerts considerable influence on the accuracy of results such that constructions must be entirely theoretical. Four construction methods for intercity innovative relationships and network simulation are summarized in this study, including an intercity undirected network based on cross-city co-operations between scientific and technological achievements, an intercity directed network based on the cross-city transfer of scientific and technological achievements, an intercity innovation network based on the cross-city flow of high-end talents, and an intercity innovation network based on the multi-city distribution of innovative enterprises and institutions. Simulation tests were then undertaken using relevant data to reflect aspects of these relationships. The results of this analysis are conducive to further exploration of global and regional innovative spatial patterns from the perspective of urban geography and intercity relationships and provide a theoretical and methodological foundation for further research on intercity innovation networks.
中国城市创新网络结构与创新能力研究
DOI:10.11821/dlyj201707009
[本文引用: 2]
网络范式的兴起引起了经济地理学者对于同网络结构相关的知识流动和创新产出的关注。基于“网络资本”视角,以国家知识产权局2014年中国292个地级以上城市间合作发明专利信息为原始数据,借助Ucinet、ArcGIS、SPSS等分析工具,刻画中国城市创新网络结构,间接测度创新网络资本,评价城市创新能力,进而对网络资本与城市创新关系进行探讨。研究表明:① 城市创新网络具有小世界特征和择优连接性,培育网络中心城市和创新城市群有益于优化创新网络结构,增加网络资本;② 城市创新网络空间格局呈现京津、宁沪、广深、成都等核心节点构成的菱形结构,城市创新能力空间格局与“结构性网络资本”空间分布较为一致;③ 网络资本与城市创新在0.01的水平上显著相关,据此认为,网络结构以及由此产生的网络结构资本影响城市创新能力。研究结论可为创新型城市建设和跨区域创新网络构建提供一定的参考。
Chinese inter-city innovation networks structure and city innovation capability
In recent years, the emergence of the network paradigm has led to a large and growing body of scholarly research in economic geography focused on analysing the impact of innovation networks structures on knowledge flows and innovation outcomes. From a theoretical perspective, this paper aims to consider the link between networks, knowledge and innovation. Using the notion of 'network capital', whereby networks are considered to potentially offer benefits to network actors in terms of knowledge they are able to access, our paper takes 292 prefecture-level cities as the object, by using Ucinet, ArcGIS. We analyze the inter-city innovation networks structure and measure the innovation networks capital indirectly based on a unique co-patent dataset issued by the State Intellectual Property Office of P.R.China in 2014. The main findings of this study are drawn as follows: (1) The structure of the overall innovation linkages across 292 prefecture-level cities in China features 'small-world' network properties, whereby dense clusters of network actors are linked to other clusters via a relatively small number of bridging links. The city degree distribution of innovation networks is characterized by dissortative, whereby the inter-city innovation networks present a preferential attachment rule when the cities choose their innovation cooperation partners. The results demonstrate that the key nodes of innovation networks and innovative urban agglomerations can effectively improve knowledge spillovers and the value cities gain from networks. (2) The networks structure is diamond-shaped and anchored by four major metropolitan areas (Beijing-Tianjin in the North; Nanjing-Shanghai, East; Guangzhou-Shenzhen, South; Chengdu, West), which reveals a significant spatial heterogeneity. The spatial pattern of city innovation capability is degressive gradient from east to west and the high level innovation cities are in the obviously centralized distribution. The levels of city innovation capability show consistent spatial heterogeneity law with the 'structural network capital', which refers to the advantages accrued based on the structural position of cities within innovation networks. (3) The analysis strongly suggests that the centralities and structural holes of cities within innovation networks are significantly associated with the overall innovation performance of the respective cities at 0.01 confidence level. It is concluded that network structures, and resulting stocks of 'structural network capital', influence city innovation capability, indicating that network capital may be an important indicator of city innovation capability. The results of this study may provide reference for the construction of innovative cities and inter-regional innovation networks.
新能源汽车行业知识流动的技术竞合机制研究
A study of the technical co-opetition mechanism on inter-organizational knowledge flow in the new energy vehicles industry
基于全球-地方视角的创新网络研究进展
DOI:10.18306/dlkxjz.2016.05.007
[本文引用: 1]
全球化、创新驱动是新时代的重要特征之一,创新网络成为经济地理学者关注的热点领域之一。在评述现有创新网络研究成果的基础上,本文界定了全球—地方创新网络的内涵和特征,论述了其类型、结构、作用机理和分析方法,并得出结论:全球创新网络与地方创新网络是不可分割的有机体,地方创新网络是全球创新网络的子系统,知识流是创新网络各主体之间联系的重要纽带,行业协会、技术联盟与成员之间的多次协商是全球—地方创新网络的重要组织方式,而网络知识测量方法则能较好地实现定性分析结论与统计计算结论的融合,能较好地刻画、模拟全球—地方创新网络的形态、结构、演变和机理。从服务国家建设和推动中国创新地理学发展的目标出发,有必要开展基于中国国情和视角的全球—地方创新网络机理与区域经济增长之间互动关系的研究,启动不同产业领域的全球—地方创新网络的比较分析,检验网络知识测量方法的可靠性和准确性。
Research progress of glocal innovation networks
Against the background of economic globalization and technological development, innovation network has been a heated topic in the field of economic geography research. However, the scale of research of innovation network remains debatable. Among the global, nation, and local scales, which one is important? The concept of “glocalization” provides a new perspective to this research. Glocalization refers to the twin process whereby, firstly, institutional arrangements shift from the national scale both upwards to the global scale and downwards to local configurations and, secondly, economic activities and inter firm networks are becoming simultaneously more localized/ regionalized and transnational. Based on solid theoretical reviews, this article defines the concept of glocal innovation network and then discusses the main issues and research methods of glocal innovation networks. In this article, glocal innovation network is defined as the sum of knowledge network channels of various innovators, for example, firms, universities, and research institutes, which increasingly connect globally scattered innovation resources together. Local innovation networks, which are the sub-networks of global innovation networks, are connected by trans-local knowledge flows. Glocal innovation networks are organized by the negotiation among industrial associations and technology alliances and their members. Network knowledge measurement is the suitable method to analyze the structure, evolution, and mechanism of glocal innovation network. The concept of glocal innovation networks provides a new perspective to analyze the approaches of local/regional innovation capabilities promotion and economic development by utilizing global and local knowledge. We conclude that existing research remains at the stage of conceptual discussion and case studies. Therefore, the following issues should be further studied: (1) glocal innovation network evolution dynamics and its connection with economic development; (2) comparative study of glocal networks of different industries and technologies; (3) characteristics of Chinese glocal innovation networks, which can provide empirical evidence of latecomer regions in the catching-up process for further theoretical discussion.
关键共性技术合作网络演化机制研究: 以医药产业为例
Research on the evolution mechanism of the key generic purpose technology cooperation network: Based on the pharmaceutical industry
创新网络结构演化对技术生态位影响的实证分析
借鉴态势理论,通过技术生态位“态”的分析,从量上衡量节点的技术创新能力,通过技术生态位“势”的分析,从增长率上衡量节点技术创新能力对网络环境的潜在影响力。运用社会网络分析法,以2003-2015年间移动通讯终端联合申请发明专利数据为样本,分析不同时期移动通讯终端创新网络的演化规律,研究发现移动通讯终端创新网络结构由原来松散型、简单型逐渐向紧凑型和复杂型演化。在此基础上,计算了网络演化的结构特征值,对网络结构与技术生态位“态”和技术生态位“势”的关系进行了回归分析,实证结果发现:度数中心度与技术生态位“态”呈倒U型关系;度数中心度、结构洞和关系强度与技术生态位“势”均呈倒U型关系。
An empirical analysis on impacts of structural evolution of innovation networks on technological niches
Based on ecostate-ecorole theory, technological innovation capabilities of nodes are quantitatively measured by analyzing “ecostate” of technological niches, and their potential impacts upon network environment are measured from the perspective of their growth by analyzing “ecorole” of technological niches. With the application of social network analysis, the data on joint applications for inventions and patents in mobile communication terminals from 2003 to 2015 are sampled to analyze the structural evolution laws of the mobile communication terminal innovation network in different periods. It is found that original loose and simple networks have gradually evolved into compact and complicated ones. Subsequently, this paper calculates the characteristic values of the structurally evolved networks, constructs regression models to analyze relationships between network structures and “ecostate” and “ecorole” of technological niches. The empirical results suggest that inverted U-shaped relationships exist between degree centrality and “ecostate” of technological niches. The degree centrality, structural holes and tie strength are also discovered to have such relationships with the “ecorole” of technological niches.
“技术生态”概念的基本内涵研究
Research on the basic connotation of the concept of "Technological Ecology"
全球城市与全球城市-区域“属性与网络”的关联性: 以上海和长三角为例
Correlation between "Attributes and Network" of global city and global city-region: A case of Shanghai and Yangtze River Delta
中国创新型城市建设的综合评估与空间格局分异
DOI:10.11821/dlxb201404003
[本文引用: 1]
创新型城市是开展创新活动、建设创新型国家的重要基地,是探索城市发展新模式和推进城市可持续发展的迫切要求,因而在中国建设创新型国家中具有举足轻重的战略地位。当前,中国已进入到2020 年建成创新型国家的攻坚阶段,但创新型城市建设尚处初级阶段,尚未完成从要素驱动向创新驱动的战略质变,与真正意义上的创新型城市还有很大差距。本文以全国287 个地级以上城市为综合评估对象,采用自主构建的中国创新型城市综合评估体系和开发的中国创新型城市综合评估监测系统软件,从自主创新、产业创新、人居环境创新和体制机制创新四大方面对中国创新型城市的建设现状做了综合评估,分析了创新型城市建设的空间分异特征。结果认为,中国城市综合创新水平偏低,建设创新型国家难度大,87.8%的城市综合创新水平低于全国平均水平;城市综合创新水平与城市经济发达水平呈密切的正相关关系,东部地区城市明显高于中西部地区;城市自主创新水平、产业创新水平、人居环境创新水平和体制机制创新水平呈现出与城市综合创新水平一致的空间分异规律。到2020 年争取将北京、深圳、上海、广州建成4 大全球创新型城市,成为全球创新中心;把南京、苏州、厦门、杭州、无锡、西安、武汉、沈阳、大连、天津、长沙、青岛、成都、长春、合肥、重庆共16 个城市建成国家创新型城市,成为国家创新中心,形成由4 个全球创新型城市、16 个国家创新型城市、30 个区域创新型城市、55 个地区创新型城市和182 个创新发展型城市组成的国家城市创新网络空间格局,进而为到2020年建成创新型国家做出贡献。
Comprehensive assessment and spatial heterogeneity of the construction of innovative cities in China
Innovative cities are not only important basis for innovation activities, but also play a strategically critical role in constructing an innovative country. Meanwhile, the development of innovative cities can meet the urgent requirements of setting new forms of urban development and fostering the urban sustainable development. Currently, China is marching toward the goal of establishing an innovative country by 2020, but the start-up phase of innovative cities construction cannot realize the fundamental transition from factor driven development to innovation driven development, which means that there is a wide gap between China's innovative cities and the advanced innovative cites. Constructing innovative cities confronts with some bottlenecks like investments, income, techniques, contributions and talents. This article takes 287 prefecture-level cities as the object of comprehensive assessment. With the method of comprehensive assessment system of innovative cities and innovative monitoring system software, this article evaluates the current situation of innovative city construction from four aspects, namely independent innovation, industrial innovation, living environmental innovation and institutional innovation, and analyzed the characteristics of spatial heterogeneity of innovative cities construction. The results are as follows. The level of innovation of Chinese cities is low, and building an innovation-oriented country is difficult. Some 87.8% of cities are lower than the national average of comprehensive level of innovation. The level of city's comprehensive innovation has close and positive correlation with economic development. The level of the eastern region of China is significantly higher than that of the central and western regions. The levels of urban independent innovation, industrial innovation, habitat of environmental innovation and institutional mechanisms innovation show consistent spatial heterogeneity law with the city's comprehensive level of innovation. In the future, China should speed up the construction process in accordance with the basic principles of "independent innovation, breakthroughs in key areas, market-driver, regional linkage, personnel support". The purpose is to build Beijing, Shenzhen, Shanghai, Guangzhou into global innovation centers, to build Nanjing, Suzhou, Xiamen, Hangzhou, Wuxi, Xi'an, Wuhan, Shenyang, Dalian, Tianjin, Changsha, Qingdao, Chengdu, Changchun, Hefei, Chongqing into national innovation centers by 2020, through which China will finally build a national urban innovation network that includes 4 global innovative cities, 16 national innovative cities, 30 regional innovative cities, 55 local innovative cities, and 182 innovation-driven development cities and contributes to the establishment of an innovative country by 2020.
官产学三螺旋创新的国际研究: 起源、进展与展望
International research on triple-helix innovation among "Government-Industry-University": Origin, advances and prospects
长三角生物医药产业创新网络结构及其影响因素
Innovation network structure of biomedical industry and its influencing factors in Yangtze River Delta
长三角城市科研合作的邻近性与自组织性
DOI:10.11821/dlyj020211014
[本文引用: 5]
随着学者们对知识网络研究的深入,网络关联的影响因素和作用机制成为重要议题。本文基于2019—2020年Web of Science论文合作发表数据构建长三角城市科研合作网络,在空间和拓扑特征分析的基础上,采用加权指数随机图模型定量模拟了城市属性、城际关系和网络结构对合作网络的影响,揭示了科研合作中的邻近性和自组织性。研究发现:① 长三角城市科研合作网络是内外生动力共同作用的结果。就城市禀赋而言,高校数量、研发投入、人均GDP可促进城市的对外科研合作,其中高校数量的边际效应最大。② 就城际关系而言,组织邻近性的正向影响最强,同省城市合作的概率是跨省城市的3.157倍;认知邻近性每提高0.1,城市间的合作概率将是原先的1.981倍;而地理和社会邻近性的促进作用甚微,制度和文化邻近性影响为负,是择优偏好较强和方言壁垒有限的结果。③ 就网络结构而言,长三角城市科研合作具有自组织自演化性,局部星型结构和三角形结构对新合作关系的贡献为0.875和0.540,择优链接性强于传递闭合性。
Proximity and self-organizing mechanisms underlying scientific collaboration of cities in the Yangtze River Delta
With further research on intercity knowledge networks, the underlying influencing factors and mechanisms have become important issues in urban geography and regional studies. This study constructed an intercity scientific collaboration network of the Yangtze River Delta based on the co-publication data derived from the Web of Science during 2019-2020. After an exploratory analysis of spatial patterns and topological characteristics of the intercity scientific collaboration network, valued exponential random graph models were designed to quantitatively explore the effects of variables at the city, intercity-relation, and network-structure levels on the formation of the network, and then unravel the underlying self-organizing and proximity mechanisms. The results show that: (1) The intercity scientific collaboration network of the study area results from the joint effects of endogenous forces and exogenous forces. Exogenous forces include conventional urban knowledge endowments and multi-dimensional proximities between cities, while endogenous forces are self-organizing and self-evolving forces from local structures of the network per se which is relatively under-reported. In terms of urban endowment variables, cities with more universities, more R&D investment, and larger GDP per capita are more likely to develop scientific collaboration with other cities, among which the number of universities plays the most important role. (2) In terms of intercity relational variables, organizational proximity contributes most to the formation of the intercity scientific collaboration network. The probability of scientific collaboration between cities in the same province is 3.157 times the collaboration between cities in different provinces. For every 0.1 unit increase of cognitive proximity between cities, the probability of scientific collaboration between them would be 1.981 times the previous probability. Geographical proximity and social proximity contribute little to facilitating the intercity scientific collaboration. In contrast, the impacts of institutional proximity and cultural proximity are negative due to the stronger effects of preferential attachment and weaker barriers of regional dialects. (3) In terms of network structural variables, the intercity scientific collaboration network presents significant self-organizing and self-evolving properties. The contribution of local structures, i.e., star configuration and triangle configuration, to the formation of new intercity scientific collaboration is respectively 0.875 and 0.540, suggesting that the preferential attachment effect is stronger than the triadic closure effect.
基于随机行动者模型的全球科学合作网络演化研究
DOI:10.11821/dlyj020211129
[本文引用: 2]
在知识经济时代,国家(地区)之间的科学合作日益频繁,科学活动的全球化和网络化特征越来越突出。国家(地区)间的合作不仅仅取决于双边的关系特征,还受到网络内生的结构效应影响。基于2000—2019年国家(地区)间的科学论文数据,本文采用社会网络分析方法和随机行动者模型,探讨全球科学合作网络的演化态势与影响机理。研究发现:① 全球科学合作网络规模日益扩大,凝聚性不断增强,具有明显的小世界性和部分的无标度特征,呈现去中心化的趋势。② 全球科学合作网络的拓扑结构呈现等级层次式与分布式并存的组织特征,中国逐渐从边缘向中心靠近,网络结构由美国单核演变为中美双核。③ 回归结果表明以传递性和择优连接为主的结构内生性是网络演化的首要驱动因素,以地理邻近性和认知邻近性为代表的国家(地区)间邻近性是网络演化的关键影响因子,国家(地区)规模也是促进合作网络演化的重要因素。与此同时,本文还发现传递性、地理邻近性、认知邻近性和国家(地区)规模的重要性日益提高,择优连接性对网络演化的影响逐渐减弱。
The evolution of the global scientific collaboration network: A stochastic actor-oriented model approach
In the age of globalizing knowledge economy, inter-country scientific collaborations are more and more frequent. Therefore, the globalization and networking characteristics of scientific research activities are increasingly prominent. The scientific collaboration between two countries does not only rely on the bilateral relationship between, but also is influenced by the structural effects of the network itself. However, the endogenous structural effects are ignored in the literature on the evolution of knowledge network. Based on the internationally collaborative papers from the Clarivate Analytics' InCites database in the period 2000-2019, this study uses social network analysis and stochastic actor-oriented model to explore the structure, dynamics and determinants of global scientific collaboration network. Results show that the size of the network has expanded, the number of nodes and ties in the network has substantially increased, and the densification of the network has strengthened over time. Distinctive characteristics of the network is typically small-world nature and partially scale-free distribution, and there is a significant trend towards decentralization in the collaboration network. The whole network displays the co-existence of hierarchical “star-shaped” structure and heterarchical “universal” structure. China moves up from the periphery to the core, and the network is evolving from a single-center dominated by the United States to the double center including Sino-US, the bilateral partnership between China and the United States becomes the most importantly bilateral collaboration in the world. In addition, stochastic actor-oriented model indicates that transitivity and preferential attachment positively drive the evolution of scientific collaboration network. Geographical proximity and cognitive proximity have a positive and significant effect on the formation of international collaboration. The dynamic mechanism of the global scientific collaboration network is facilitated by country size. Meanwhile, common language, post-colonial links, and international students play an important role in the dynamics of global scientific collaboration network. Besides, we find that the effects of transitivity, geographical proximity, cognitive proximity and country size have increased, while the impact of preferential attachment has waned over time.
长三角城市创新网络凝聚子群发育机制研究: 基于多值ERGM
Development mechanism of cohesive subgroups' urban innovation networks in the Yangtze River Delta: Based on the valued ERGM
中国城市网络空间结构的演化特征及机理研究: 基于上市公司500强企业网络视角
Dynamics and mechanisms of the spatial structure of urban network in China: A study based on the corporate networks of top 500 public companies
基于ERGM模型的技术合作网络结构效应研究
DOI:10.3969/j.issn.1008-0821.2018.08.011
[本文引用: 2]
虽然结构嵌入在技术合作过程中的重要性已受到学者重视,但仅停留在结构特征统计描述层面,并不足以揭示技术合作背后的因果机制。从网络视角,将技术合作影响因素划分为内生和外生两方面,通过ERGM模型,重点考察不同结构嵌入效应,以揭示技术合作网络生成机制。基于石墨烯领域合作专利的实证研究发现:技术合作倾向于嵌入闭合三角结构,而非星型结构、2-路径,说明闭合性是技术合作网络形成的关键内生机制;外生性因素方面,表现出强烈的地理同配倾向。研究结果说明网络结构是技术合作关系社会化特征的反映,技术合作是内生、外生因素交织结果。
Effect of network structure on technology collaboration based on ERGM
DeepDirect: Learning directions of social ties with edge-based network embedding
Exponential Random Graph Models for Social Networks: Theory, Methods, and Applications
A relational event framework for social action
Discrete temporal models of social networks
Do capabilities reside in firms or in regions? Analysis of related diversification in Chinese knowledge production
Temporal exponential random graph models with btergm: Estimation and bootstrap confidence intervals
Closure, connectivity and degree distributions: Exponential random graph (p*) models for directed social networks
New specifications for exponential random graph models
中国城市专利规模与知识宽度的时空演变及影响因素
Spatio-temporal evolution and influencing factors of urban patent scale and patent knowledge width in China
区域创新网络模式研究: 以长三角城市群为例
DOI:10.18306/dlkxjz.2017.07.002
[本文引用: 1]
网络范式的兴起赋予城市创新模式新的内涵,引起了经济地理学者对不同空间尺度知识流动和创新联系的关注。基于网络视角,以中国知识产权局2014年长三角城市群26个地级市合作发明专利信息为原始数据,借助Ucinet、ArcGIS等分析工具,从本地和跨界多维空间尺度,刻画长三角城市群创新网络结构,测度城市创新网络地位,评价城市创新能力,进而对城市创新模式进行划分。研究表明:①研发密集的大型国有企业、中外合资企业和知名的理工科院校具有较高的知识生产能力,成为长三角城市群创新合作优先链接主体;②长三角城市群重视外部知识获取,跨界网络成为重要的创新合作途径,地理距离对创新合作空间载体选择的制约减弱;③创新网络位置影响知识获取和城市创新,网络视角下的长三角城市群呈现四类创新模式,密集的“本地—跨界”创新网络有助于城市创新。研究结论对长三角城市群不同类型创新模式的优化升级具有一定的参考价值。
The study of regional innovation network patterns: Evidence from the Yangtze River Delta urban agglomeration
全球港口间集装箱运输贸易网络的时空分异
The spatial-temporal differentiation and of global trade of container transportation network between ports
多维邻近性对产学研合作创新的影响: 广州市高新技术企业的案例分析
DOI:10.11821/dlyj201704008
[本文引用: 1]
多维邻近性是研究产学研合作创新影响因素的恰当的分析视角。构建“多维邻近→互动学习→合作程度”理论分析框架,运用多案例方法研究多维邻近性对项目形式的产学研合作创新的影响。研究表明:① 地理邻近、认知邻近、社会邻近对产学研合作程度的提升均有积极影响,但在技术创新的不同阶段存在差异。② 互动学习对多维邻近与产学研合作程度具有显著的调节作用,在内容、方式、强度上有明显的阶段性特征。③ 地理邻近、认知邻近、社会邻近对产学研合作程度的交互影响呈互补效应或替代效应,在特定情况下存在阶段性差异;互补效应的积极影响通常优于替代效应。
The impact of multi-dimensional proximities on university-industry cooperative innovation: Case studies of high-tech enterprises in Guangzhou
With the growing importance of University-Industry cooperative innovation (U-I cooperative innovation) in regional innovation, there is an increasing concern over the factors influencing U-I cooperative innovation. While U-I cooperative innovation features a process of knowledge transfer, multi-dimensional proximity is an appropriate analytical perspective to study the influencing factors of U-I cooperative innovation. This paper argues that geographical proximity, cognitive proximity and social proximity are essential elements of a conceptual framework for the analysis of U-I cooperative innovation, which contains heterogeneous organization. As such multi-dimensional proximities represent an important factor in the promotion of U-I cooperative innovation, interactive learning has been proved to be the way to realize knowledge transfer under the influence of multi-dimensional proximities for cooperative subjects—since frequent and continuous interaction between U-I cooperative subjects can enhance the level of U-I cooperation. By constructing a theoretical framework of "Multi-dimensional proximities, geographical proximity and related proximities→Interactive learning→Level of cooperation", and based on a multi-case study methodology, this research takes high-tech enterprises in the Guangzhou Development District as an example and explores the influence of multi-dimensional proximities on "point to point" U-I cooperative innovation. The research findings show that: (1) while geographical proximity, cognitive proximity and social proximity all contribute to the level of U-I cooperation, these positive effects vary at different stages of technological innovation; (2) whilst interactive learning has significant moderating effects on multi-dimensional proximities and the level of U-I cooperation, there are noticeable periodic characteristics in its effects in terms of content, way and intensity; (3) geographical proximity, cognitive proximity and social proximity, respectively, have complementary and substitutive effects on the level of U-I cooperative innovation, although the effects may vary in different stages. In the interaction between different types of proximities, the positive influence of complementary effects is usually greater than that of substitutive effects. The conclusion is useful for us to understand the interaction process between the innovation subjects under different circumstances of proximities; in addition, it can also provide evidence for policy-making as regards rational distribution of scientific and technological resources, selection of U-I cooperative partners, as well as appropriate responses to different circumstances of proximities in the process of technological innovation cooperation.
The geographical and institutional proximity of research ollaboration
技术接近性对国际技术合作影响: 基于“一带一路”国家专利合作的研究
Impact of technology proximity on international technical cooperation: Based on patent cooperation between the Belt and Road Countries
长江经济带技术转移网络结构及影响机制探究
Research on structure and effect mechanism of technology transfer network in Yangtze River economic belt
The network structure of multilevel water resources governance in Central America
基于TERGMs的技术创新网络演化动力研究
A research on the evolution dynamics of technological innovation network based on TERGMs
国际贸易依赖网络的演化及内生机制研究
Research on the evolution and endogenous mechanism of international trade dependence network
Exponential-family random graph models for valued networks
Exponential-family random graph models (ERGMs) provide a principled and flexible way to model and simulate features common in social networks, such as propensities for homophily, mutuality, and friend-of-a-friend triad closure, through choice of model terms (sufficient statistics). However, those ERGMs modeling the more complex features have, to date, been limited to binary data: presence or absence of ties. Thus, analysis of valued networks, such as those where counts, measurements, or ranks are observed, has necessitated dichotomizing them, losing information and introducing biases. In this work, we generalize ERGMs to valued networks. Focusing on modeling counts, we formulate an ERGM for networks whose ties are counts and discuss issues that arise when moving beyond the binary case. We introduce model terms that generalize and model common social network features for such data and apply these methods to a network dataset whose values are counts of interactions.
/
| 〈 |
|
〉 |



















