围垦后滨海湿地水土盐度对土地利用时空演变的响应

  • 贾悦 ,
  • 李玉凤 ,
  • 张玥 ,
  • 王雨青 ,
  • 周诗薇 ,
  • 刘红玉
展开
  • 南京师范大学海洋科学与工程学院,南京 210023
李玉凤(1985-),女,江苏扬州人,博士,教授,硕士生导师,主要从事湿地景观生态与GIS应用研究。E-mail: .

贾悦(1999-),女,山东威海人,硕士研究生,主要从事滨海湿地景观生态应用研究。 E-mail:

收稿日期: 2022-08-17

  录用日期: 2023-03-06

  网络出版日期: 2023-07-04

基金资助

国家自然科学基金项目(41871188)

国家自然科学基金项目(31971547)

国家自然科学基金项目(42006183)

Response of soil and water salinity to land use evolution in reclaimed coastal wetland

  • JIA Yue ,
  • LI Yufeng ,
  • ZHANG Yue ,
  • WANG Yuqing ,
  • ZHOU Shiwei ,
  • LIU Hongyu
Expand
  • College of Marine Science and Engineering Nanjing Normal University, Nanjing 210023, China

Received date: 2022-08-17

  Accepted date: 2023-03-06

  Online published: 2023-07-04

摘要

滨海湿地水盐关系复杂,盐度空间梯度是影响土壤、水体指标和生物生长的关键因子。本文选取1987—2021年遥感影像,分析江苏盐城国家级珍禽自然保护区北部土地利用时空演变规律与盐度变化之间的关系。结果表明:① 按照围垦目标(农田、淡水养殖、咸水养殖)与围垦时间,将1987—2021年土地利用演变路径划分为七大类。② 随着围垦历时的延长和土地利用变化,土壤与水体盐度均逐渐降低;土壤盐度波动趋于平稳且剖面层呈现聚集—波动均匀—均匀的分布特征。③ 农田围垦目标路径下,土壤盐度由低到高依次为Ⅰ(直接农田型)<Ⅱ(芦苇→农田型)<Ⅲ(碱蓬→养殖塘→农田型);从土壤盐度剖面类型来看,Ⅱ路径是聚集型,Ⅰ与Ⅲ路径均是波动均匀型。④ 养殖塘演变路径下,水体盐度由低到高依次是Ⅳ(芦苇→淡水养殖型)<Ⅴ(碱蓬→芦苇→农田→淡水养殖型)<Ⅵ(盐田→淡水养殖型)<Ⅶ(碱蓬/光滩→咸水养殖型)。本文可为围垦后的滨海湿地滩涂实现高效率土地利用和可持续发展提供参考。

本文引用格式

贾悦 , 李玉凤 , 张玥 , 王雨青 , 周诗薇 , 刘红玉 . 围垦后滨海湿地水土盐度对土地利用时空演变的响应[J]. 地理研究, 2023 , 42(7) : 1892 -1903 . DOI: 10.11821/dlyj020220873

Abstract

The relationship between water and salt in coastal wetlands was complex, and the spatial gradient of salinity was the key factor which affected soil, water indicators and biological growth. In this study, remote sensing images were selected to analyze the relationship between land use evolution and salinity change from 1987 to 2021. The results indicated that: (1) Based on the spatial land use change and land use transfer matrix from 1987 to 2021, and according to the goals and years of reclamation, the study area was divided into seven paths of the land use evolution, respectively I (direct farmland type), II (reed → farmland type), III (alkali → breeding pond → farmland type), IV (reed →freshwater aquaculture type), V (Suaeda → reed→ farmland →fresh-water aquaculture type), VI (salt pan → freshwater aquaculture type) and VII (Suaeda/light beach → saltwater aquaculture type). Further, due to different periods of evolution, VI paths are divided into VI-i (salt pan →freshwater aquaculture 24 years type), VI-ii (salt pan →freshwater aquaculture16 years type), and VI-iii (salt pan →freshwater aquaculture 10 years type). (2) With the increase of distance from the sea, the extension of the reclamation period and land use changes, the salinity of soil and water gradually decreased. The fluctuation of soil salinity tended to be stable normally, and the profile layer of soil salinity showed the aggregation-fluctuation-uniform distribution. (3) Under the target path of farmland reclamation, the soil salinity from low to high was I, II and III paths. The profile type II of soil salinity profile was clustered, and the I and III paths were fluctuating uniform. (4) Under the evolution path of the aquaculture pond, the salinity of the water from low to high was IV, V, VI and VII paths, and the causes were more evident in the evolution of land use by human intervention, in addition to the distance from the sea. The influence mechanism of salinity spatial distribution in coastal wetlands mainly included natural background factors and human activity factors. In the exploration of the background factors, we found that the distance of the sea determined the salinity distribution. This study revealed the relationship between the evolution of land use and soil and water salinity in reclaimed coastal wetlands to provide a reference for ecological restoration and sustainable development of coastal wetlands.

1 引言

滨海湿地位于海洋生态系统与陆地生态系统的过渡地带,是海岸带的重要组成部分[1],在维持生物多样性、净化水质和保障区域生态安全等方面发挥着不可替代的作用[2]。随着社会经济的快速发展,沿海滩涂湿地开发成为缓解土地供需矛盾的重要途径[3]。江苏省围垦历史悠久,最早可追溯至清代末年“兴海煮盐”阶段[4],但大规模开发是在1949年之后。1951—2015年江苏省沿海滩涂围垦面积为3346km²,其中盐城市面积占比达到55%[5]。在2009年国务院通过的《江苏省沿海开发战略规划(2010—2020)》计划在江苏省沿海湿地围垦面积达到270万hm²[6]。然而,滨海湿地开发利用受限于土壤盐碱化程度[7]。土壤盐度决定了沿海滩涂种植和养殖类型,同时还影响土壤养分、微生物群落组成等,因此,研究围垦后土壤盐度与土地利用演变路径之间互制关系是至关重要的。
目前,国内外研究学者对滨海湿地垦区内土地利用与水土盐度之间的关系展开了很多研究,主要聚焦于围垦年限和土地利用方式与盐度之间关系的研究。一方面,大量研究表明,滨海区域围垦时间越长,土壤盐度越低。如在黄河三角洲围垦区内[8],围垦1年和围垦9年相比,土壤盐度从7.51g/kg下降到0.81g/kg。在杭州湾[9]和长江口[10]的围垦区内也发现了同样的规律。另一方面,土地利用方式的不同也会造成土壤盐度及其脱盐效率的差异。如滨海湿地开垦为农业用途后,土壤脱盐率达到每年1.6±2.4%[11],并且发现开垦为水田,土壤脱盐率要远远高于开垦为旱地[12]。而孟加拉湾西南沿海地区[13]发现农田土壤盐度明显低于对虾养殖。
随着围垦年限与土地利用类型的变化,水土盐度也随之发生改变。但是目前的研究多集中于不同土地利用方式和年限对盐度的影响,而对跟踪土地利用方式的演变路径及其围垦年限,发掘围垦后土地利用变化与盐度关系的研究并不常见,因此本文探究围垦40年下,不同土地利用演变路径与盐度之间的关系。本文选取江苏盐城国家级珍禽自然保护区北部作为研究区,通过分析1987年、2002年、2007年、2021年遥感影像获取研究区土地利用方式的演变路径,并采集研究区土壤与水体样品开展实验分析。揭示围垦后滨海湿地土地利用时空演变与水土盐度之间的关系,为海岸带生态恢复与可持续发展提供参考。

2 研究区概况与研究方法

2.1 研究区概况

江苏盐城珍禽自然保护区成立于1983年,1992年成为国家级自然保护区。保护区以新洋港和斗龙港为界,其内部分为北部(包括北缓冲区与北实验区)、核心区与南部(包括南缓冲区、南实验区与东沙实验区)三个部分。本文研究范围北起射阳盐场北界南至新洋港出海河北岸,西起20世纪50年代老海堤东至海岸线,范围与北缓冲区基本一致,围垦总面积188.53 km²,位于江苏省盐城市射阳县黄沙港镇(见图1)。气候类型为亚热带湿润季风气候,雨热同期,降水量集中在夏季,年平均气温13.7~14.6℃,年降水量980~1070 mm。沿岸地貌为粉砂淤泥质海岸[14]。滩涂围垦前主要以碱蓬地和光滩为主,土壤盐度范围在(11~14)ms/cm[15],自20世纪50年代起,开始在沿海滩涂“治水兴垦”开发盐场;20世纪80年代开始,江苏省沿海滩涂遵循着“围垦→养垦→开垦”模式,滩涂开启围垦与养垦阶段;21世纪以来,国家相继出台“百万滩涂开发计划”“海上苏东”和沿海大开发等战略[16],江苏沿海开发战略上升为国家战略,沿海港口、围垦养殖、种植业逐渐发展起来。目前,区内有水稻、小麦、淡水鱼、贝类等产品的种养殖业[17]
图1 研究区区位及采样路线

注:该图基于自然资源部地图技术审查中心标准地图(审图号:(GS(2020)4619号)绘制,底图边界无修改。

Fig. 1 Location of the study area and sampling routes

2.2 数据来源

2.2.1 遥感影像

所用数据均来自于地理空间数据云(http://www.gscloud.cn/)。选取1987年、2002年、2007年、2021年Landsat系列四期影像,空间分辨率均为30 m×30 m,云量少于5%(见表1),对遥感影像进行目视解译,将研究区土地利用类型分为光滩、养殖塘、农田、盐田、碱蓬、互花米草、芦苇、道路、沟渠。
表1 各期遥感影像数据来源

Tab. 1 Remote sensing image data sources by period

序号 卫星平台 传感器 轨道号 成像时间(年/月/日)
1 Landsat 5 TM 119037 1987/04/23
2 Landsat 5 TM 119037 2002/09/23
3 Landsat 7 ETM 119037 2007/05/08
4 Landsat 8 OLI 119037 2021/10/13

2.2.2 盐度野外采样

为探究不同土地利用类型的土壤盐度与水体盐度,2022年6月,在研究区共设置82个采样点,其中水体采样点共52个,土壤采样点共30个(见图1)。利用便携电导率仪(EC450)分别对土壤与水体盐度进行测量。水体盐度的测量在每个采样点进行3次平行采样,取平均值作为检测值;土壤盐度的测量是采集表层土壤,分5 cm、10 cm、15 cm不同深度进行测量。

2.3 研究方法

2.3.1 土地利用动态度

(1)单一土地利用动态度[18]是不同土地利用类型在一定时间内的变化速度和幅度的指标,反映人类活动对单一土地利用类型的影响,代表了某区域在研究时段内单一土地利用类型数量上的改变,计算公式为:
K = U b - U a U a × 1 T × 100 %
式中:K是研究时段内单一土地利用动态度;UaUb分别为研究时段的初期和末期单一土地利用的面积;T为研究时长。当T的时段单位为年时,K值就是该研究区单一土地利用类型的年变化率。
(2)综合土地利用动态度计算公式为[19]
L C = i = 1 n L U i - j 2 i = 1 n L U i × 1 T × 100 %
式中:LUi为研究起始时间第i类土地利用类型的面积; LUi-j为研究时长内第i类土地利用类型转为j类土地利用类型面积的绝对值;T为研究时长。当T的时段单位为年时,LC的值就是该研究区土地利用年变化率。

2.3.2 土地利用转移矩阵

土地利用转移矩阵[20]描述了不同土地利用类型在不同年份发生变化的土地类别以及发生变化的位置和变化面积,是根据同一地区不同时相的土地覆盖现状的变化关系,求得一个二维矩阵。土地利用转移矩阵数学形式为:
S i j = S 11 S 12 S 1 n S 2 n S 22 S 2 n S n 1 S n 2 S n n
式中:Siji类转化为j类的面积;n为土地利用类型的数量;i, j分别为初期与研究末期土地利用类型。

2.3.3 盐度分布特征

本文选用变异系数、聚集系数表示土壤盐度分布特征,其中变异系数表征土壤盐度波动程度,聚集系数主要包括表聚系数与底聚系数,表征土壤盐度随深度变化的聚集程度。根据变异系数与聚集系数将土壤盐度剖面分布进行划分(见表2[21]。由于水体盐度随深度变化无明显变化,因此只对土壤深度进行检测。其中,变异系数=标准差/平均值;表聚系数=表层土壤盐度/其他各层土壤盐度之和;底聚系数=底层土壤盐度/其他各层土壤盐度之和。
表2 盐度剖面类型划分

Tab. 2 Salinity profile type classification

类型 表聚系数与底聚系数之差 变异系数
聚集型 ≥0.12 ≥0.30
波动聚集型 0.10~0.15 0.0~0.80
临界聚集型 0.05~0.10 0.30~0.50
震荡型 ≤0.10 ≥0.40
均匀型 ≤0.05 ≤0.25
波动均匀型 ≤0.06 0.15~0.40

3 结果分析

3.1 土地利用时空变化特征

3.1.1 土地利用变化总体特征

1987—2021年土地利用格局发生了明显变化(见图2)。1987年,主要对碱蓬地进行匡围,开垦养殖塘;在距海较远的芦苇沼泽地开垦养殖塘与农田。至2002年,养殖塘年增长速度为10.44%。2002年起,部分老盐田逐渐转为养殖塘,滩涂围垦开垦养殖塘的规模仍在继续扩张,但部分养殖塘开始转为农田。至2007年,碱蓬已完全消失,养殖塘、农田年增长速度相较于2002年均下降,分别为0.04%和0.26%。期间,养殖塘面积增长主要由盐田转换而来,且至2021年盐田已全部转为养殖塘,海堤外养殖塘被海浪侵蚀,基本被摧毁;并且养殖塘转为农田的范围在继续扩大。综合土地利用动态分析:土地利用变化速率呈波动状态,1987—2002年土地利用年变化速率为0.03%,2002—2007年土地利用年变化速率为0.04%,2007—2021土地利用年变化速率为0.02%。
图2 1987—2021年土地利用空间变化

Fig. 2 Spatial land use change from 1987 to 2021

3.1.2 研究区土地利用转移分析

为全面了解1987—2021年土地利用具体变化,绘制了土地利用转移过程图(图3,见第1897页)。1987年农田向养殖塘转移0.74 km²,盐田面积转为养殖塘7.53 km²;芦苇向养殖塘和农田分别转移12.81 km²和9.28 km²;碱蓬地转移量最大,分别有26.40 km²转为养殖塘、4.47 km²转为农田、1.28 km²转为芦苇、0.51 km²转为光滩;而光滩有5.46 km²转为养殖塘、1.73 km²转为互花米草。
图3 1987—2021年土地利用转移面积变化

注:图中所有数据的单位为km²

Fig. 3 Land use change transfer from 1987 to 2021

2002—2007年,养殖塘有12.55 km²转为农田;农田、盐田分别以5.7 km²、8.54 km²的面积转移为养殖塘;芦苇地分别以1.51 km²和14.11 km²转为养殖塘与农田;碱蓬分别以2.21 km²、0.62 km²和0.58 km²转为养殖塘、农田和互花米草;互花米草转换为养殖塘3.48 km²;光滩分别以1.21 km²和2.01 km²转换为养殖塘和互花米草。
2007—2021年,养殖塘分别以6.31 km²和1.60 km²的面积转为农田与光滩;农田仅有1.31 km²转为养殖塘;盐田转为养殖塘29.13 km²;芦苇分别以3.49 km²和2.51 km²转为养殖塘与农田;互花米草分别以2.34 km²和2.17 km²转为养殖塘与光滩。

3.1.3 土地利用演变路径分类分析

以1987—2021年土地利用空间变化与土地利用转移矩阵为基础,土地利用演变路径可以分为三类(表3,见第1897页):农田目标类、淡水养殖目标类与咸水养殖目标类。农田源于三个路径(图4,见第1898页),其一是少部分源于直接开垦,由于土壤含盐量过高,使得农作物产量偏低,未进行大规模开发,其土地利用演变路径为Ⅰ路径(直接开垦农田型);其二是源于距海较远的芦苇沼泽,经历围垦—养垦之后,土壤进行人为洗盐与压盐处理,实现含盐量淡化进行种植,其土地利用演变路径为Ⅱ路径(芦苇→农田型);其三是由碱蓬经养殖塘转变而来,受到土壤自身条件与经济效益的驱动,将靠近海边原为碱蓬的养殖塘转为农田,其土地利用演变路径为Ⅲ路径(碱蓬→养殖塘→农田型)。淡水养殖主要分布在海堤内,其来源主要包括三部分(图4,见第1898页):其一是少部分将距海较远的芦苇沼泽经围垦、养垦后修建为养殖塘,其土地利用演变路径为Ⅳ路径(芦苇→淡水养殖型);其二是20世纪80年代对碱蓬滩涂进行匡围,水体交换受到阻碍,植被由碱蓬逐渐演替为芦苇,先开垦为农田,后转为淡水养殖,其土地利用演变路径为Ⅴ路径(碱蓬→芦苇→农田→淡水养殖型);其三是在20世纪50、60年代开发的盐田,随着滩涂多样化利用以及经济效益的驱动,老盐田逐渐废弃,针对含盐量高低开发为多品种养殖业,土地利用演变路径:Ⅵ-i路径(盐田→淡水养殖24年型)、Ⅵ-ii路径(盐田→淡水养殖16年型)、Ⅵ-iii路径(盐田→淡水养殖10年型)开垦为养殖塘的时间分别是24年、16年、10年。咸水养殖大部分位于距海较近的滩涂(见图4),在碱蓬沼泽、光滩进行匡围后,修建养殖塘,由于受到潮水影响,使得滩涂土壤水体含盐量较稳定,因此发展海水养殖,其土地利用演变路径为Ⅷ路径(碱蓬/光滩→咸水养殖型)。
表3 1987—2021年土地利用演变路径与距海距离

Tab. 3 Land use evolution path and distance from sea from 1987 to 2021

围垦目标 土地利用演变路径 围垦年限(年) 质心法距海
距离(km)
最小距离法距海
距离(km)
农田 Ⅰ 直接开垦农田 1981—2021年(40) 12.4 12.0
Ⅱ 芦苇→农田 1987—2021年(34) 5.6 1.6
Ⅲ 碱蓬→养殖塘→农田 1998—2021年(23) 2.4 0.9
淡水养殖 Ⅳ 芦苇→淡水养殖 1981—2021年(40) 8.3 4.2
Ⅴ 碱蓬→芦苇→农田→淡水养殖 1987—2021年(34) 2.8 1.3
Ⅵ-i 盐田→淡水养殖 1981—2021年(40) 7.6 7.0
Ⅵ-ii 盐田→淡水养殖 1981—2021年(40) 9.0 4.5
Ⅵ-iii 盐田→淡水养殖 1981—2021年(40) 8.7 4.2
咸水养殖 Ⅶ 碱蓬/光滩→咸水养殖 1998—2021年(23) 1.1 0.1
图4 土地利用演变路径

Fig. 4 Land use evolution path

3.2 盐度与土地利用类型演变路径之间的关系

3.2.1 盐度与围垦年限关系分析

总体而言,通过计算每一条土地利用演变路径的距海距离发现,围垦年限越长,距海越远(见表3),并且随着围垦年限增加,水体、土壤盐度均明显降低(见表4表5)。研究区水体盐度平均值(5.67~23.6)ms/cm,可以分为淡水和咸水,围垦年限23年属于咸水,围垦年限34年与40年均属于淡水,由于海堤公路的修建,阻挡了潮水上涨,水体交换能力下降,以及降水淋洗、淡水灌溉,使得围垦年限越长,水体盐度越低。研究区土壤盐度平均值(1.11~2.67)ms/cm,根据美国盐分实验室对盐碱土的划分[22],围垦年限34年与40年土壤均属于非盐土,而围垦年限23年的土壤盐度范围是(1.11~4.12)ms/cm属于非盐土与中盐土之间波动,仅少部分地区属于中盐土,由于滩涂围垦和人类活动增强,土壤自然退化的速度加快,土壤盐度逐年下降。
表4 养殖目标下不同围垦年限下水体盐度统计值

Tab. 4 Statistical values of salinity of water bodies in different years of reclamation under aquaculture goals

围垦年限(年) 最大值
(ms/cm)
最小值
(ms/cm)
平均值
(ms/cm)
标准差 变异系数
1998—2021年(23) 24.60 22.40 23.60 0.89 0.04
1987—2021年(34) 5.88 5.44 5.67 0.23 0.04
1981—2021年(40) 5.67 4.95 5.31 0.37 0.07
表5 农田目标下不同围垦年限下土壤盐度统计值

Tab. 5 Statistical values of soil salinity in different years of reclamation under farmland goals

围垦年限(年) 最大值(ms/cm) 最小值(ms/cm) 平均值
(ms/cm)
标准差 变异系数 表聚系数 底聚系数 剖面类型
1998—2021年(23) 4.12 1.11 2.67 0.79 0.30 0.40 0.59 聚集
1987—2021年(34) 3.33 0.87 1.56 0.54 0.34 0.29 0.37 波动均匀
1981—2021年(40) 1.34 0.91 1.11 0.13 0.11 0.33 0.30 均匀
土壤盐度剖面特征表现为,围垦年限23年土壤剖面类型属于聚集型;围垦年限34年土壤剖面类型属于波动均匀型;围垦年限40年土壤剖面类型属于均匀型。随着围垦历时的延长,土壤剖面呈现出聚集—波动均匀—均匀的分布特征,且土壤盐度的波动也趋于稳定。

3.2.2 土壤盐度与土地利用类型演变路径之间的关系

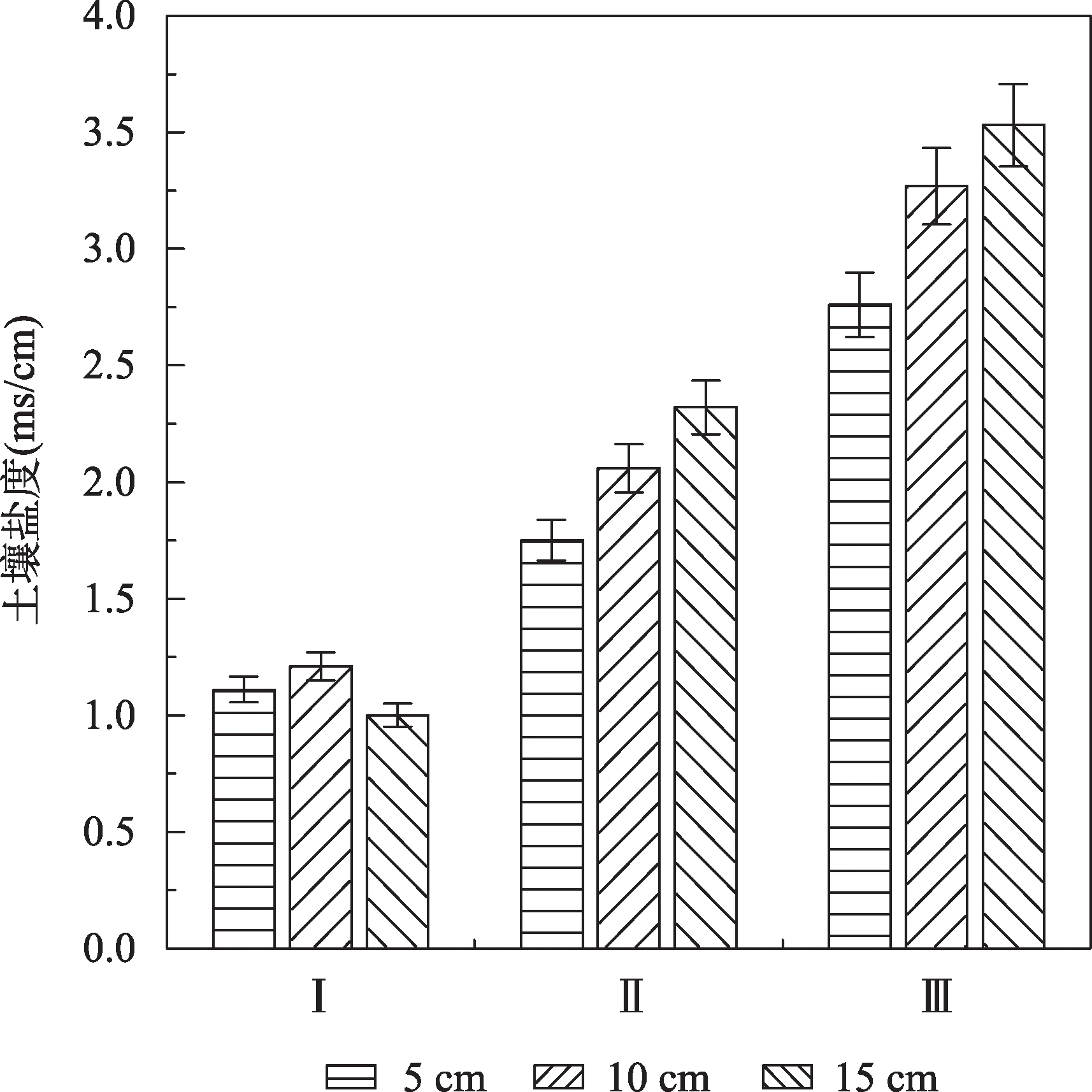
研究区农田演变路径共有三条,分别为Ⅰ路径(直接开垦农田型)、Ⅱ路径(芦苇→农田型)、Ⅲ路径(碱蓬→养殖塘→农田型)。三种不同演变路径下,土壤盐度由低到高依次为Ⅰ<Ⅱ<Ⅲ(见图5),Ⅰ路径直接在围垦的滩涂上开垦农田,围垦时间超过40余年,土壤表层已基本达到脱盐状态。Ⅱ路径在芦苇沼泽进行匡围,盐分退化较快;Ⅲ路径主要集中在靠海较近的区域,农田主要由碱蓬、养殖塘转变而来,土壤含盐量较高。三条演变路径下,Ⅱ与Ⅲ路径随着土壤深度增加,盐度逐渐递增,根据变异系数、表聚与底聚系数之差得出(见表6),Ⅰ路径土壤盐度剖面类型属于波动均匀型,Ⅱ路径属于聚集型,Ⅲ路径属于波动均匀型。
图5 农田不同演变路径下土壤盐度随深度变化差异

Fig. 5 Differences in soil salinity of farm land with depth under different evolution paths

表6 不同围垦转移路径下采样点土壤盐度统计值

Tab. 6 Statistical values of soil salinity at sampling points under different reclamation transfer path

演变路径 最大值(ms/cm) 最小值(ms/cm) 平均值(ms/cm) 标准差 变异系数 表聚系数 底聚系数 剖面类型
1.35 0.87 1.11 0.18 0.16 0.49 0.43 波动均匀
3.33 1.37 2.04 0.62 0.30 0.40 0.61 聚集型
4.12 2.40 3.07 0.45 0.15 0.41 0.59 波动均匀

3.2.3 水体盐度与土地利用类型演变路径之间的关系

盐度作为水产养殖的重要参数,与养殖环境进而与养殖生物都有密切的联系。四种养殖塘不同演变路径下,水体盐度由低到高依次为Ⅳ<Ⅴ<Ⅵ<Ⅶ(见图6),Ⅵ-i路径水体盐度最低,由于其开垦时间久,人类活动加快了土壤水体的脱盐速度,Ⅵ-ii与Ⅵ-iii路径随着开垦养殖塘时间增长,水体盐度在逐渐降低;Ⅳ与Ⅴ路径水体盐度基本相同,Ⅳ路径虽然开垦时间更长,但是Ⅴ路径由农田转变而来,人类活动加速了水体含盐量的退化;Ⅶ路径靠海较近,养殖塘主要靠海水补给,盐度较高。
图6 养殖塘不同演变路径下淡水盐度差异

Fig. 6 Freshwater salinity differences in aquaculture ponds under different evolutionary paths

4 讨论

4.1 距海远近对盐度的影响

自然本底因素是影响盐度空间分布的重要机制,影响本底因素贡献率最大的是与海岸线的距离[23]。农田目标下Ⅱ与Ⅲ路径、养殖目标下Ⅴ与Ⅶ路径,它们盐度相差较大。由于靠海较近,海陆水体交换能力强,地表水与地下水受海水影响较大,土壤与水体盐度均较高。盐生植物作为滨海湿地盐度分布的指示物种[24],其分布特征也表现出盐分由海到陆逐渐降低的趋势。同时,气候条件也是影响表层土壤盐分空间分布的主要因素[25]。土壤含盐量总体特征表现为“积盐—淋洗—返盐”,降水将表层土壤盐分淋洗,蒸发将地下水盐分吸出,土壤表层返盐。除此之外,极端天气的出现也会影响滨海湿地盐分的分布[26],风暴潮带来的海水倒灌咸水入侵,会加剧沿海地区水体和土壤盐度。

4.2 围垦年限对盐度的影响

江苏省滩涂围垦历史悠久,本文研究发现水体盐度与围垦年限23年的24.6 ms/cm相比,围垦年限40年仅有4.95 ms/cm,土壤盐度与围垦年限23年的4.12 ms/cm,围垦年限40年仅有0.91 ms/cm。解雪峰等[27]发现,与2007年垦区的16.00 g/kg相比,1954年垦区土壤盐分仅有0.54 g/kg,且1954年垦区基本属于非盐渍化土。Yin等[28]发现随着围垦时间增加,土壤盐分与开垦前7.57 g/kg相比,经过60年开垦仅有0.61 g/kg,基本达到大多数农作物生长的要求。研究结果均是随着人类活动强度和活动时间的增长,土壤盐渍化在逐渐降低。

4.3 土地利用方式对盐度的影响机制

Fei等[29]发现土地利用方式是影响盐度空间分布的另一重要机制。本文的研究结果发现随着土地利用演变路径的复杂性增加,土壤与水体的盐度逐渐降低。淡水养殖目标下,Ⅴ路径开垦时间短于Ⅳ路径,但是水体盐度基本相同。主要是因为Ⅴ路径由农田演变而来,水稻田淹灌结合化肥施用,改善盐分淋洗,降低了土壤返盐的出现。同时,“盐随水来,盐随水去”的稻田土壤盐分运移规律和水层的存在也抑制了土壤盐分的积聚[30],加快了土壤盐分的脱盐速度。Ⅵ路径由盐田演变而来的淡水养殖,盐度可以迅速下降主要是通过人为管理模式,浇灌淡水淋洗表层盐分。与前人研究结果对比发现,不同土地利用方式对盐度下降起到的效果也不同。许艳等[31]发现养殖塘在降低土壤盐分方面优于耕地,但土壤养分积累方面低于耕地。对研究黄河三角洲[32]不同土地利用方式下土壤盐度特征发现长期种植农作物,可有效降低盐分,且水稻田含盐量低于麦田与棉花地。对于半干旱地区河套平原[33],研究发现农田等人类活动可使盐分下降41%~79%。总体来看,盐度会随着土地利用方式复杂性的增加而下降,与前人研究结果相符。

5 结论

本文通过遥感影像目视解译、野外调查采样与实验分析,揭示围垦背景下土地利用时空演变与盐度之间的关系,研究结论如下:
(1)研究区土地利用动态度呈波动状态,先上升后下降。按照围垦目标(农田、淡水养殖、咸水养殖)、围垦时间与土地利用类型变化,将1987—2021年土地利用演变路径划分为七大类,依次为Ⅰ直接开垦农田、Ⅱ芦苇→农田、Ⅲ碱蓬→养殖塘→农田、Ⅳ碱蓬→芦苇→农田→淡水养殖、Ⅴ芦苇→淡水养殖、Ⅵ盐田→淡水养殖、Ⅶ碱蓬/光滩→咸水养殖。
(2)随着围垦历时的延长和土地利用变化,土壤与水体盐度均逐渐降低,土壤盐度波动趋于平稳且剖面层呈现聚集—波动均匀—均匀的分布特征。
(3)研究区农田演变路径下,土壤盐度由低到高依次为Ⅰ<Ⅱ<Ⅲ;土壤盐度剖面类型Ⅱ路径属于聚集型,Ⅰ与Ⅲ路径均属于波动均匀型。养殖塘演变路径下,水体盐度由低到高依次是Ⅳ<Ⅴ<Ⅵ<Ⅶ。由于Ⅶ路径距海距离较近均为咸水养殖,其余路径均为淡水养殖。
(4)滨海湿地盐度空间分布的影响机制主要包括自然本底因素与人类活动因素。探究本底因素中发现距海远近是影响盐度分布的基础。人类活动的适当干预,如通过淡水浇灌淋洗、农作物种植等方式,使土地利用演变路径复杂性增加,这样有助于降低土壤与水体盐度,同时增加了获取经济利益的途径。

真诚感谢匿名审稿专家在论文评审中付出的时间和精力,评审专家对本文研究综述、逻辑结构、语法表达等方面提出的诸多具体建议,使本文获益匪浅。

[1]
Alongi D M. Mangrove forests: Resilience, protection from tsunamis, and responses to global climate change. Estuarine Coastal & Shelf Science, 2008, 76(1): 1-13. DOI: 10.1016/j.ecss.2007.08.024.

DOI

[2]
王磊, 何冬梅, 江浩, 等. 江苏滨海湿地生态系统服务功能价值评估. 生态科学, 2016, 35(5): 169-175.

[Wang Lei, He Dongmei, Jiang Hao, et al. Evaluation of coastal wetland ecosystem services in Jiangsu province. Ecological Science, 2016, 35(5): 169-175.]. DOI: 10.14108/j.cnki.1008-8873.2016.05.023.

DOI

[3]
Long X H, Liu L P, Shao T Y, et al. Developing and sustainably utilize the coastal mudflat areas in China. Science of the Total Environment, 2016, 569-570(6): 1077-1086. DOI: 10.1016/j.scitotenv.2016.06.170.

DOI

[4]
张晓祥, 严长清, 徐盼, 等. 近代以来江苏沿海滩涂围垦历史演变研究. 地理学报, 2013, 68(11): 1549-1558.

DOI

[Zhang Xiaoxiang, Yan Changqing, Xv Pan, et al. Historical evolution of tidal flat reclamation in the Jiangsu coastal areas. Acta Geographica Sinica, 2013, 68(11): 1549-1558.]. DOI: 10.11821/dlxb201311010.

DOI

[5]
许艳, 濮励杰, 张润森, 等. 江苏沿海滩涂围垦耕地质量演变趋势分析. 地理学报, 2017, 72(11): 2032-2046.

DOI

[Xv Yan, Pu Lijie, Zhang Runsen, et al. Cropland quality evolution following coastal reclamation at the prograding tidal flats of Jiangsu province, China. Acta Geographica Sinica, 2017, 72(11): 2032-2046.]. DOI: 10.11821/dlxb201711009.

DOI

[6]
张长宽, 陈君, 林康, 等. 江苏沿海滩涂围垦空间布局研究. 河海大学学报(自然科学版), 2011, 39(2): 206-212.

[Zhang Changkuang, Chen Jun, Lin Kang, et al. Spatial layout of reclamation of coastal tidal flats in Jiangsu Province. Journal of Hohai University(Natural Sciences), 2011, 39(2): 206-212.]. DOI: 10.3876/j.issn.1000-1980.2011.02.017.

DOI

[7]
Ury E A, Wright J P, Ardón M, et al. Saltwater intrusion in context: Soil factors regulate impacts of salinity on soil carb-on cycling. Biogeochemistry, 2021, 157(8): 215-226. DOI: 10.1007/S10533-021-00869-6.

DOI

[8]
Zhu Y H, Song X L, Liu X L, et al. Influences of land reclamation on soil bacterial communities of abandoned salt pans in the Yellow River Delta. Land Degradation & Development, 2022, 33(16): 3231-3244. DOI: 10.1002/LDR.4384.

DOI

[9]
Wang F, Wang T, Gustave W, et al. Spatial-temporal patterns of organic carbon sequestration capacity after long-term coastal wetland reclamation. Agriculture, Ecosystems and Environment, 2023, 341(1): 108209. DOI: 10.1016/J.AGEE.2022.108209.

DOI

[10]
Sun Y G, Li X Z, Mander U, et al. Effect of reclamation time and land use on soil properties in Changjiang River Estuary, China. Chinese Geographical Science, 2011, 21(4): 403-416. DOI: 10.1007/s11769-011-0482-0.

DOI

[11]
Liu S B, Zhang Q Y, Li Z, et al. Soil salinity weakening and soil quality enhancement after long-term reclamation of different croplands in the Yellow River Delta. Sustainability, 2023, 15(2): 1173-1190. DOI: 10.3390/SU15021173.

DOI

[12]
Chen H Y, Ren A Y, Hu Z H, et al. Effects of irrigation and fertilization on soil salt migration, yield, and water use efficiency of winter wheat in the Yellow River Delta. Crop Science, 2022, 62(4): 1584-1602. DOI: 10.1002/CSC2.20753.

DOI

[13]
Ahmed Z, Ambinakudige S. Does land use change, waterlogging, and salinity impact on sustainability of agriculture and food security? Evidence from southwestern coastal region of Bangladesh. Environmental Monitoring and Assessment, 2022, 195(1): 74-74. DOI: 10.1007/s10661-022-10673-w.

DOI PMID

[14]
方仁建, 沈永明, 时海东. 基于围垦特征的海滨地区景观格局变化研究: 以盐城海岸为例. 生态学报, 2015, 35(3): 641-651.

[Fang Renjian, Shen Yongming, Shi Haidong. The changes of coastal wetland landscape pattern based on the charac-teristics of reclamation: A case study in coastal wetland of Yancheng, Jiangsu province, China. Acta Ecologica Sinica, 2015, 35(3): 641-651.]. DOI: 10.5846/stxb201401040023.

DOI

[15]
刘奕琳. 盐城海滨湿地生态系统的研究. 南京: 南京林业大学硕士学位论文, 2006: 39-40.

[Liu Yilin. Study on the ecological system in Yangcheng costal wetlands. Nanjing: Master Dissertation of Nanjing Forestry University, 2006: 39-40.]

[16]
宫宁, 牛振国, 齐伟, 等. 中国湿地变化的驱动力分析. 遥感学报, 2016, 20(2): 172-183.

[Gong Ning, Niu Zhenguo, Qi Wei, et al. Driving forces of wetland change in China. Journal of Remote Sensing, 2016, 20(2): 172-183.]. DOI: 10.11834/jrs.20164210.

DOI

[17]
严长清, 孙伟, 陆效平, 等. 江苏省沿海滩涂土地利用与生态保护研究. 生态科学, 2007, 26(3): 263-268.

[Yan Changqing, Sun Wei, Lu Xiaoping, et al. Study on coastal wetlands use and its ecological protection of Jiangsu province. Ecological Science, 2007, 26(3): 263-268.]. DOI: 10.3969/j.issn.1008-8873.2007.03.013.

DOI

[18]
姜群鸥, 孙驷阳, 邓祥征, 等. 土地利用动态变化定量模拟方法的适用性评价. 应用基础与工程科学学报, 2019, 27(2): 295-311.

[Jiang Qunou, Sun Siyang, Deng Xiangzheng, et al. Applicability evaluation for simulation models of the land use dynamics. Journal of Basic Science and Engineering, 2019, 27(2): 295-311.]. DOI: 10.16058/j.issn.1005-0930.2019.02.006.

DOI

[19]
王力, 牛铮, 尹君, 等. 基于遥感技术的小城镇土地利用变化分析: 以黄骅镇为例. 资源科学, 2006, 28(5): 68-75.

[Wang Li, Niu Zheng, Yin Jun, et al. Analyzing land use change of small towns based on RS technology: A case study in Huanghua town. Resources Science, 2006, 28(5): 68-75.]. DOI: 10.3321/j.issn:1007-7588.2006.05.011.

DOI

[20]
刘瑞, 朱道林. 基于转移矩阵的土地利用变化信息挖掘方法探讨. 资源科学, 2010, 32(8): 1544-1550.

[Liu Rui, Zhu Daolin. Methods for detecting land use changes based on the land use transition matrix. Resources Science, 2010, 32(8): 1544-1550.]

[21]
李鹏, 濮励杰, 朱明, 等. 江苏沿海不同时期滩涂围垦区土壤剖面盐分特征分析: 以江苏省如东县为例. 资源科学, 2013, 35(4): 764-772.

[Li Peng, Pu Lijie, Zhu Ming, et al. Characteristics of soil profile salt in tidal flats under different reclamation years in Jiangsu province. Resources Science, 2013, 35(4): 764-772.]

[22]
Xu Y, Pu L J, Zhu M, et al. Spatial variation of soil salinity in the coastal reclamation area, eastern China. Journal of Coastal Research, 2014, 30(2): 411-417. DOI: 10.2112/JCOASTRES-D-13-00078.1.

DOI

[23]
李红丽, 丁国栋, 董智, 等. 中捷农场滨海盐碱地立地类型划分及其植被恢复技术. 中国水土保持科学, 2010, 8(5): 86-91.

[Li Hongli, Ding Guodong, Dong Zhi, et al. Site classification and vegetation restoration technigue of coastal saline land in the Zhongjie farm. Science of Soil and Water Conservation, 2010, 8(5): 86-91.]. DOI: 10.16843/j.sswc.2010.05.017.

DOI

[24]
张华兵, 刘红玉, 李玉凤, 等. 自然条件下盐城海滨湿地土壤水分/盐度空间分异及其与植被关系研究. 环境科学, 2013, 34(2): 540-546.

[Zhang Huabin, Liu Hongyu, Li Yufeng, et al. Spatial variation of soil moisture/salinity and the relationship with vegetation under natural conditions in Yancheng Coastal Wetland. Environmental Science, 2013, 34(2): 540-546.]. DOI: 10.13227/j.hjkx.2013.02.019.

DOI

[25]
姚荣江, 杨劲松, 刘广明, 等. 黄河三角洲地区典型地块土壤盐分空间变异特征研究. 农业工程学报, 2006, 22(6): 61-66.

[Yao Rongjiang, Yang Jinsong, Liu Guangming, et al. Spatial variability of soil salinity in characteristic field of the Yellow River Delta. Transactions of the Chinese Society of Agricultural Engineering, 2006, 22(6): 61-66.]. DOI: 10.3321/j.issn:1002-6819.2006.06.012.

DOI

[26]
Margaret C, Josep B, Angelia L S, et al. Experimental influence of storm-surge salinity on soil greenhouse gas emissions from a tidal salt marsh. Science of the Total Environment, 2019, 686(6): 1164-1172. DOI: 10.1016/j.scitotenv.2019.06.032.

DOI

[27]
解雪峰, 濮励杰, 朱明, 等. 基于典范对应分析的滨海滩涂围垦区景观格局与土壤盐渍化关系. 地理研究, 2017, 36(3): 495-505.

DOI

[Xie Xuefeng, Pu Lijie, Zhu Ming, et al. Relationship between landscape patterns and soil salinity based on canoni-cal correspondence analysis in coastal reclamation area. Geographical Research, 2017, 36(3): 495-505.]. DOI: 10.11821/dlyj201703008.

DOI

[28]
Yin A J, Zhang M, Gao C, et al. Salinity evolution of coastal soils following reclamation and intensive usage, Eastern China. Environmental Earth Sciences, 2016, 75(18): 1280-1291. DOI: 10.1007/s12665-016-6095-2.

DOI

[29]
Fei Y H, She D L, Fang K. Identifying the main factors contributing to the spatial variability of soil saline-sodic properties in a reclaimed coastal area. Vadose Zone Journal, 2018, 17(1): 1-11. DOI: 10.2136/vzj2018.06.0118.

DOI

[30]
Liu G M, Yang J S, Yao R J. Electrical conductivity in soil extracts: Chemical factors and their intensity. Pedosphere, 2006, 16(1): 100-107. DOI: 10.1016/S1002-0160(06)60031-3.

DOI

[31]
Xu Y, Pu L J, Zhang R S, et al. Effects of agricultural reclamation on soil physicochemical properties in the mid-east-ern coastal area of China. Land, 2021, 10(2): 142-142. DOI: 10.3390/LAND10020142.

DOI

[32]
邹晓霞, 王维华, 王建林, 等. 垦殖与自然条件下黄河三角洲土壤盐分的时空演化特征研究. 水土保持学报, 2017, 31(2): 309-316.

[Zou Xiaoxia, Wang Weihua, Wang Jianlin, et al. Time-spatial revolution characteristics of soil salinity in the Yellow River Delta under different land cultivation and natural conditions. Journal of Soil and Water Conversation, 2017, 31(2): 309-316.]. DOI: 10.13870/j.cnki.stbcxb.2017.02.050.

DOI

[33]
景宇鹏, 连海飞, 李跃进, 等. 河套盐碱地不同利用方式土壤盐碱化特征差异分析. 水土保持学报, 2020, 34(4): 354-363.

[Jing Yupeng, Lian Haifei, Li Yuejin, et al. Analysis on the difference of soil salinization characteristics in Hetao saline-alkali soil with different land use. Journal of Soil and Water Conversation, 2020, 34(4): 354-363.]. DOI: 10.13870/j.cnki.stbcxb2020.04.051.

DOI

文章导航

/