研究论文

福建海坛岛海岸沙地风蚀坑形态动力学与形态演化特征

  • 张绍云 , 1, 2 ,
  • 董玉祥 , 2, 3 ,
  • 哈斯额尔敦 4 ,
  • 黄德全 2
展开
  • 1.西南林业大学地理与生态旅游学院,昆明 650224
  • 2.中山大学地理科学与规划学院/广东省城市化与地理环境空间模拟重点实验室,广州 510275
  • 3.广州新华学院资源与城乡规划学院,广州 510520
  • 4.北京师范大学地理科学学部自然资源学院,北京 100875
董玉祥(1964-),男,河南西平人,教授,博士生导师,研究方向为海岸风沙地貌和土地退化研究。E-mail:

张绍云(1992-),男,云南曲靖人,博士,讲师,研究方向为水土保持与荒漠化研究。E-mail:

收稿日期: 2022-11-16

  录用日期: 2023-10-24

  网络出版日期: 2024-01-09

基金资助

国家自然科学基金项目(41871006)

Morphodynamics and morphological evolution characteristics of blowouts dunefields: A case study in Haitan Island, Fujian

  • ZHANG Shaoyun , 1, 2 ,
  • DONG Yuxiang , 2, 3 ,
  • HASI Eedun 4 ,
  • HUANG Dequan 2
Expand
  • 1. School of Geography and Ecotourism, Southwest Forestry University, Kunming 650224, China
  • 2. School of Geography and Planning, Sun Yat-sen University/Guangdong Key Laboratory for Urbanization and Geo-simulation, Guangzhou 510275, China
  • 3. School of Resources and Planning, Xinhua College of Guangzhou, Guangzhou 510520, China
  • 4. School of Natural Resources, Faculty of Geographical Science, Beijing Normal University, Beijing 100875, China

Received date: 2022-11-16

  Accepted date: 2023-10-24

  Online published: 2024-01-09

摘要

风蚀坑作为一种沙地负地貌形态一直是风沙地貌学关注的焦点,对风蚀坑的研究有利于更好理解其形成演化及其动力机制。选择海岸风蚀坑发育具有典型代表性的海坛岛沿岸沙丘区,以碟形、半碗形、槽形风蚀坑为研究对象,利用RTK GPS技术及二维超声风速仪对风蚀坑形态重复测量与气流观测,采用“空代时”方法探讨了风蚀坑演化模式及其形态与气流反馈机制。结果表明:① 碟形风蚀坑形态沿盛行风向向侵蚀盆后部扩大加深并形成陡坎,入口则沿盛行风向呈后退趋势;半碗形风蚀坑形态沿盛行风向扩展并突入侵蚀壁形成破口,不断扩大加深;槽形风蚀坑侵蚀盆沿盛行风向向积沙区扩展且东侧壁形成分叉并逐渐向后部延伸。② 来流风向与风蚀坑形态影响坑体内气流场分布,而坑体内部不同部位流速差异则促使不同部位发生侵蚀或堆积。③ 风蚀坑演化模式为沙斑或缺口的产生→碟形风蚀坑→半碗形风蚀坑→槽形风蚀坑扩大并消亡四个阶段,地表植被在整个演化过程中起关键作用。其中,受形态与深度限制促使半碗形风蚀坑向槽形风蚀坑转变,槽形风蚀坑则不断扩大形成分叉逐渐走向消亡。

本文引用格式

张绍云 , 董玉祥 , 哈斯额尔敦 , 黄德全 . 福建海坛岛海岸沙地风蚀坑形态动力学与形态演化特征[J]. 地理研究, 2024 , 43(1) : 255 -271 . DOI: 10.11821/dlyj020221266

Abstract

Blowouts, developed over the dunefield, as a type of coastal aeolian landforms, have been the focus of aeolian geomorphology research. Meanwhile, the core issue of studying blowout is the model of development and evolution of blowout and feedback mechanism between blowout aerodynamic and morphodynamics. Choosing the typical area of blowouts developing in Haitan Island, we investigated the morphodynamics and aerodynamics of the saucer, half-bowl and trough blowouts by conducting field monitoring. Real Time Kinematic GPS was used to topography survey and 2D ultrasound anemometers were to explore wind flow dynamics. "Space for time substitution" has been used to explore the evolution models of blowouts and feedback mechanism between aeolian process and blowouts morphological development. The results show that: (1) The trailing edge of saucer blowout enlarges and erosional basin gets steeper till a scarp occurs along prevailing wind direction. The entrance tends to recede as wind flow approaching. Half-bowl blowout expands and is deepened and the erosional wall is broken into the outlet. The erosional basin of trough blowout enlarges into deflation zone, the east-hand erosional wall is broken and extends the trailing edge. (2) The airflow distribution pattern within the blowout is influenced by wind direction and blowout topography, and the flow velocity fluctuation within blowout determine the erosion and deposition at different spots. (3) The evolution model for blowout can be concluded that erosion notches are initiated, and developed into a saucer blowout, till enlarged into the half-bowl shape blowout, turn into the trough blowout and die out. The vegetation cover plays an important role in the entire evolution cycles, especially the half-bowl shape blowout transfers into trough blowout, and trough blowout enlarges until it dies out, as a result of topography influence and depth limits. Therefore, by analyzing and exploring the morphological changes, morphology and dynamics mechanisms, and evolution patterns of blowouts in the degenerated area of Haitan Island, this study will provide an in-depth understanding of the morphology-dynamics feedback mechanisms, and evolution patterns in the degradation process of coastal blowouts, and will be conducive to providing better scientific guidance for the prevention and treatment of coastal blowouts, so as to better cope with global climate change in terms of the destruction of coastal littoral habitats, erosion of foredunes and shoreline retreat, and the human properties lost, which is of great scientific significance and application value.

1 引言

风蚀坑是指沙质沉积物因风蚀而形成的碟形、杯形、槽形的凹地,风蚀搬运的风成沙堆积于坑后组成不同的地貌形态也属于风蚀坑的一部分,且风蚀坑形态各不相同[1,2]。在全球多数海岸,以海滩—沙丘为界面的多个风蚀坑,不仅是海滩与前丘或岸后沙丘之间沉积物转移的重要通道,也是海岸线侵蚀后退、岸后固定沙丘活化的重要标志,并就风蚀坑形态[3]、气流[4-8]、蚀积速率[1,9]和演化过程[3,10,11]等进行了大量研究并取得重要进展。我国关于风蚀坑的研究则主要集中在内陆呼伦贝尔、浑善达克、科尔沁、嫩江及青藏高原等沙地和沙漠化地区[12,13],它的产生是土地退化的一种表现形式,并就风蚀坑形态类型分类[14,15]、气流运动模式[16-20]、演化模式[13,21,22]及表面沉积物粒径[23-25]等进行了大量研究,而关于我国沿海风蚀坑的研究却鲜有报道。
综观全球不同区域风蚀坑形成与演化方面的研究,发现每个地方一提及风蚀坑的形成演化,均阐明每个沙丘系统在当地条件的不同及所产生的影响,都具有重要的时间过程,以建立风蚀坑形态演化[3,10,13,21,26-29]。因此,对风蚀坑形成演化的研究,是了解不同区域风蚀坑形成环境、物质基础、动力条件与发育过程的基础[30]。然而,目前关于风蚀坑的形成演化主要采用航空照片、遥感影像、激光雷达影像从长期尺度形态变化入手,分析风蚀坑的形态变化与长期气象数据关系,从而建立风蚀坑的形成演化模式[13,31-33]。但区域风或远距离气象数据估算的输沙量可能比实际风蚀坑内部输沙率低2~3个数量级[1,34],同时风蚀坑内气流也并不符合对数分布特征[8,35],因此应加强风蚀坑的实测研究,以弥补风蚀坑长期演变研究之不足。
当气流靠近或进入风蚀坑时,因受地形变化而发生气流的压缩与膨胀及其流速改变与气流偏转,促使风蚀坑内输沙过程与蚀积格局发生改变,进而又反作用于近地表气流,促使风蚀坑产生形态动力反馈效应,该形态—动力过程一直是风蚀坑研究的核心问题。在风蚀坑形成发育过程中,其经历了不同阶段的演变,仅Gares等对同一区域相同风况条件下,采用“空代时”方法对不同发育阶段风蚀坑形态与气流场模式开展了详细研究[10]。大部分研究则主要是针对单个风蚀坑的气流模式研究较多,尤其是成熟阶段的风蚀坑[1,36-39]。综上,依据海岸前丘风蚀坑循环演化模型以及沙丘区供应受限的风蚀坑重新活化概念性框架模型[10,26],选择海坛岛海岸沙丘区具有典型代表性的碟形、半碗形、槽形风蚀坑为研究对象,通过对风蚀坑形态重复测量及气流观测,采用“空代时”的方法[10,40-42],分析风蚀坑的形态变化与动力过程,以探讨风蚀坑形成演化模式。

2 风蚀坑选择与试验方法

2.1 研究区概况

研究区位于台湾海峡西北岸福州市海坛岛流水镇沿岸,台湾海峡喇叭口强劲的向岸盛行风、来自闽江的丰富沙源供给以及岛上岬湾遍布的适宜地形空间,塑造了丰富的海岸风沙地貌,其地层主要由第四纪晚期沉积物构成,厚度一般不超过50m,风沙地貌面积约为86.85km2,发育了形态典型的冢形前丘、横向前丘、海岸沙席、灌丛沙丘、爬坡沙丘和风蚀坑等海岸风沙地貌[43-45]图1a)。该区年均风速高达4.8m/s,每年除3—6月以SSW 风向为主外,其余各月的盛行风向均为NNE向,属低风能环境、中等变率、锐双峰型风况[46]49。自1981—2010年台风共影响平潭岛106次,一般每年2~5次,多出现在7—9月,常引发10m/s以上大风和风暴潮,期间受台风影响最大风速为25m/s,对风沙地貌形态演变产生重要影响[44,45]
图1 流水镇风蚀坑分布

注:图1a基于自然资源部地图技术审查中心标准地图(审图号为GS(2019)1823号)绘制,底图边界无修改。

Fig. 1 Distribution of blowout in Liushui Town

2.2 风蚀坑选择

流水镇沿岸沙丘区的海岸线走向与东北盛行风近垂直分布(图1b),是整个海坛岛受东北盛行风影响最强盛区域之一,发育了大量风蚀坑。海滩沉积物粒度较粗(0.749~1.814Φ),但受盛行风与岸线的近垂直叠加影响,该区域长期以侵蚀为主[46]131。早期形成的风沙沉积物现处于沙源枯竭并不断受到风力吹蚀改造的状态,已无明显的现代风沙堆积[47]。为此,选取海坛岛流水镇沿岸沙丘区碟形、半碗形、槽形风蚀坑开展实地测量与观测(图1b)。选择的3个风蚀坑类型分别为:碟形风蚀坑,主要发育于大型残丘斜坡上部呈圆形,整个风蚀坑侧壁均为老鼠艻覆盖,侵蚀盆则部分被老鼠艻覆盖,东侧壁边缘为陡坎,高约1.5 m(图1c);半碗形风蚀坑发育于雏形前丘后部,形态呈半圆形,侵蚀盆则以人工芦竹为主,两侧壁中上部及入口区域均为老鼠艻覆盖,东侧壁稍高于西侧壁,且东侧壁坡度较缓(图1d);槽形风蚀坑则发育于与木麻黄林交界处并凸入进木麻黄林内部呈长槽形,两侧壁高度相差较小,坡度则表现为入口区东侧壁低于西侧壁,出口区则相反(图1e)。第一次测量时碟形、半碗形和槽形风蚀坑具体形态参数见表1
表1 风蚀坑形态特征统计

Tab. 1 Statistics on morphological characteristics of blowout

风蚀坑 面积
(m2
长轴走向
(°)
长轴长
(m)
宽度
(m)
深度
(m)
碟形 59.13 218 6.03 6.58 0.80
半碗形 135.65 140 12.20 11.03 2.20
槽形 408.76 185 23.70 15.00 2.20

2.3 地形测量

风蚀坑形态测量主要采用RTKGPS测量技术(精度:水平0.8cm+1ppm×D,高程1.5cm+1ppm×D),首先采用全站仪对研究区进行测量获取已知3个固定点位,后每次观测时采用单站差分多点拟合的RTK测量技术与已知3个固定点位拟合后开展测量,其测量精度可达到2~3cm[48],满足海岸沙丘形态变化测量的精度要求,并已成功应用于海岸沙地相关研究中[42,44,45]。依据研究区碟形、半碗形和槽形风蚀坑形态大小,分别设立了148个、380个、414个典型测量点,具体是对风蚀坑内部及其边缘1m区域内采用0.5m×0.5m间隔进行采样,风蚀坑外围区域采用1m×1m间隔进行采样,以获取多次(测量1:2020.07、测量2:2020.08、测量3:2021.01、测量4:2021.05、测量5:2021.07、测量6:2021.10、测量7:2022.01)风蚀坑形态特征,进而对比分析不同类型风蚀坑整体及其典型部位形态的变化(图1c~图1e)。

2.4 气流观测

气流观测主要是在地形测量3期间开展,根据碟形、半碗形和槽形风蚀坑形态特征,分别在风蚀坑内部及其周边选取11个气流观测点位,其中1个气流观测点为参考点,布设于后滨或距风蚀坑5m外较平坦区域(见图2中A1、B1、C1)。观测前,在参考点0.3m、2m处放置2个二维超声风速仪作为参考站,以衡量观测期间风蚀坑外部的环境风况。其余10个风速仪则布设在风蚀坑内不同部位0.3 m高度处,以观测风蚀坑表层气流场。12个二维超声风速仪(Windsonic)均为英国Gill公司生产,观测气流数据采集频率为1s,记录1min的平均气流。同时,采用烟雾弹对风蚀坑进行气流示踪(碟形风蚀坑较浅,未进行烟雾弹示踪),以弥补野外观测过程中仪器的离散性问题。观测气流数据处理则由于风蚀坑内气流不符合对数分布[9,35],为衡量风速在风蚀坑内各部位的增减速情况,采用相对风速比(δs)对0.3m和2.0m处的两个参考风速计测量的原始风速数据进行归一化[49],以减少临近风速的时间波动影响。同时,采用气流稳定系数(Fs)衡量风蚀坑内各测点气流的湍流度,阈值为0.2[50]
图2 流水镇风蚀坑气流观测点

Fig. 2 Airflow observation sites of blowout in Liushui Town

3 结果分析

3.1 风蚀坑形态变化

整个观测期间,碟形、半碗形、槽形风蚀坑形态均呈现扩大加深的趋势,但不同部位存在明显的差异(表2图3)。碟形风蚀坑测量1~测量3期间风蚀坑长轴增长0.22m,东侧壁前部外侧坍塌缩小、后部则向外扩展;测量3~测量4期间侵蚀盆后部侵蚀深度达1m。测量3~测量7期间,风蚀坑长轴向积沙区延伸达0.49m,东侧壁前部呈持续后退趋势、后部则表现为扩张趋势(表2图3a)。半碗形风蚀坑在测量1~测量3期间,西侧壁出现侵蚀,并在长轴向上突入积沙区形成破口;测量3~测量4半碗形风蚀坑破口继续向积沙区扩展达0.47 m,侵蚀盆加深;测量3~测量7风蚀坑破口扩大并继续延伸达2.13m,西侧壁扩展速度明显高于东侧壁,侵蚀盆深度相对于测量3~测量4期间则呈现下降趋势(表2图3b)。槽形风蚀坑测量1~测量3期间长轴向积沙区扩展0.21m,左、右两侧壁侵蚀程度相同,东侧壁分叉则向外扩展;测量3~测量4出口向积沙区持续扩展0.42m,东侧壁分叉达0.3m,侵蚀盆以加深为主;测量3~测量7出口向积沙区扩展达4.9m,东侧壁分叉扩展1.2m,西侧壁则表现为气流下部掏蚀坍塌扩大0.35m,侵蚀盆呈加深趋势(0.85m)(表2图3c)。
表2 不同时段风蚀坑侵蚀/堆积形态参数

Tab. 2 Morphological parameters of blowout erosion/accumulation at different time periods (m)

类型 测量时段
入口 出口 西侧壁(前部, 后部) 东侧壁(前部, 后部) 侵蚀盆
碟形 测量1~测量3 -0.29 0.51 0, 0 -0.47, 0.35
测量3~测量4 0 0.14 0, 0 0.11, 0.28 -0.33
测量3~测量7 -0.29 0.78 0, 0 -0.44, 0.81 -0.68
测量1~测量7 -0.58 1.29 0, 0 -0.91, 1.16
半碗形 测量1~测量3 0 0.60 0, 0.25 0, 0.23
测量3~测量4 0 0.74 0, 0.24 0, 0.21 -0.44
测量3~测量7 0 2.13 0, 0.83 0, 0.34 -0.21
测量1~测量7 0 2.19 0, 1.08 0, 0.57
槽形 测量1~测量3 0 0.21 0, 0.32 0, 0.33
测量3~测量4 0 0.42 0, 0.18 0, 0.24 0.32
测量3~测量7 0 4.90 0, 0.35 0, 0.76 0.85
测量1~测量7 0 5.11 0, 0.67 0, 1.09

注:“—”表示无数据,“0”表示几乎无变化。

图3 不同阶段风蚀坑形态变化

Fig. 3 Morphological change of blowout in different stages

3.2 风蚀坑内风速与风向模式

碟形、半碗形、槽形风蚀坑的参考站合成风速、风向分别为1.04m/s、48°,1.4m/s、338°,8.23m/s、17°,风蚀坑长轴走向分别为218°、140°、185°,与参考风向夹角分别为10°、18°、12°,气流稳定系数(Fs)分别为0.23、0.47、0.06(表3)。因此,观测期间进入风蚀坑内的气流均为倾斜风,且气流波动明显[36]
表3 参考站风况条件(z=2 m)

Tab. 3 Wind conditions during airflow observations measured at the top of the reference tower (z=2.0 m)

类型 合成风速
(m/s)
合成风向
(°)
风速
标准差
风向
标准差
Fs
碟形 1.04 48 0.25 19 0.23
半碗形 1.40 338 0.34 23 0.47
槽形 8.23 17 0.45 2 0.06

注:z为风杆的高度。

3.2.1 风蚀坑内气流场结构

当来流风向与碟形坑体夹角呈10°进入时,入口流速为参考风速的112.23%,出口流速为67.59%;流向与风蚀坑入口、出口夹角均为9°(图4a)。气流进入坑体后扩散呈3股气流进入风蚀坑,一股流向由风蚀坑入口向侵蚀盆、侵蚀盆后部、积沙区流出风蚀坑,流向与风蚀坑长轴走向平行;一股气流沿西侧壁向后部流动,流向则轻微向西侧壁偏转;另一股气流沿东侧壁向后部流动,流向呈向东侧壁轻微偏转。
图4 风蚀坑不同来流风向变化

Fig. 4 Variation of wind direction of different approaches to blowout

当来流风向与半碗形坑体夹角呈18°进入时,入口流速为参考风速的57.7%,出口流速为53.42%;流向与风蚀坑入口夹角为43°,与风蚀坑出口呈19°(图4b)。受雏形前丘影响,气流主要由海滩沿雏形前丘脚到达风蚀坑入口,流向发生明显转向达42°。整个坑体前部流向发生复杂变化,坑体流向均向西侧壁偏转,在坑体中后部流向逐渐恢复。
当来流风向与槽形坑体夹角呈12°进入时,入口流速为参考风速的76.82%,出口流速为77.41%;流向与入口相差5°,与出口则相差11°(图4c)。气流进入风蚀坑后立即发生辐散,同时由于风蚀坑形态较大,沿东侧壁前部进入气流也发生明显辐散,并叠加入口来流风向促使侵蚀盆与西侧壁流向整体向西偏转;东侧壁沿侧壁平行流动。长轴向上来流进入风蚀坑内立即发生扩散,但受东侧壁进入气流流向影响促使长轴向流向整体向西偏转,气流流向在侵蚀盆中部偏转最大为35°,后向侵蚀盆后部流向逐渐恢复至来流风向。

3.2.2 风蚀坑内相对风速比

在碟形风蚀坑长轴向上,气流呈加速到达风蚀坑入口(δs为0.122),后减速扩散到达侵蚀盆底(δs为-0.169),并随地形抬升在侵蚀盆后部呈辐合加速趋势,到达积沙区顶部则呈扩散减速(δs为-0.324)趋势(图4a图5a)。西侧壁则随着地形抬升相对风速比呈不断加速趋势(δs为-0.743~-0.008),东侧壁变化趋势与西侧壁相同。在整个风蚀坑内,Fs除在东侧壁高于0.2,其余均低于0.2说明气流较为稳定,但在东侧壁受形态影响存在湍流分布。
图5 风蚀坑相对风速比(δs)与气流稳定系数(Fs)变化

Fig. 5 Change of relative wind speed ratio (δs) and airflow stabilization coefficient (Fs) of blowout

半碗形风蚀坑长轴向上气流由海滩减速进入风蚀坑侵蚀盆(δs为-0.194 ~-0.755),后加速到达积沙区顶部(δs为-0.755~-0.466)(图4b图5b)。西侧壁相对风速比则随着地形抬升呈先减速后加速的趋势。东侧壁相对风速比则随地形抬升呈减速趋势(δs为-0.583~-0.784)。同时,在整个风蚀坑内Fs均表现为大于0.2,说明观测期间风蚀坑内气流稳定性较差,且烟雾弹示踪显示存在螺旋流分布。
槽形风蚀坑长轴向上气流相对风速比由参考点加速到达风蚀坑入口(δs为-0.464~-0.232),后立即扩散并在风蚀坑入口后部气流减速(δs为 -0.709),并加速流经侵蚀盆、侵蚀盆后部、积沙区顶(δs为-0.544~ -0.228)(图4c图5c)。Fs则表现为与相对风速比呈反向相关,即相对风速比上升则Fs稳定性较强,但整体均低于0.2。西侧壁则表现为随着地形抬升,相对风速比逐渐上升(δs为-0.77~-0.626)。东侧壁则表现为随着地形抬升,气流加速沿东侧壁向后部流动(δs为-0.713~-0.564)。此外西侧壁、东侧壁Fs与相对风速比也呈反向相关,均低于0.2。同时烟雾弹示踪显示整个观测期间均未出现螺旋流。

4 讨论

4.1 区域环境对风蚀坑发育的影响

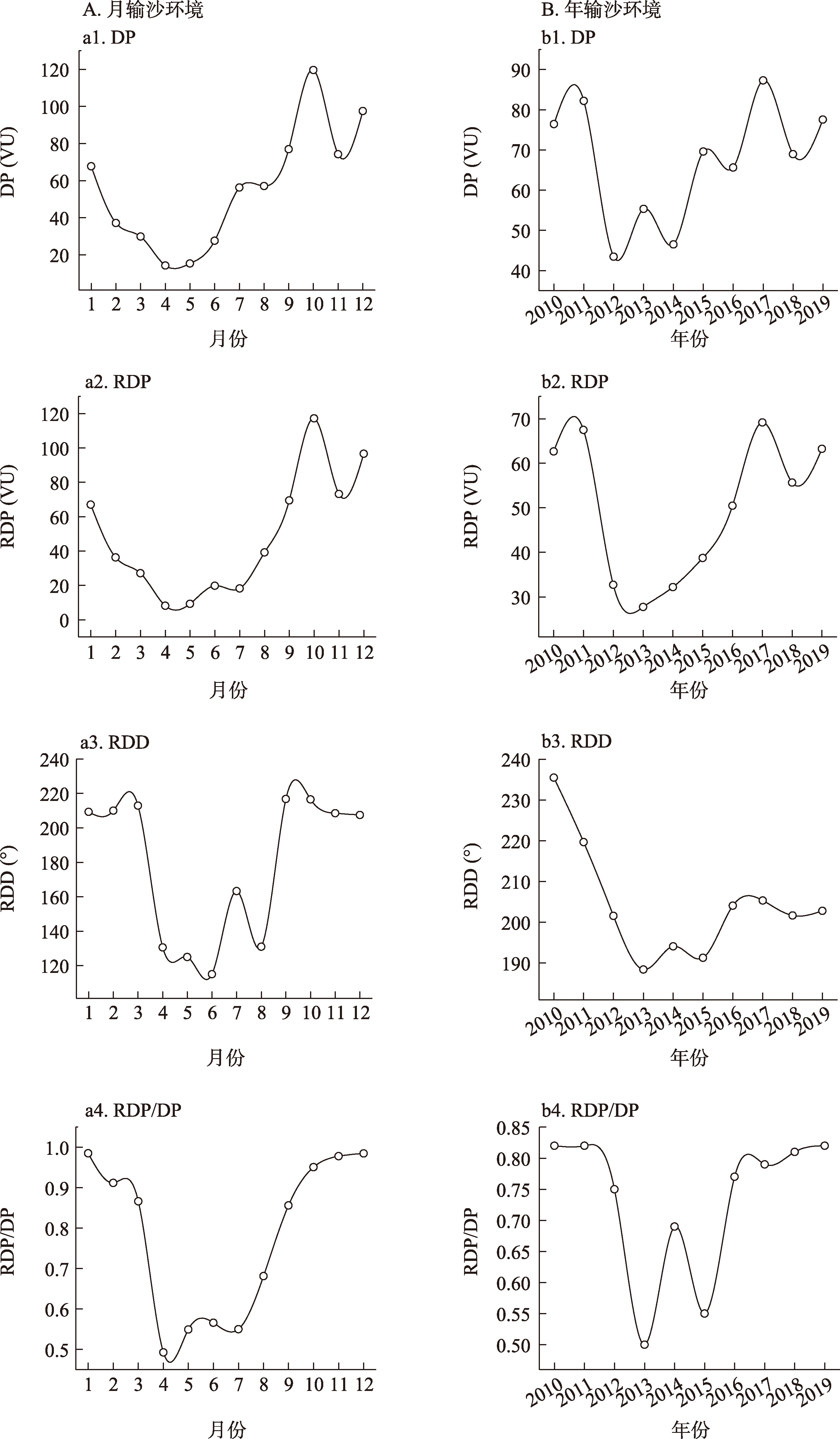
输沙势不仅可以评价风能环境的强弱,也可以评价区域风况的方向组成,是判别风沙地貌区长期输沙环境的重要依据。根据吴正等[51]华南海岸风沙地貌研究结果将海坛岛起沙风速定义为5m/s,并基于输沙势定义计算[52,53]得出海坛岛长期风沙环境(图6)。近10年海坛岛输沙势为67.33VU,风向变率为0.73,合成输沙势方向为SSW,属低风能环境中等变率,风向为钝双峰型或锐双峰风况(图6B)。季节上,输沙势(DP)、合成输沙势(RDP)均表现为春夏季(3—8月)低值区,秋冬季(9—次年2月)高值区(图6A)。合成输沙风向(RDD)春夏季波动幅度较大,而秋冬季波动较小。春夏季风向变率(RDP/DP)既出现高变率(<0.3),也出现中等变率(0.3~0.8)和低变率(>0.8),其风况表现为复杂或钝双峰型风况、钝双峰型或锐双峰风况、宽单峰或窄单峰风况的特征。而秋冬季则表现为中等变率(0.3~0.8)与低变率(>0.8)特征。主要是由于每年9—次年2月海坛岛受蒙古高压控制盛行东北风,起沙风频率较高,风速相对较大,合成输沙势方向、风向变率波动幅度较小,分别在186.06°~240.35°、0.83~1之间波动;加之这一时期降雨较少,占全年降雨量的29.83%,地表湿度较低且干旱性增强,沙粒间内聚力和阈值降低,更容易被风吹蚀;同时部分植被死亡或被沙粒埋没,植被覆盖度下降,成片风沙地貌裸露。因此,该时期是海岸风蚀的主要发生期,盛行东北风对流水镇沿岸风蚀坑的形成演化至关重要。对野外32个风蚀坑调查统计显示,流水镇沿岸风蚀坑走向主要以S、SSW、SW方向为主,占总风蚀坑的77.78%(图7见第264页)。并将流水镇沿岸风蚀坑走向与研究区RDD(图6B图7见第264页)对比发现,该区域风蚀坑走向与合成输沙风向大致相同,说明合成输沙方向对风蚀坑的发育具有重要影响。
图6 2010—2019年海坛岛DP、RDP、RDD、RDP/DP变化特征

Fig. 6 DP, RDP, RDD and RDP/DP variation characteristics of Haitan Island from 2010 to 2019

图7 流水镇风蚀坑走向与输沙势特征

Fig.7 Blowout direction and sand transport potential characteristics of Liushui Town

4.2 风蚀坑内气流与形态反馈机制

研究表明,进入碟形风蚀坑入口背风侧的气流发生分离减速,并在风蚀坑底部重新附着,沿出风口坡面逐渐加速上升,这在本研究中得到证实[17]。也有学者认为,当气流进入碟形风蚀坑入口背风侧时则出现反向流,且在积沙区坡顶达到最大,并得出碟形风蚀坑都是沿着与盛行风向相反的方向扩展,这在本研究中并未得到证实[10,17,32,54]。在本研究中,当气流进入碟形风蚀坑后并未形成反向流,同时在积沙区顶部流速低于侵蚀盆后部区域,这是由于碟形风蚀坑较浅,在侵蚀盆后部气流辐合加速流出出口并扩散的同时,风蚀坑出口处并未形成积沙区(沙影),因此风速下降(图4a图5a)。斜向气流条件下,碟形风蚀坑内气流进入坑体后呈先减速后加速趋势。在风蚀坑入口流速达到最大值,主要是入口前部为迎风坡促使气流加速,但受老鼠艻控制入口并未发生明显侵蚀。出口斜坡气流呈明显加速,在测量3~测量7中出口形态呈向外扩张趋势,说明流速对碟形风蚀坑侵蚀至关重要。
碗形风蚀坑在上风向侵蚀壁上的气流呈减速趋势,下风向侵蚀壁上气流则呈加速趋势是普遍存在的[4,7]。同时,风蚀坑内的气流侵蚀力受侵蚀盆深度及其边缘陡峭的侵蚀壁控制[39]。在半碗形风蚀坑内,风蚀坑入口与槽形风蚀坑入口类似,但气流运动模式与Hesp等[4]、Smyth等[7]研究结果不同,与Smyth等[39]研究中侵蚀盆后部气流运动模式相同,表现为气流侵蚀力受侵蚀盆及其边缘、较深且陡峭的侵蚀壁控制较强。斜向气流条件下,半碗形坑体内气流在出口流速最大且风力侵蚀最强,结合测量3~测量7风蚀坑出口形态扩大,且扩展方向与风蚀坑长轴走向一致(图3b图5b)。这一结果与Luo等[13]研究结果一致,碗状坑内最大风力侵蚀出现在下风向,促使碗状坑长宽比例的增大,同时贴地层气流指向风蚀坑西侧壁,坑体内的螺旋流(烟雾弹示踪显示)也加速风蚀坑的生长,贴地层气流通过不断掏蚀两侧陡坎下层沙物质,使风蚀坑的横向扩张以坍塌生长为主。此外,半碗形风蚀坑内Fs值均大于0.2,说明风蚀坑气流稳定性较差且存在螺旋流,但在海滩参考点也大于0.2,这可能是整个观测期间风速较小所导致,有待进一步分析(图4b图5b)。
Hesp等[55]研究认为,当来流风向倾斜进入槽形风蚀坑后,流向在风蚀坑入口重新定向后平行转向长轴走向,且在风蚀坑内形成螺旋流。而模拟气流的入射角斜交于风蚀坑轴线时,气流沿着风蚀坑轴线偏转且近表面没有产生溢出流,无螺旋流和螺旋型涡流[56]。本文观测结果显示,当来流风向与槽形风蚀坑轴向呈12°倾斜进入风蚀坑后,在风蚀坑入口气流重新定向,但侵蚀盆内气流流向并未发生90°偏转,基本保持与来流方向一致(表2图4c)。随着向侵蚀盆后部延伸气流流向则逐渐转向长轴走向,无螺旋流,说明来流风向、风蚀坑形态大小及其深度对其影响较大,同时气流转向的程度和复杂性取决于风蚀坑的形态[1]。因此,该研究与Hesp等[55]研究结果存在差异,与Smyth等[56]研究结果一致。槽形风蚀坑内气流在入口处与出口处加速说明侵蚀力较强,且在整个过程中风速变异性与风速的变化趋势呈反相关,这与车雪华等[20]研究结果不同。测量3~测量7形态在出口处明显扩大、入口处未发生明显变化,主要是由于老鼠艻对地表的控制(图3c)。东侧壁气流相对风速比由入口向后部加速,并在风蚀坑中部产生分支。综上,研究区正处于退化状态,沉积物粒径以中粗沙为主、老鼠艻密度较大,因此高能低频风是该区域风蚀坑发育的基本条件。

4.3 风蚀坑形态演化模式

研究表明碟形风蚀坑的增长与盛行风向相反,并在坑内形成涡流[32,54]。这与本研究结果不同,碟形风蚀坑形态呈扩大趋势,主要向东侧壁后部及风蚀坑出口扩张相对明显,东侧壁前部则以外部边缘坍塌缩小为主、风蚀坑出口处转变为陡坎(表2图3a)。这主要是由于研究区碟形风蚀坑较浅,同时受周围植被控制促使发育为碟形风蚀坑。半碗形风蚀坑形态则明显向积沙区形成破口并不断扩大,这与Barchyn等[26]所认为的形态受限发育为碗形风蚀坑观点不同,主要受地表植被、粗质层控制,导致碗形风蚀坑形成破口转变为槽形风蚀坑。槽形风蚀坑则沿长轴向后部扩展,同时在东侧壁形成分叉,西侧壁则以掏蚀坍塌扩展为主(表2图3c)。这一结果与Mir-Gual等[57]所建立的前丘退化系统模型一致,发现沿海破碎区域中存在大量简单和枝状形态风蚀坑,分叉风蚀坑的产生是风蚀坑走向消亡阶段的一种表现形式,此外西侧壁掏蚀坍塌扩大也受表层植被的控制导致。因此,地表植被对风蚀坑的形成及演化至关重要,而整个沙丘区呈明显破碎状态,植被主要以自然原生植物后藤(Ipomoea pes-caprae)、老鼠艻(Spinifex littoreus )和人工植被木麻黄(Casuarina equisetifolia Forst)、芦竹(Arundo donax L)为主(图8)。
图8 研究区风蚀坑植被分布特征

Fig. 8 Characteristics of vegetation distribution in blowouts in Liushui Town

风蚀坑的产生主要受植被密度、形状、分布、高度和盖度以及风速的影响。植被密集程度、覆盖度或物种类型在沿岸的变化,促使中高速风事件会对低植被覆盖区域进行侵蚀[2]。据此,依据空代时理念以及Barchyn等[26]、Mir-Gual等[57]概念性演化模型,结合研究区风蚀坑形态受地表植被(老鼠艻)的影响(图8a)、风蚀坑形态与气流相互作用模式(图4图5),推断出研究区风蚀坑的演化主要分为以下4个阶段:
(1)风蚀缺口或裸露沙斑的形成,该阶段主要取决于某些关键因素(图9A)。流水镇沙丘顶部气流相对风速比明显高于海滩风速17.4%,说明沙丘区存在风力侵蚀[10]。但受风沙地貌区植被覆盖(存在与不存在、密度和物种)(图8b)、海滩/沙丘侵蚀和风暴事件发生的频率和规模在近岸变化状况((2~5)次/年)[28,44]、屏障/海滩状态后退(反射型海滩)[46]、人为干扰与放牧[2,58,59]等因素影响。沙丘区的侵蚀主要发生在植被覆盖较少或无植被覆盖的沙丘区斜坡上,如碟形风蚀坑就发育于大型残丘斜坡上(图8b)。因此,研究区风蚀缺口或裸露沙斑主要是在与海岸线近乎垂直的东北盛行风及台风控制下,在沙丘区局部沙子侵蚀或过度堆积导致的植物死亡或土壤养分枯竭导致的植被斑块退化[54]、一定沙丘坡度(3°以上)及其反射型海滩促使盛行风长驱直入的综合作用下形成。
图9 沙丘区风蚀坑演化模型

Fig. 9 Blowout evolution model in dune area

(2)当缺口或沙斑形态扩大加深,形态与气流相互作用逐渐加强,受周边老鼠艻控制,发育为碟形风蚀坑(图8b图9A)。气流进入碟形风蚀坑后,气流辐散且相对风速比呈减速趋势(-0.257),碟形风蚀坑在测量1~测量7期间并未向盛行风向明显增长,但在侵蚀盆后部及东侧壁后部呈现扩展、加深趋势,流速也呈加速趋势,这与内陆碟形风蚀坑结果相同,主要是碟形风蚀坑较浅所造成[51]图3a图4a图5a)。
(3)形态受限,碟形风蚀坑发育形成半碗形风蚀坑,主要受风蚀坑后部及周边地形及植被控制,导致风蚀坑形态不断向下侵蚀,并在台风及大风作用下将沉积物移除风蚀坑,最终发育为成熟的半碗型风蚀坑(图9A图9C)。随着时间的推移,碟形风蚀坑入口不断向侵蚀盆后退,侵蚀盆深度不断增加,受周边老鼠艻影响,发育为半碗形风蚀坑。在半碗形风蚀坑内气流进入风蚀坑发生分离与转向,但并未发生堆积,主要是半碗形不存在背风区(图4b图5b)。因此,这一结果与碗形风蚀坑内气流分离、速度和湍流动能降低,碗形风蚀坑沉积发生在侵蚀盆背风坡结果不同[39]
(4)深度受限,当半碗形风蚀坑侵蚀到一定深度时,侵蚀盆底部受中粗沙、老红沙等组成的粗质层影响,深度停止发育,在盛行风作用下逐渐由半碗形风蚀坑过渡至槽形风蚀坑(图9A图9B)。随着侵蚀盆达到底部粗质层,风力侵蚀逐渐向顺风向边缘植被突入,促使风蚀坑形态由半碗形风蚀坑转向槽形风蚀坑。与槽形风蚀坑轴向倾斜12°到达入口时受狭管效应影响气流加速,后受形态影响气流扩散减速,并沿侵蚀盆加速流出出口,在出口风速相对风速比恢复到入口流速(图5c)。这促使测量3~测量7在气流加速区形成明显侵蚀,出口向后部扩展达4.9m(图3c)。随着槽形风蚀坑长轴不断向陆延伸,两侧壁不断被侵蚀,并在东侧壁形成分叉并不断扩展;当扩大到一定程度时,风力侵蚀沉积物速度小于植被生长速度或风蚀坑形态与气流加速之间呈负反馈时,风蚀坑走向消亡[60,61]。此外,由于该模型主要是基于“空代时”理论所得出,因此在风蚀坑发育过程中也可能存在其他演化模式(图9A)。

5 结论

本文通过选择海坛岛沙丘区具有典型代表性的碟形、半碗形、槽形风蚀坑开展形态重复测量与气流观测,采用“空代时”理论,探讨了风蚀坑气流与形态相互作用机制及其演化模式:
(1)碟形、半碗形、槽形风蚀坑形态均呈现扩大加深的趋势,但不同部位存在明显的差异。碟形风蚀坑形态主要沿侵蚀盆后部呈扩大、加深并形成陡坎,而风蚀坑入口则沿盛行风向呈后退趋势;半碗形风蚀坑形态则沿盛行风向扩展,侵蚀盆后部突入侵蚀壁形成破口,并不断扩大、加深,逐渐向槽形风蚀坑转变;槽形风蚀坑则表现为侵蚀盆向积沙区扩展达4.9m,西侧壁缓慢坍塌,东侧壁形成分叉,并逐渐向东南部延伸。
(2)来流风向与风蚀坑形态影响坑体内气流场分布,而坑体内部不同部位流速差异则影响风蚀坑形态变化。当来流倾斜进入风蚀坑后,整个碟形风蚀坑气流流向与来流风向呈近平行流出风蚀坑;半碗形风蚀坑内流向则受螺旋流影响,在侵蚀盆后部逐渐靠近来流风向;槽形风蚀坑内流向则受来流风向影响。在碟形、半碗形与槽形风蚀坑侵蚀盆内气流流速均呈先减速后加速趋势,促使测量3~测量7中侵蚀盆后部扩大加深。
(3)风蚀坑演化模式表现为沙斑或缺口→碟形风蚀坑→半碗形风蚀坑→槽形风蚀坑四个阶段,其中受形态与深度限制促使半碗形风蚀坑向槽形风蚀坑转变,而槽形风蚀坑形态则不断扩大并形成分叉而逐渐走向消亡,其中老鼠艻的存在对研究区风蚀坑的形成演变起到了关键作用。此外,由于该演化模式主要是基于“空代时”理念推理得出,因此在风蚀坑发育过程中也可能存在其他演化模式或在某阶段直接消亡。

致谢

真诚感谢匿名评审专家在论文评审中所付出的时间和精力,评审专家对论文框架及理论提升等方面的修改意见,使本文获益匪浅。
[1]
Hesp P A, Hyde R. Flow dynamics and geomorphology of a trough blowout. Sedimentology, 1996, 43(3): 505-525. DOI: 10.1046/j.1365-3091.1996.d01-22.x.

[2]
Hesp P A. Foredunes and blowouts, Initiation, geomorphology and dynamics. Geomorphology, 2002, 48: 245-268. DOI: 10.1016/S0169-555X(02)00184-8.

[3]
Abhar K C, Walker I J, Hesp P A, et al. Spatial-temporal evolution of aeolian blowout dunes at Cape Cod. Geomorphology, 2015, 236: 148-162. DOI: 10.1016/j.geomorph.2015.02.015.

[4]
Hesp P A, Walker I J. Three-dimensional aeolian dynamics within a bowl blowout during offshore winds: Greenwich dunes, Prince Edward Island, Canada. Aeolian Research, 2012, 3(4): 389-399. DOI: 10.1016/j.aeolia.2011.09.002.

[5]
Hesp P A, Hilton M, Konlecher T. Flow and sediment transport dynamics in a slot and cauldron blowout and over a foredune, Mason Bay, Stewart Island (Rakiura), NZ. Geomorphology, 2017, 295: 598-610. DOI: 10.1016/j.geomorph.2017.08.024.

[6]
Smyth T A G, Jackson D W T, Cooper A. Computational fluid dynamic modelling of three-dimensional airflow over dune blowouts. Journal of Coastal Research, 2011, 64(8): 314-318. DOI: 10.2112/si65-226.1.

[7]
Smyth T A G, Jackson D W T, Cooper A. High resolution measured and modelled three-dimensional airflow over a coastal bowl blowout. Geomorphology, 2012, 177/178(12): 62-73. DOI: 10.1016/j.geomorph.2012.07.014.

[8]
Smyth T A G, Jackson D W T, Cooper A. Three dimensional airflow patterns within a coastal trough-bowl blowout during fresh breeze to hurricane force winds. Aeolian Research, 2013, 9(147): 111-123. DOI: 10.1016/j.geomorph.2012.07.014.

[9]
Smyth T A G, Jackson D, Cooper A. Airflow and aeolian sediment transport patterns within a coastal trough blowout during lateral wind conditions. Earth Surface Processes and Landforms, 2014, 39(14): 1847-1854. DOI: 10.1002/esp.3572.

[10]
Gares P A, Nordstrom K F. A cyclic model of foredune blowout evolution for a leeward coast: Island Beach, New Jersey. Annals of the Association of American Geographers, 1995, 85(1): 1-20. DOI: 10.1111/j.1467-8306.1995.tb01792.xa.

[11]
Smith A, Gares P A, Wasklewicz T, et al. Three years of morphologic changes at a bowl blowout, Cape Cod, USA. Geomorphology, 2017, 295: 452-466. DOI: 10.1016/j.geomorph.2017.07.012.

[12]
孙禹, 杜会石, 刘美萍, 等. 风蚀坑形态-动力学研究进展. 地理科学, 2015, 35(7): 898-904.

DOI

[Sun Yu, Du Huishi, Liu Meiping, et al. A review on morphodynamic processes of blowouts. Science Geographica Sinica, 2015, 35(7): 898-904.]. DOI: 10.13249/j.cnki.sgs.2015.07.013.

[13]
Luo W Y, Wang Z Y, Shao M, et al. Historical evolution and controls on mega-blowouts in northeastern Qinghai-Tibetan Plateau, China. Geomorphology, 2019, 329: 17-31. DOI: 10.1016/j.geomorph.2018.12.033.

[14]
张德平, 王效科, 哈斯, 等. 呼伦贝尔沙质草原风蚀坑研究(I): 形态、分类、研究意义. 中国沙漠, 2006, 26(6): 894-902.

[Zhang Deping, Wang Xiaoke, Hasi Eerdun, et al. Hulun Buir sandy grassland blowouts: Geomorphology, classification, and significances. Journal of Desert Research, 2006, 26(6): 894-902.]

[15]
张萍, 哈斯, 王帅, 等. 呼伦贝尔沙质草原风蚀坑积沙区的植被分带性. 自然资源学报, 2008, 23(2): 237-244.

[Zhang Ping, Hasi Eerdun, Wang Shuai, et al. Zonation of vegetation on depositional area of blowout in Hulun Buir gassland. Journal of Natural Resources, 2008, 23(2): 237-244.]. DOI: 1000-3037(2008)02-0237-08.

[16]
王帅, 哈斯. 呼伦贝尔沙质草原槽形风蚀坑表面气流特征. 中国水土保持科学, 2009, 7(2): 80-85.

[Wang Shuai, Hasi Eerdun. Air flow dynamics of the blow-out trough in the Hulun Buir sandy grassland. Science of Soil and Water Conservation, 2009, 7(2): 80-85.]. DOI: 10.16843/j.sswc.2009.02.014.

[17]
李双权, 哈斯, 杜会石, 等. 沙质草地碟形风蚀坑形态-气流相互作用. 中国沙漠, 2012, 32(5): 1201-1209.

[Li Shuangquan, Hasi Eerdun, Du Huishi, et al. Interaction between airflow and shape of saucer-blowout in sandy grassland. Journal of Desert Research, 2012, 32(5): 1201-1209.]

[18]
孙禹, 杜会石, 哈斯, 等. 固定沙丘风蚀坑风沙动力学观测研究. 地理学报, 2016, 71(9): 1562-1570.

DOI

[Sun Yu, Du Huishi, Hasi Eerdun, et al. Aeolian dynamical process of blowout on the fixed dune. Acta Geographica Sinica, 2016, 71(9): 1562-1570.]. DOI: 10.11821/dlxb201609008.

[19]
Sun Y, Hasi E, Liu M, et al. Airflow and sediment movement within an inland blowout in Hulun Buir sandy grassland, Inner Mongolia, China. Aeolian Research, 2016, 22: 13-22. DOI: 10.1016/j.aeolia.2016.05.002.

[20]
车雪华, 罗万银, 邵梅, 等. 青海共和盆地不同发育阶段风蚀坑表面气流场与形态反馈研究. 地球科学进展, 2021, 36(1): 95-109.

DOI

[Che xuehua, Luo Wanyin, Shao Mei, et al. Form-flow feedback within blowout at different develop stages in the Gonghe Basin, Qinghai province. Advances in Earth Science, 2021, 36(1): 95-109.]. DOI: 10.11867/j.issn.1001-8166.2021.009.

[21]
张德平, 孙宏伟, 王效科, 等. 呼伦贝尔沙质草原风蚀坑研究(Ⅱ): 发育过程. 中国沙漠, 2007, 27(1): 20-24.

[Zhang Deping, Sun Hongwei, Wang Xiaoke, et al. Hulun Buir sandy grassland blowouts(II): Process of development and landscape evolution. Journal of Desert Research, 2007, 27(1): 20-24.]

[22]
王帅, 哈斯. 沙质草原槽形风蚀坑表面沉积物粒度特征. 水土保持通报, 2008, 28(6): 122-125.

[Wang Shuai, Hasi Eerdun. Particle size variation in trough blowout on sandy grassland. Bulletin of Soil and Water Conservation, 2008, 28(6): 122-125.]. DOI: 10.13961/j.cnki.stbctb.2008.06.038.

[23]
张惜伟, 汪季, 高永, 等. 呼伦贝尔沙质草原风蚀坑表层土壤粒度特征. 干旱区研究, 2017, 34(2): 293-299.

[Zhang Xiwei, Wang Ji, Gao Yong, et al. Grain size characteristics of topsoil in blowouts on sandy grasslands in Hulun Buir. Arid Zone Research, 2017, 34(2): 293-299.]. DOI: 10.13866/j.azr.2017.02.07.

[24]
王中原, 罗万银, 董治宝, 等. 共和盆地高寒草原风蚀坑表层沉积物粒度特征及动力学意义. 中国沙漠, 2017, 37(1): 7-16.

DOI

[Wang Zhongyuan, Luo Wanyin, Dong Zhibao, et al. Grain size characteristics of the blowout surface sediments and its aerodynamic significance in the alpine meadow region of Gonghe Basin. Journal of Desert Research, 2017, 37(1): 7-16.]. DOI: 10.7522/j.issn.1000-X.2016.00064.

[25]
周炎广, 陈惠中, 管超, 等. 呼伦贝尔沙地风蚀坑粒度特征及其环境意义. 中国沙漠, 2018, 38(4): 724-733.

DOI

[Zhou Yanguang, Chen Huizhong, Guan Chao, et al. Grain size characteristics of the blowout and its environmental significance in the Hulun Buir sandy land, China. Journal of Desert Research, 2018, 38(4): 724-733.]. DOI: 10.7522/j.issn.1000-694X.2018.0006.

[26]
Barchyn T E, Hugenholtz C H. Reactivation of supply-limited dune fields from blowouts: A conceptual framework for state characterization. Geomorphology, 2013, 201: 172-182. DOI: 10.1016/j.geomorph.2013.06.019.

[27]
李双权, 哈斯, 马玉凤, 等. 沙质草地风蚀坑动态演变特征. 干旱区研究, 2014, 31(5): 955-960.

[Li Shuangquan, Hasi Eerdun, Ma Yufeng, et al. Dynamic evolution of blowouts in sandy grassland. Arid Zone Reserach, 2014, 31(5): 955-960.]. DOI: 10.13866/j.azr.2014.05.26.

[28]
Jewell M, Houser C, Trimble S. Initiation and evolution of blowouts within Padre Island National Seashore, Texas. Ocean & Coastal Management, 2014, 95: 156-164. DOI: 10.1016/j.ocecoaman.2014.04.019.

[29]
Ruessink B G, Arens S M, Kuipers M, et al. Coastal dune dynamics in response to excavated foredune notches. Aeolian Research, 2018, 31: 3-17. DOI: 10.1016/j.aeolia.2017.07.002.

[30]
张绍云, 董玉祥. 海岸沙地风蚀坑形态-动力学研究进展. 地球科学进展, 2019, 34(10): 1028-1037.

DOI

[Zhang Shaoyun, Dong Yuxiang. Research progress on morphodynamics of coastal sandy blowout. Advances in Earth Science, 2019, 34(10): 1028-1037.] DOI: 10.11867/j.issn.1001-8166.2019.10.1028.

[31]
Gares P A, Nordstrom K F. Dynamics of a coastal foredune blowout at Island Beach State Park, NJ. In: Kraus, N.C. (Ed.). Coastal Sediments. New York: American Society of Civil Engineers(ASCE), 1987, 87: 213-221.

[32]
Jungerius P D, der Meulen F. The development of dune blowouts, as measured with erosion pins and sequential air photos. Catena, 1989, 16: 369-376. DOI: 10.1016/0341-8162(89)90021-0.

[33]
Smith A, Gares P A, Wasklewicz T A, et al. Three years of morphologic changes at a bowl blowout, Cape Cod, USA. Geomorphology, 2017, 295: 425-466. DOI: 10.1016/j.geomorph.2017.07.012.

[34]
Delgado-Fernandez I, Smyth T A G, Jackson D W T, et al. Event-scale dynamics of a parabolic dune and its relevance for mesoscale evolution. Journal of Geophysical Research: Earth Surface, 2018, 123(11): 3084-3100. DOI: 10.1029/2017JF004370.

[35]
Fraser G S, Bennett S W, Olyphant G A, et al. Windflow circulation patterns in a coastal dune blowout, south coast of Lake Michigan. Journal of Coastal Research, 1998, 14(2): 451-460.

[36]
Hugenholtz C H, Wolfe S A. Form-flow interactions of an aeolian saucer blowout. Earth Surface Processes and Landforms, 2009, 34(7): 919-928. DOI: 10.1002/esp.1776.

[37]
Walker I J, Hesp P A. Fundamentals of aeolian sediment transport: Airflow over dunes. Treatise on Geomorphology, 2013, 11: 109-133. DOI: 10.1016/B978-0-12-374739-6.00300-6.

[38]
Hesp P A, Smyth T A G, Walker I J. Flow within a trough blowout at cape cod. Journal of Coastal Research, 2016, 75: 288-292. DOI: 10.2112/SI75-058.1.

[39]
Smyth T A G, Hesp P A, Walker I J, et al. Topographic change and numerically modelled near surface wind flow in a bowl blowout. Earth Surface Processes & Landforms, 2019, 44(10): 1988-1999. DOI: 10.1002/esp.4625.

[40]
Davis W M. The geographic cycle. The Geographical Journal, 1899, 14(5): 481-504. DOI: 10.1007/978-1-349-15508-8_2.

[41]
Huang X L, Tang G A, Zhu T X, et al. Space-for-time substitution in geomorphology. Journal of Geographical Sciences, 2019, 29(10): 1670-1680. DOI: 10.1007/s11442-019-1684-0.

[42]
Zhang Shaoyun, Qiu Xing, Fu Shuyi, et al. Evolution of blowouts in artificial foredunes on Pingtan Island, China. Earth Surface Processes and Landforms, 2022, 47(10): 2597-2611. DOI: 10.1002/esp.5397.

[43]
吴学忠. 平潭岛全新世孢粉组合及其地质意义. 福建师范大学学报(自然科学版), 1988, 4(3): 87-97.

[Wu Xuezhong. Holocene sporopollen assemblages and their geological significance in Pingtan Island. Jouranl of Fujian Teachers University(Nature Science), 1988, 4(3): 87-97.]

[44]
董玉祥, 黄德全, 张雪琴. 海岸沙丘形态对台风响应的初步观测. 地理研究, 2016, 35(10): 1925-1934.

DOI

[Dong Yuxiang, Huang Dequan, Zhang Xueqin. Preliminary observation of morphological responses to typhoon of coastal dunes. Geographical Research, 2016, 35(10): 1925-1934.]. DOI: 10.11821/dlyj201610011.

[45]
杨林, 董玉祥, 黄德全, 等. 海岸沙席形态及近表层沉积物粒度对台风的响应. 地理科学, 2017, 37(8): 1243-1250.

DOI

[Yang Lin, Dong Yuxiang, Huang Dequan, et al. Morphology and grain size of the near surface sediment over coastal sand sheet response to typhoon. Scientia Geographica Sinica, 2017, 37(8): 1243-1250.]. DOI: 10.13249/j.cnki.sgs.2017.08.015.

[46]
张绍云. 海岸前丘风蚀坑形态变化及其动力学机制研究:以中国平潭岛为例. 广州: 中山大学博士学位论文, 2022: 49-131.

[Zhang Shaoyun. Morphological changes and its dynamic mechanism of blowout in coastal foredune:A case study in Pingtan Island, China. Guangzhou: Doctoral Dissertation of Sun Yat-sen University, 2022: 49-131.]

[47]
张文开, 李祖光, 汪榕光. 海坛岛风沙地貌类型与形成发育. 福建地理, 1995, 10(1): 31-36.

[Zhang Wenkai, Li Zuguang, Wang Rongguang. Aeolian landform type and formation development of Haitan Island. Fujian Geography, 1995, 10(1): 31-36.]

[48]
黄德全, 董玉祥, 哈斯, 等. 多站差分RTKGPS技术在海岸风沙观测中的应用. 中山大学学报(自然科学版), 2007, 46(4): 121-124.

[Huang Dequan, Dong Yuxiang, Hasi Eerdun, et al. The application of multi-station RTKGPS in the measurement of coastal dune. Acta Scientiarum Naturalium Universitatis Sunyatseni, 2007, 46(4): 121-124.]

[49]
Jackson P S, Hunt J C R. Turbulent wind flow over a low hill. Quarterly Journal of the Royal Meteorological Society, 1975, 101: 929-955. DOI: 10.1002/qj.49710143015.

[50]
Walker I J, Nickling W G. Simulation and measurement of surface shear stress over isolated and closely spaced transverse dunes in a wind tunnel. Earth Surface Processes and Landforms, 2003, 28: 1111-1124. DOI: 10.1002/esp.520.

[51]
吴正, 黄山, 胡守真, 等. 华南海岸风沙地貌研究. 北京: 科学出版社, 1995.

[Wu Zheng, Huang Shan, Hu Shouzhen, et al. Research on the Landforms of the Wind-drift Sand in South China Coast. Beijing: Science Press, 1995.]

[52]
Fryberger S G, Dean G. Dune Forms and Wind Regime. Washington: United States Government Printing Office, 1979: 137-169.

[53]
孙小雲, 房彦杰, 赵景峰, 等. 塔克拉玛干沙漠输沙势时空分布特征. 干旱区地理, 2020, 43(1): 38-47.

[Sun Xiaoyun, Fang Yanjie, Zhao Jingfeng, et al. Spatial and temporal distribution characteristics of sand drift potential in Taklimakan Desert. Arid Land Geography, 2020, 43(1): 38-47.]. DOI: 10.12118/j.issn.1000-6060.2020.01.05.

[54]
Jungerius P D, Verheggen A J T, Wiggers A J. The development of blowouts in 'de blink', a coastal dune area near Noordwijkerhout, The Netherlands. Earth Surface Processes Landforms, 1981, 6: 375-396. DOI: 10.1002/esp.3290060316.

[55]
Hesp P A, Pringle A. Wind flow and topographic steering within a trough blowout. Journal of Coastal Research, 2001, (Special Issue 34): 597-601.

[56]
Smyth T A G, Hesp P A. Numerical modelling of turbulent flow structures in a trough blowout. Journal of Coastal Research, 2016, 75(Special Issue 1): 328-333. DOI: 10.2112/SI75-066.1.

[57]
Mir-Gual M, Pons G X, Martín-Prieto J Á, et al. Geomorphological and ecological features of blowouts in a western Mediterranean coastal dune complex: A case study of the Es Comú de Muro beach-dune system on the island of Mallorca, Spain. Geo-Marine Letters, 2012, 33: 129-141. DOI: 10.1007/s00367-012-0298-7.

[58]
Hesp P, Schmutz P, Martinez M L M, et al. The effect on coastal vegetation of trampling on a parabolic dune. Aeolian Research, 2010, 2: 105-111. DOI: 10.1016/j.aeolia.2010.03.001.

[59]
Acosta A T R, Jucker T, Prisco I, et al. Passive recovery of Mediterranean coastal dunes following limitations to human trampling. In Restoration of Coastal Dunes. Germany Berlin: Springer, 2013: 187-198. DOI:10.1007/978-3-642-33445-0_12.

[60]
Pye K. Morphological development of coastal dunes in a humid tropical environment, Cape Bedford and Cape Flattery, North Queensland. Geografiska Annaler: Series A, Physical Geography, 1982, 64(3/4): 213-227. DOI: 10.1080/04353676.1982.11880067.

[61]
Walker I J, Hesp P A. Fundamentals of aeolian sediment transport: Airflow over dunes. Treatise on Geomorphology, 2013, 11:109-133. DOI: 10.1016/B978-0-12-374739-6.00300-6.

文章导航

/