×
模态框(Modal)标题
在这里添加一些文本
关闭
关闭
提交更改
取消
确定并提交
×
模态框(Modal)标题
×
期刊
文章
图表
检索
EN
中文
首页
关于期刊
期刊介绍
数据库收录
期刊荣誉
编委会
投稿指南
在线期刊
当期目录
优先出版
过刊浏览
推荐文章
专题
按栏目浏览
阅读排行
下载排行
引用排行
E-mail Alert
RSS
政策伦理
期刊订阅
联系我们
EN
中文
图/表 详细信息
生命周期,知识多样性与区域技术创新——以中国可再生能源技术为例
徐䶮, 金泽润, 朱晟君, 杨博飞
地理研究, 2023, 42(
8
): 2070-2088. DOI:
10.11821/dlyj020221385
图8
2003—2009年和2010—2017年中国城市成长阶段技术专利数量总和空间分布
注:基于自然资源部地图技术审查中心标准地图服务网站的标准地图(审图号:GS(2020)4619)绘制,底图边界无修改。
本文的其它图/表
图1
2003—2017年可再生能源技术专利数演变
表1
技术生命周期划分标准
表2
变量描述性统计
图2
2003—2017年中国城市知识不相关多样性演变
图3
2003—2017年中国城市知识相关多样性演变
图4
2003年和2017年中国城市知识相关多样性与不相关多样性散点图
图5
2003—2017年可再生能源技术激进度演变
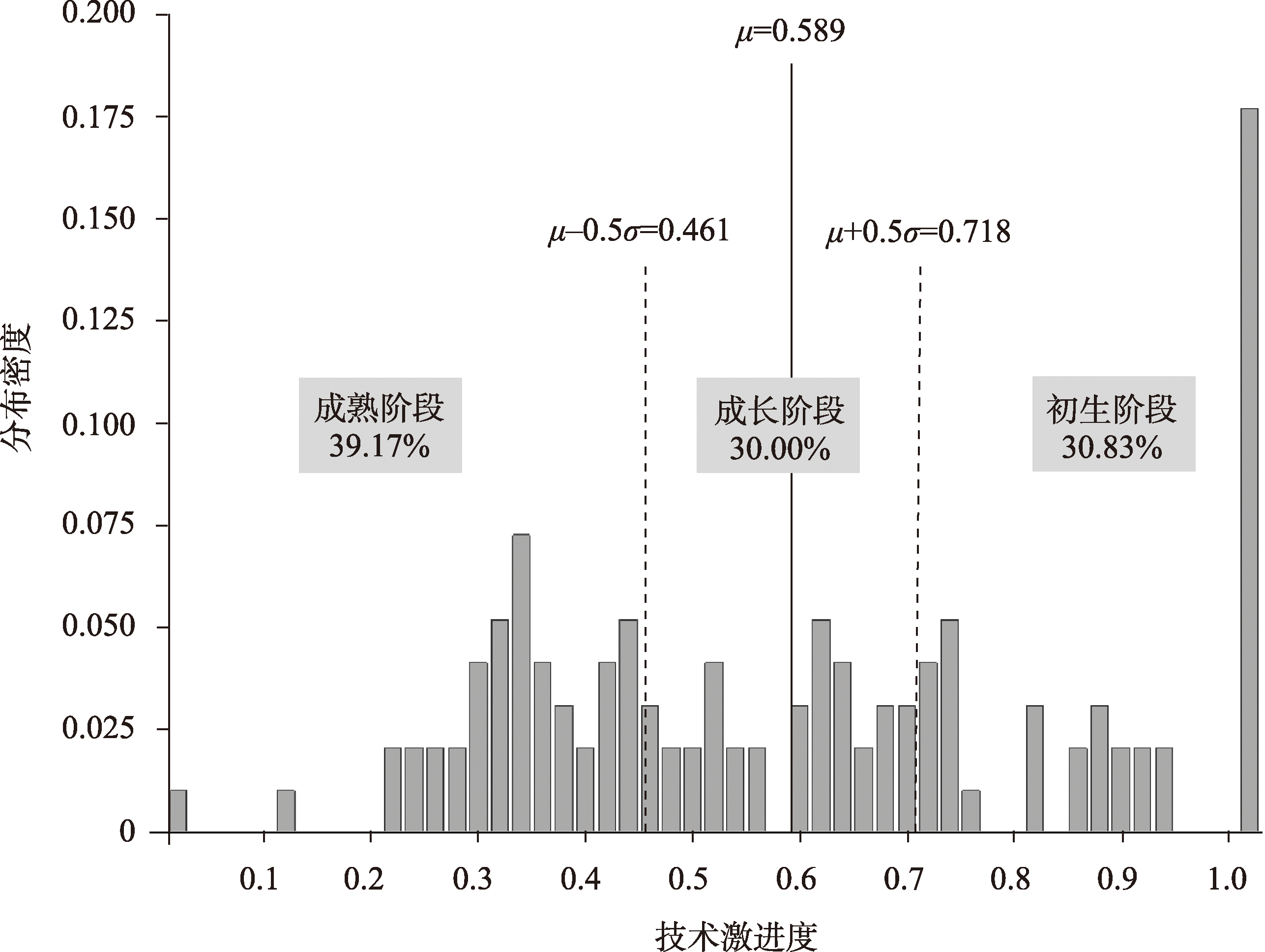
图6
2003—2017年可再生能源技术激进度概率密度分布
图7
2003—2009年、2010—2017年中国城市初生阶段技术专利数量总和空间分布
注:基于自然资源部地图技术审查中心标准地图服务网站的标准地图(审图号:GS(2020)4619)绘制,底图边界无修改。
图9
2003—2009年和2010—2017年中国城市成熟阶段技术专利数量总和空间分布
注:基于自然资源部地图技术审查中心标准地图服务网站的标准地图(审图号:GS(2020)4619)绘制,底图边界无修改。
表3
基准回归结果
表4
技术生命周期异质性回归结果
表5
区分城市经济规模分组回归结果
表6
区分城市人口规模分组回归结果
表7
区域知识多样性对可再生能源技术创新的效应及其异质性的结论汇总