地理研究  2015 , 34 (11): 2095-2104 https://doi.org/10.11821/dlyj201511008

Orginal Article

近46年松木希错流域冰川和湖泊变化及原因分析

李治国12, 芦杰1, 史本林1, 李红忠1, 张延伟1, 李琳1

1. 商丘师范学院环境与规划学院,商丘 476000
2. 中国科学院青藏高原研究所,北京 100085

Glaciers and lake changes (1968-2013) and their causes in the Songmuxi Co Basin, Northwest Tibetan Plateau

LI Zhiguo12, LU Jie1, SHI Benlin1, LI Hongzhong1, ZHANG Yanwei1, LI Lin1

1. Shangqiu Normal University, Shangqiu 476000, Henan, China
2. Institute of Tibetan Plateau Research, Beijing 100085, China

收稿日期: 2015-04-24

修回日期:  2015-09-19

网络出版日期:  2015-11-15

版权声明:  2015 《地理研究》编辑部 《地理研究》编辑部

基金资助:  国家自然科学基金项目(41101072,41025002,31100369)

作者简介:

作者简介:李治国(1979- ),男,山东禹城人,副教授,主要从事资源环境与区域发展研究。E-mail:lizhiguo999999@163.com

展开

摘要

采用1:5万地形图、Landsat MSS/TM/ETM+/OLI遥感影像及数字高程模型数据,利用遥感和地理信息系统技术,并结合狮泉河、和田和于田3个气象站点1968-2013年的气温、降水量数据对松木希错流域的冰川、湖泊面积变化及其原因进行分析。结果表明:① 1968-2013年流域冰川面积不断退缩,由139.25 km2减少至137.27±0.02 km2,共减少1.98±0.02 km2,减少百分比为1.42%,2001年以后冰川退缩速度加快;② 1968-2013年松木希错面积不断扩张,由25.05 km2增加至32.62±0.02 km2,共扩张7.57±0.02 km2,扩张百分比为30.22%,且2001年之后扩张速率加快,在年代际上与冰川的退缩具有较好的耦合性;③ 1968-2013年湖面潜在蒸散量减少和降水增加分别是导致湖泊扩张的第一和第二影响因素,而升温引起的冰川、冻土融水增加有一定贡献,但影响较小且在年际尺度上不显著。

关键词: 冰川 ; 湖泊 ; 气候变化 ; 松木希错

Abstract

The Tibetan Plateau and its surroundings contain the largest number of glaciers outside the Polar Regions and are known as the world's "third pole". Glacial and lake changes in the third pole not only lead to changes in atmospheric circulation patterns in the region and the northern hemisphere but also affect agriculture, power generation and the water supplies of 1.5 billion people in the surrounding areas across ten countries. Hence, the situation of the glaciers and lakes of the third pole has attracted attention worldwide. While the Himalaya glaciers are largely retreating, the recent evolution of the Karakoram glaciers, widely acknowledged as peculiar, remains poorly understood. Glacial lakes showed a trend of expansion and the great lakes were shrinking in the Himalayas; but lakes in the Karakoram were considered stable. The causes and mechanisms of the complex and regionally heterogeneous behavior of glacier and lake change between the Karakorum and Himalayas are poorly understood. The Songmuxi Co Basin lies in the transitional zone between the Karakorum and Himalayas, and the glaciers and lakes have a significant impact on the local water supply and ecosystem. In this work, glacial and lake changes in the Songmuxi Co Basin, southern Karakoram Mountains were detected based on 1:50000 topographic maps, Landsat MSS/TM/ETM+/OLI remote sensing data and GIS techniques. The annual temperature, precipitation, potential annual evaporation at Shiquanhe, Hetian and Yutian stations from 1968 to 2013 were used to analyze climate change and its impact on glaciers and lakes area change. The results can be drawn as follows. (1) From 1968 to 2013, the total glacier area decreased from 139.25 km2 to 137.27 km2, a total loss of 1.98 km2, or 1.42% of the entire glacial area in 1968. In addition, there has been an accelerating trend of glacier retreat since 2001. (2) The area of Songmuxi Co expanded from 25.05 km2 in 1968 to 32.62 km2 in 2013. The overall increase was 7.57 km2, which was 30.22% of the lake area in 1968. The lake area expansion and glaciers retreat have a good coupling on a decadal scale. (3) From 1968 to 2013, the decreased potential evapotranspiration in the lake and increased precipitation are of the first and second factors which lead to lake area expansion. The increase in melt water from glaciers and frozen soil due to climate warming had no great impact on lake area expansion on the interannual scale while it may had some impact on the decadal one.

Keywords: glacier ; lake ; climate change ; Songmuxi Co

0

PDF (720KB) 元数据 多维度评价 相关文章 收藏文章

本文引用格式 导出 EndNote Ris Bibtex

李治国, 芦杰, 史本林, 李红忠, 张延伟, 李琳. 近46年松木希错流域冰川和湖泊变化及原因分析[J]. , 2015, 34(11): 2095-2104 https://doi.org/10.11821/dlyj201511008

LI Zhiguo, LU Jie, SHI Benlin, LI Hongzhong, ZHANG Yanwei, LI Lin. Glaciers and lake changes (1968-2013) and their causes in the Songmuxi Co Basin, Northwest Tibetan Plateau[J]. 地理研究, 2015, 34(11): 2095-2104 https://doi.org/10.11821/dlyj201511008

1 引言

全球气候变化及其影响当前备受关注。1880-2012年,全球平均气温上升0.85 ℃以上[1]。青藏高原及其毗邻地区(简称“第三极”)的冰川和湖泊受印度季风、西风和东亚季风的共同作用[2],是地表水循环和水资源的重要组成部分,对气候变化敏感,被视为气候变化的指示器,同时也会影响气候变化[2-4]。第三极冰川变化和湖泊变化不仅影响区域水资源供应,而且会引发冰湖溃决洪水、湖泊扩张淹没草场等灾害,从而对周边15亿居民的生产和生活产生深远影响[2-5]。第三极冰川和湖泊变化存在很大的区域差异性[2,6]。第三极南部的喜马拉雅山脉东部[7]、中部[8]和西部[9]地区的冰川均呈退缩态势,而北部喀喇昆仑山脉的冰川被认为处于稳定或前进状态[2,10,11]。南部喜马拉雅地区的东部[6]、中部[8,12]和西部[9]的冰湖均呈扩张态势,大湖呈萎缩态势[9,12-16];但北部喀喇昆仑地区的部分湖泊被认为保持稳定[17]。喀喇昆仑山脉南部的松木希错流域位于喜马拉雅山脉与喀喇昆仑山脉的过渡地带,目前缺乏该地区的相关研究,对于该流域冰川是前进还是退缩,湖泊是稳定还是扩张,冰川变化与湖泊变化之间有何关系还不明确。考虑到研究区缺乏系统的观测资料,基于多期遥感影像数据,利用RS和GIS技术开展松木希错流域冰川和湖泊变化研究,旨在揭示这一地区冰川和湖泊的变化过程、机制及其相互作用,这有助于理解第三极地区冰川与湖泊变化的空间格局与机理,同时可以为当地应对环境变化措施的制定提供参考。

2 研究区概况

松木希错流域(79°46′~80°23′E,34°18′~34°44′N)位于喀喇昆仑山脉南部,南距喜马拉雅山脉阿伊拉日居地区180 km,地处喀喇昆仑—喜马拉雅过渡区(图1)。松木希错流域面积约1700 km2,海拔范围为5045~6652 m,平均海拔高度为5413 m。流域南部较高,地形崎岖;中间低,为汇流地区;松木希错位于流域东北部。流域为西风和印度季风两大环流的交互作用区,气候为高原亚寒带干旱气候和高原温带干旱气候过渡区[18],流域内冰川位于极大陆型冰川向亚大陆型冰川过渡带[19]。松木希错流域内没有气象台站,临近的气象台站有狮泉河站(4278 m)、和田站(1375 m)和于田站(1422 m),这3个站距研究区距离分别约为200 km、267 km和270 km。根据1968-2013年狮泉河站、和田站和于田站的年平均温度和降水数据,研究时段内平均温度分别为0.8 ℃、12.9 ℃和11.8 ℃;年降水量分别为71.6 mm、40.3 mm和51.4 mm,降水主要集中在5-9月,分别占88.6%、71.5%、80.7%。根据王苏民等的研究[20],松木希错流域气候干寒,年均气温约为-8 ℃左右,年均降水量75~100 mm,湖水主要靠地表径流补给。

图1   松木希错流域位置

Fig. 1   Location of the Songmuxi Co Basin

3 数据来源与研究方法

3.1 遥感数据来源

使用的地形图数据和卫星遥感影像如表1所示。地形图数据为国家测绘地理信息局提供的18幅1 5万地形图,由1968年航片生成。将地形图扫描后,利用ENVI 5.0软件和方里网校正至WGS-84和通用横轴墨卡托投影(UTM)坐标系,xy轴的均方根误差都小于2 m。然后将校正后的地形图进行拼接、等高线数字化生成10 m分辨率的数字高程模型(DEM),投影转换的高程误差小于0.002 m[21]。由该DEM获得山脊线矢量数据,用于研究区冰川的分割工作。

表1   数据源

Tab. 1   Data sources in this study

数据源行列号获取日期比例尺/分辨率
地形图1968/0915
MSS157/0361976/11/2076 m
TM145/0361991/11/17、2010/11/13、2011/11/0928.5 m
ETM+145/0362001/10/20、2002/11/24、2005/11/16、2006/11/03、2007/11/03、2008/11/08、2013/01/06、2013/03/11、2013/04/20、2013/06/07、2013/07/0928.5 m
ETM+146/0362000/10/03、2003/10/17、2004/11/04、2009/11/02、2013/01/29、2013/05/2128.5 m
OLI145/0362013/08/01、2013/09/11、2013/09/1830 m
OLI146/0362013/09/27、2013/11/05、2013/11/3030 m

新窗口打开

研究中使用由美国地质勘探局(http://glovis.usgs.gov)提供的26景Landsat遥感影像数据分析冰川和湖泊变化。1968年地形图、1976年MSS影像、1991年TM影像、2001年ETM+影像、2013年OLI影像用于冰川和湖泊年代际变化分析,其中2013年冰川面积和湖泊面积提取分别选取8月1日和11月5日的影像。2000-2013年的逐年数据用于年际变化研究,影像时间为水位稳定的10月或11月影像。2013年的逐月影像主要用于年内湖泊面积变化研究,当月没有影像的以前1月月末影像补充。用于年代际和年际冰川和湖泊变化研究的遥感数据基本都在相同季节获得,且云和积雪覆盖较少,以提高冰川和湖泊范围提取的准确性。Landsat遥感影像利用拼接后的地形图进行校正,xy轴的均方根误差都小于14.25 m。人工目视解译方法被视作冰川提取最佳的方法[22],结合2011-2013年对冰川和湖泊的考察,本文采用人工目视解译方法进行冰川和湖泊范围提取。

3.2 气象数据

距研究区较近的狮泉河站、和田站和于田站3个气象站点的气象数据由中国气象科学数据共享服务网(http://cdc.nmic.cn/home.do)提供,用于分析1968-2013年松木希错流域气候变化趋势及冰川、湖泊面积变化的原因。

3.3 精度评价

研究区内的冰川退缩多发生在末端,而湖泊变化多发生在松木希错西南侧,所以采用Ye等[9]遥感影像不确定性评估精度,得到的面积不确定性与实际数据结合成最佳范围,结果如表2表3表4所示。

表2   1968-2013年松木希错流域的冰川变化

Tab. 2   Glacier area variation in the Songmuxi Co Basin from 1968 to 2013

年份面积
(km2)
时段和面积变化面积变化
面积变化 (km2)平均速率 (km2·a-1)百分比 (%)年平均速率 (%)
1968139.25
1976139.22±0.007-0.03±0.007-0.004-0.02-0.003
1991138.71±0.013-0.51±0.013-0.034-0.37-0.03
2001138.38±0.016-0.33±0.016-0.033-0.24-0.02
2013137.27±0.02-1.11±0.02-0.093-0.80-0.07
总计-1.98±0.02-0.043-1.42-0.03

新窗口打开

表3   1968-2013年松木希错面积变化

Tab. 3   Lake extent change of Songmuxi Co from 1968 to 2013

年份面积 (km2)时段和面积变化面积变化
面积变化 (km2)平均速率 (km2·a-1)百分比 (%)年平均速率 (%)
196825.05
197625.62±0.0070.57±0.0070.0712.280.28
199125.86±0.0130.24±0.0130.0160.960.06
200128.74±0.0162.88±0.0160.28811.501.05
201332.62±0.023.88±0.020.32315.491.29
总计7.57±0.020.16530.220.66

新窗口打开

表4   2013年1-12月松木希错面积变化

Tab. 4   Monthly lake extent change of Songmuxi Co in 2013

月份123456789101112
面积(km230.9130.9130.9130.9130.9130.7330.7331.7832.8532.8332.6232.62
湖冰比例(%)100100100602500000100100

注:不同月份间的面积不确定性为0.004 km2

新窗口打开

4 结果分析

4.1 冰川面积变化

松木希错流域的冰川主要分布在熊彩岗日地区周边,另有一小部分散布于熊彩岗日东北部,如图1所示。1 5万地形图数字化结果表明,1968年流域内有冰川106条,面积139.25 km2;2013年遥感影像人工目视结果显示冰川面积为137.27±0.02 km2。1968-2013年,冰川面积逐渐减小(表2)。由表2可知,研究时段内流域内冰川面积共减少1.98 km2,减少百分比为1.42%。而且,有两条面积均为0.02 km2的小冰川消失。将冰川根据面积分为(0, 0.1] km2、(0.1, 0.5] km2、(0.5, 1] km2、(1, 5] km2、(5, 10] km2、(10, 20] km26个等级进行面积变化统计,近46年面积减少及变化率分别为0.27 km2(12.1%)、0.35 km2(5.1%)、0.14 km2(2.3%)、0.50 km2(1.4%)、0.31 km2(0.7%)和0.40 km2(0.9%),各规模等级的冰川面积均呈减少态势,总体上呈现小冰川比大冰川面积减少百分比大的趋势,而较大规模等级的冰川虽面积减少百分比小,但因面积大故也有相对较大的面积减少量。

4.2 湖泊面积变化

1 5万地形图数字化结果表明,1968年松木希错面积为25.05 km2,2013年面积为32.62±0.02 km2,湖泊规模不断扩张,共增加7.57 km2,扩张百分比为30.22%(表3)。具体而言,松木希错面积先由1968年的面积增大至1976年的25.62 km2,年平均扩大速率为0.071 km2·a-1;1976-1991年进入缓慢扩张时期,年平均扩张速率为0.016 km2·a-1。1991年之后,松木希错进入快速扩张时期,1991-2001年、2001-2013年分别扩张2.88 km2和3.88 km2,面积平均扩张速率分别为0.288 km2·a-1、0.323 km2·a-1,扩张速率越来越快。2001-2013年面积平均扩张速率分别为1968-1976年、1976-1991年和1991-2001年面积平均扩张速率的4.5倍、20.2倍和1.1倍。

从年内变化来看(表4),1-5月份松木希错面积处于稳定期,随着雨季的到来,8-9月份湖泊面积快速增加,10月份之后又处于稳定状态,2013年湖泊年内面积扩张1.71 ±0.045 km2,扩张百分比为5.5%。

5 讨论

5.1 气候变化对冰川、湖泊变化的影响

由于研究区内目前缺乏详实的气象、冰川、水文和冻土站点观测连续数据,故仅结合距研究区最近的狮泉河、和田和于田3个气象台站的气象数据进行分析和探讨。

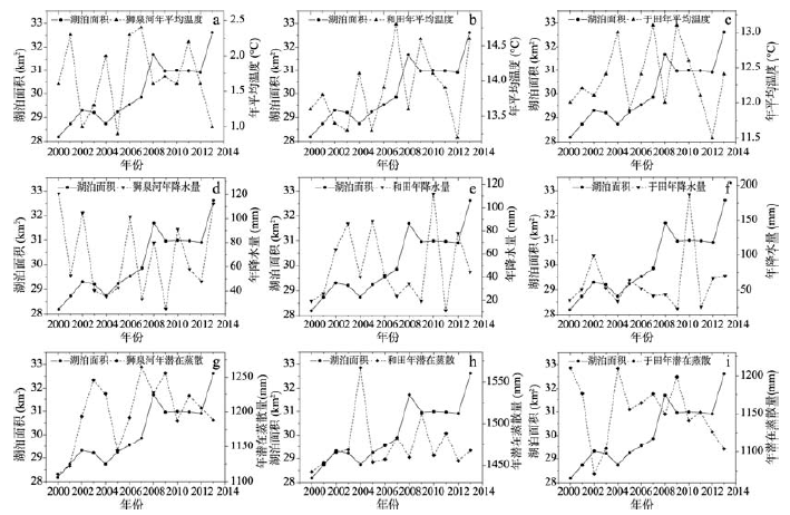
5.1.1 气候变化对湖泊变化的影响 研究中采用狮泉河站、和田站和于田站3个气象台站的年平均气温(T)、年降水量(P)和年潜在蒸散量(PAE)数据进行分析,AW、MW和MPAE分别指T、P和PAE多年(1968-2013年)平均值,T1、T2、T3和T4分别指1968-1976年、1976-1991年、1991-2001年和2001-2013年四4个阶段气温的平均值,年降水量和年蒸散量4个阶段的平均值标号与此类似(图2)。

图2   1968-2013年狮泉河、和田和于田的年平均温度、年降水量、年潜在蒸散量变化(含各时段均值)

Fig. 2   Variations in the annual mean temperature, precipitation and potential annual evaporation at Shiquanhe, Hetian and Yutian stations from 1968 to 2013

1968-2013年,狮泉河站、和田站和于田站3个气象台站年平均气温均呈增加趋势,斜率分别为0.052℃·a-1R²=0.5522)、0.048℃·a-1R²=0.5809)和0.054℃·a-1R²=0.1831)。其中狮泉河站与和田站在1968-1976年、1976-1991年、1991-2001年和2001-2013年四个阶段的平均气温呈持续上升趋势,但于田站1968-1976年、1976-1991年为下降,而1991-2001年、2001-2013年为上升阶段(图2)。升温可能导致冰川、冻土的消融,增加融水对湖泊的补给。

1968-2013年,三站中仅狮泉河站年降水量呈下降趋势,斜率为-0.423 mm·a-1R²=0.0352);和田、于田两个台站均呈增加趋势,斜率分别为0.476 mm·a-1R²=0.0594)、0.547 mm·a-1R²=0.0453)(图2)。将图2表3对比,可以发现和田站和于田站降水变化与松木希错面积变化具有很好的一致性,这可能与流域主要受西风环流控制有关;而狮泉河站的降水变化与松木希错面积变化不具有协同性,可能源于狮泉河站与流域间的熊彩岗日地区山体高大有较强的阻隔作用造成降水方面的差异性。

由于松木希错为内陆湖,其湖泊的水量损失主要取决于湖面的蒸散量。参考Yao等的研究采用Penman-Monteith公式[23]分别计算3个气象台站年潜在蒸散发量(图2)。1968-2013年期间,3个站点中仅和田站年潜在蒸散量呈上升趋势,斜率为1.461 mm·a-1R²=0.0242);和田、于田两个台站均呈减少趋势,斜率分别为-0.521 mm·a-1R²=0.0206)、-6.341 mm·a-1R²=0.0453)。

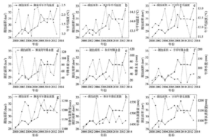
因松木希错流域仅2000-2013年有连续的湖泊面积数据,因此对这一时段的气候要素变化和湖泊面积变化进行重点分析(图3),探讨降水、蒸发及温度升高导致的冰川、冻土消融对湖泊面积扩张的贡献。表5表明这一时段湖泊面积和气象要素的相关性不显著,说明年内的气候要素对湖泊水位的影响受水文过程的影响可能无法快速体现,这一点不如图2中各时段的多年要素影响明显。从特殊年份来看,2004年湖泊面积的低值与三站的气温高值、降水低值和潜在蒸散高值对应;2008年湖泊面积的高值与三站的气温低值、降水高值对应,但狮泉河潜在蒸散为高值而和田与于田则为低值,与湖泊面积高值对应;2013年的湖泊面积高值与3站的降水高值、潜在蒸散低值相关,狮泉河站、于田站的温度为低值与湖泊面积高值对应,而和田站的温度高值与湖泊面积高值对应。通过以上分析可知,松木希错面积变化在三站中应该与于田站的气象数据最为吻合。以于田站的气象数据拟合松木希错的面积变化,则温度上升带来的冰川和冻土消融量增加不如蒸发量增加导致的水量损失大。2000-2013年于田站年降水量增加的斜率为1.7174 mm·a-1R²=0.03),潜在蒸散量减少的趋势为-2.2129 mm·a-1R² =0.0504),对比二者绝对值发现潜在蒸散量的更大,说明潜在蒸散量减少是这一时段的湖泊水量增加的第一要素,降水量增加为第二要素。而对比1968-2013年于田站降水量的斜率(0.547)和蒸散量的斜率(-6.341)可知这一时段湖泊面积变化也是主要受潜在蒸发减少,其次是降水量变化控制,其中2000-2013年降水量贡献上升。

图3   2000-2013年湖泊变化与狮泉河、和田和于田的年平均温度、年降水量、年潜在蒸散量变化

Fig. 3   Lake area change and variations of the annual mean temperature, precipitation and potential annual evaporation at Shiquanhe, Hetian and Yutian stations from 2000 to 2013

表5   2000-2013年湖泊面积与狮泉河站、和田站和于田站气候要素的相关性分析

Tab. 5   The linear regression of the lake area and climatic factors at the three stations from 2000 to 2013

回归模型相关系数(r2)
y湖泊面积=-0.478x狮泉河年平均温度+30.8730.189
y湖泊面积=0.899x和田年平均温度+17.6030.131
y湖泊面积=-0.050x于田年平均温度+30.6820.000
y湖泊面积=0.004x狮泉河年降水量+29.7830.012
y湖泊面积=0.001x和田年降水量+30.0000.001
y湖泊面积=0.006x于田年降水量+29.7110.036
y湖泊面积=0.011x狮泉河年潜在蒸发+16.8410.163
y湖泊面积=-0.002x和田年潜在蒸发+32.4010.002
y湖泊面积=-0.011x于田年潜在蒸发+42.9690.128

新窗口打开

图4表明2013年7-9月湖泊面积扩张期与狮泉河站、和田站和于田站年降水主要集中在5-9月相对应,说明在月尺度上可能主要受降水控制。而且,温度在5-9月也是3个站点在年内的高值期,部分冰川、冻土消融也应该有一定的贡献。但3个站点的潜在蒸散量在这一时期则处于高值期,应该是湖泊面积扩张的不利因素。

图4   2013年1-12月湖泊变化与狮泉河、和田和于田的月平均温度、月降水量、月潜在蒸散量变化

Fig. 4   Lake area change and variations of the monthly mean temperature, precipitation and potential annual evaporation at Shiquanhe, Hetian and Yutian stations in 2013

5.1.2 冰川与冻土变化对湖泊变化的影响 狮泉河站、和田站和于田站3个气象台站年平均气温均呈增加趋势,那么可能会导致冰川和冻土的消融增加。对照表2表3可知,在较长时段上湖泊的面积加速扩张与冰川的加速消融相对应。表2中的冰川退缩数据说明该地区的冰川退缩较小,加之5.1.1节中证明于田站温度和湖泊面积扩张呈负相关关系,这样尽管在没有研究区冻土观测数据的情况下,也可推断冰川与冻土消融对湖泊水量的贡献不大,在年际尺度上无法体现。但在年代际尺度上,升温引起的冰川和冻土消融量增加对湖泊水量的贡献不容忽视。以表2中的数据结合Liu等[24]的经验公式V=0.034S1.43,来冰川消融量增加的贡献。冰的密度取0.9 g·cm-3,计算可得1968-1976年、1976-1991年、1991-2001年、2001-2013年冰川退缩贡献的水量分别为1.0×108 m3、1.9×108 m3、1.2×108 m3和4.0×108 m3。冻土方面虽然没有直接的数据,但考虑温度上升,冻土消融应该与冰川消融增加类似,会使湖泊水量有一定的增加。

5.2 第三极地区冰川、湖泊变化的成因

当前第三极地区的冰川、湖泊变化有较大的空间差异性。就冰川而言,南部喜马拉雅地区的冰川大多呈快速退缩态势而北部喀喇昆仑地区的冰川则前进或者相对稳定。而湖泊方面,南部喜马拉雅地区冰川融水补给比重较大的冰湖呈扩张趋势,而冰川融水比重小的大湖呈萎缩趋势[6],但北部喀喇昆仑地区的部分湖泊则保持稳定[17]。本文表明喀喇昆仑南部松木希错流域的冰川呈小幅退缩态势,而湖泊则呈明显扩张态势。气候变化是冰川、湖泊变化的重要因子[2,3,25]。喜马拉雅地区的升温和降水减少[13,14,26]以及由于升温引起的降雪减少[27]成为冰川退缩的主要原因,也是冰湖扩张和大湖萎缩的主要原因。其他非气象要素,如降尘和黑炭[28]等因素,也可能因喜马拉雅距排放地近,而会对该地区的冰川变化有影响,进而影响水循环。气候模拟研究表明喀喇昆仑地区冰川变化的特殊性可能与增加的降雪有关[27,29],这会增加反照率而减少太阳辐射,从而减少冰川的消融。卫星反演结果也表明喀喇昆仑山高海拔地区存在降温[26],这也会减少冰川消融。松木希错流域的冰川位于流域南部,距狮泉河气象站较近,该站的温度升高和降水减少趋势可以认为是冰川退缩的原因。从大气环流来看,研究区为西南季风和西风的交互作用区,亚洲季风的衰退[2]可能会引发冰川的退缩,同时西南季风也可能携带南亚黑炭至研究区而对冰川消融有促进作用;而冰川退缩幅度较小,可能与研究区位于喜马拉雅—喀喇昆仑过渡带而喀喇昆仑山的降雪增加[27,29]、高海拔降温[26]有关。增加的降水使得第三极地区的多数湖泊呈扩张趋势[13-15],松木希错的扩张趋势与此一致。对于第三极湖泊面积变化成因,不同学者有不同的结论。Yao等[23]认为近40年降水增多、蒸发减少是可可西里地区湖泊扩大的主要原因,而气候变暖引起的冰川融水增加、冻土水分释放是次要原因。而Lei等[13-15]则提出虽然湖泊蒸发的下降与冰川物质亏损对青藏高原湖泊面积增长有一定贡献,但整体湖泊面积增长的主要原因是降水的显著增加。Li等[16]认为在不同时间段降水、蒸发和冰川消融等其他因素的贡献率会有所变化。本文表明,松木希错面积扩张的首因是潜在蒸散量的减少,其次是降水的增加(近期贡献增多),冰川和冻土的作用在年际变化上作用不显著,但在年代际尺度上也有一定的作用。本研究的结论也与尹云鹤等[30]提出的青藏高原P-E变化呈西北增加的特征和Liu等[31]提出的青藏高原观测的蒸发皿蒸发量减少的结论相吻合。2013年的数据表明,年内松木希错有较长的冰冻期,而王苏民等[20]的研究表明湖区年均气温约-8 ℃,这也有利于湖泊面积水量的增加。

6 结论

(1)1968-2013年,松木希错流域内冰川面积共减少1.98 km2,减少百分比为1.42%。而且,有两条小冰川消失,冰川自2001年开始呈现加速退缩状态,为1968-2013年平均退缩速率的2倍。

(2)松木希错面积在1968-2013年不断扩张,共扩张7.57 km2,扩张百分比为30.22%。研究发现松木希错面积扩张存在阶段性。松木希错先由1968年的25.05 km2增大至1976年的25.62±0.007 km2,年平均扩大速率为0.0713 km2·a-1;1976-1991进入缓慢扩张时期,年平均扩张速率为0.016 km2·a-1;自1991年,松木希错进入快速扩张时期,1991-2001年、2001-2013年分别扩张2.88 km2和3.88 km2,面积平均扩张速率分别为0.288 km2·a-1、0.323 km2·a-1,扩张速率明显加快。2001-2013年面积平均扩张速率分别为1968-1976年、1976-1991年和1991-2001年面积平均扩张速率的4.5倍、20.2倍和1.1倍。

(3)虽然尚无法从水量平衡角度量化松木希错湖泊水量变化及各输入输出要素变化的贡献值,但经过分析认为松木希错湖泊动态变化主要是由气候变化导致的,其中湖面潜在蒸散量减少和降水增加分别是导致湖泊近46年扩张的第一和第二影响因素,而升温引起的冰川、冻土融水增加有一定贡献,但影响较小且在年际尺度上不显著。由于研究区内缺乏气象、冰川物质平衡、湖泊水位和水深、河流水文、地下水、冻土等长期监测连续资料,因此本文的结论有一定的局限性,需要在未来增加站点监测,并卫星遥感数据进行深化研究。

The authors have declared that no competing interests exist.


参考文献

[1] IPCC. Climate Change 2013: The Physical Science Basis. Contribution of Working Group I to the Fifth Assessment Report of the Intergovernmental Panel on Climate Change. Cambridge, NY: Cambridge University Press, 2013.

URL      [本文引用: 1]      摘要

Fifth Assessment ReportThe Intergovernmental Panel on Climate Change (IPCC) publishes Assessment Reports every six to seven years, with the IPCC First Assessment report published in 1990. The Fifth Assessment Report is being published in stages across 2013 and 2014.Each of the three Working Groups contributes to the development of Assessment Reports:
[2] Yao T D, Thompson L, Yang W, et al.

Different glacier status with atmospheric circulations in Tibetan Plateau and surroundings.

Nature Climate Change, 2012, 2(9): 663-667.

https://doi.org/10.1038/nclimate1580      URL      [本文引用: 7]      摘要

中国科学院机构知识库(中国科学院机构知识库网格(CAS IR GRID))以发展机构知识能力和知识管理能力为目标,快速实现对本机构知识资产的收集、长期保存、合理传播利用,积极建设对知识内容进行捕获、转化、传播、利用和审计的能力,逐步建设包括知识内容分析、关系分析和能力审计在内的知识服务能力,开展综合知识管理。
[3] Qiu J.

The third pole.

Nature, 2008, 454(7203): 393-396.

URL      [本文引用: 1]     

[4] Immerzeel W W, Beek L P H, Bierkens M F P.

Climate change will affect the Asian water towers.

Science, 2010, 328(5984): 1382-1385.

https://doi.org/10.1126/science.1183188      URL      PMID: 20538947      [本文引用: 1]      摘要

More than 1.4 billion people depend on water from the Indus, Ganges, Brahmaputra, Yangtze, and Yellow rivers. Upstream snow and ice reserves of these basins, important in sustaining seasonal water availability, are likely to be affected substantially by climate change, but to what extent is yet unclear. Here, we show that meltwater is extremely important in the Indus basin and important for the...
[5] Piao S, Ciais P, Huang Y, et al.

The impacts of climate change on water resources and agriculture in China.

Nature, 2010, 467(7311): 43-51.

https://doi.org/10.1038/nature09364      URL      PMID: 20811450      [本文引用: 1]      摘要

China is the world09銇64s most populous country and a major emitter of greenhouse gases. Consequently, much research has focused on China09銇64s influence on climate change but somewhat less has been written about the impact of climate change on China. China experienced explosive economic growth in recent decades, but with only 7% of the world09銇64s arable land available to feed 22% of the world09銇64s population, China's economy may be vulnerable to climate change itself. We find, however, that notwithstanding the clear warming that has occurred in China in recent decades, current understanding does not allow a clear assessment of the impact of anthropogenic climate change on China09銇64s water resources and agriculture and therefore China09銇64s ability to feed its people. To reach a more definitive conclusion, future work must improve regional climate simulations09恪眅specially of precipitation09恪盿nd develop a better understanding of the managed and unmanaged responses of crops to changes in climate, diseases, pests and atmospheric constituents.
[6] Li Z G.

Glacier and lake changes across the Tibetan Plateau during the past 50 years of climate change.

Journal of Resources and Ecology, 2014, 5(2): 123-131.

https://doi.org/10.5814/j.issn.1674-764x.2014.02.004      URL      Magsci      [本文引用: 3]      摘要

In this paper, recent glacier and lake changes research on the Tibetan Plateau was reviewed. Emphasis was placed on a discussion of the relationship between glacier shrinkage and lake change. In the context of global climate change, the glaciers of the Tibetan Plateau have generally retreated, while the lakes have generally expanded. First, the research on glacial terminal retreat, glacial area and volume variations across the Tibetan Plateau over the last few decades are reviewed and analyzed; the temporal-spatial change characteristics of the glaciers are discussed. Secondly, the lake area, volume and water level changes are reviewed and analyzed; the temporal-spatial change characteristics of the glaciers are discussed. The results indicate that the retreat speed in the outer edge of the Tibean Plateau was overall faster than that in the inland area. The areas and water levels of the lakes that are fed by glacial water increased. Finally, the limitations of the present studies and future work are discussed.
[7] 李治国, 姚檀栋, 叶庆华, .

1980-2007年喜马拉雅东段洛扎地区冰川变化遥感研究

. 地理研究, 2011, 26(5): 836-846.

[本文引用: 1]     

[Li Zhiguo, Yao Tandong, Ye Qinghua, et al.

Monitoring glacier variations based on remote sensing in the Luozha Region, Eastern Himalayas, 1980-2007.

Geographical Research, 2011, 26(5): 836-846.]

[本文引用: 1]     

[8] Wang W C, Xiang Y, Gao Y, et al.

Rapid expansion of glacial lakes caused by climate and glacier retreat in the Central Himalayas.

Hydrological Processes, 2015, 29(6): 859-874.

https://doi.org/10.1002/hyp.10199      URL      [本文引用: 2]      摘要

Abstract Glacial lake outburst floods are among the most serious natural hazards in the Himalayas. Such floods are of high scientific and political importance because they exert trans-boundary impacts on bordering countries. The preparation of an updated inventory of glacial lakes and the analysis of their evolution are an important first step in assessment of hazards from glacial lake outbursts. Here, we report the spatiotemporal developments of the glacial lakes in the Poiqu River basin, a trans-boundary basin in the Central Himalayas, from 1976 to 2010 based on multi-temporal Landsat images. Studied glacial lakes are classified as glacier-fed lakes and non-glacier-fed lakes according to their hydrologic connection to glacial watersheds. A total of 119 glacial lakes larger than 0.01 km 2 with an overall surface area of 20.22 km 2 (卤10.8%) were mapped in 2010, with glacier-fed lakes being predominant in both number (69, 58.0%) and area (16.22 km 2 , 80.2%). We found that lakes connected to glacial watersheds (glacier-fed lakes) significantly expanded (122.1%) from 1976 to 2010, whereas lakes not connected to glacial watersheds (non-glacier-fed lakes) remained stable (+2.8%) during the same period. This contrast can be attributed to the impact of glaciers. Retreating glaciers not only supply meltwater to lakes but also leave space for them to expand. Compared with other regions of the Hindu Kush Himalayas (HKH), the lake area per glacier area in the Poiqu River basin was the highest.
[9] 叶庆华, 姚檀栋, 郑红星, .

西藏玛旁雍错流域冰川与湖泊变化及其对气候变化的响应

. 地理研究, 2008, 27(5): 1178-11902.

URL      Magsci      [本文引用: 4]      摘要

<p>利用遥感和地理信息系统技术,基于1974,1990,1999和2003年4个不同时期的遥感影像,包括Landsat系列影像,ASTER影像和地形图,研究了玛旁雍错流域(面积7786 km<sup>2</sup>)内冰川与湖泊的变化及其对气候变化的响应。研究结果表明,由于气候变暖,在过去30年里该流域冰川和湖泊都以退为主,有进有退。自1974年到2003年,冰川面积从107.92 km<sup>2</sup>减少到100.39 km<sup>2</sup>,冰川退缩明显加速。由于年降水量减少、蒸发量增大,30年中湖泊总面积从782.24 km<sup>2</sup>减少到748.08 km<sup>2</sup>。湖面的缩小与扩涨都在加速,尤其是小湖泊变化更明显,湖泊的加速变化可能是青藏高原高海拔内陆流域水循环过程加速的表征之一。</p>

[Ye Qinghua, Yao Tandong, Zheng Hongxing, et al.

Glacier and lake co-variations and their responses to climate change inthe Mapam Yumco Basin on Tibet.

Geographical Research, 2008, 27(5): 1178-1190.]

URL      Magsci      [本文引用: 4]      摘要

<p>利用遥感和地理信息系统技术,基于1974,1990,1999和2003年4个不同时期的遥感影像,包括Landsat系列影像,ASTER影像和地形图,研究了玛旁雍错流域(面积7786 km<sup>2</sup>)内冰川与湖泊的变化及其对气候变化的响应。研究结果表明,由于气候变暖,在过去30年里该流域冰川和湖泊都以退为主,有进有退。自1974年到2003年,冰川面积从107.92 km<sup>2</sup>减少到100.39 km<sup>2</sup>,冰川退缩明显加速。由于年降水量减少、蒸发量增大,30年中湖泊总面积从782.24 km<sup>2</sup>减少到748.08 km<sup>2</sup>。湖面的缩小与扩涨都在加速,尤其是小湖泊变化更明显,湖泊的加速变化可能是青藏高原高海拔内陆流域水循环过程加速的表征之一。</p>
[10] Gardner A S, Moholdt G, Cogley J G, et al.

A reconciled estimate of glacier contributions to sea level rise: 2003 to 2009.

Science, 2013, 340(6134): 852-857.

https://doi.org/10.1126/science.1234532      URL      PMID: 23687045      [本文引用: 1]      摘要

Glaciers distinct from the Greenland and Antarctic Ice Sheets are losing large amounts of water to the world’s oceans. However, estimates of their contribution to sea level rise disagree. We provide a consensus estimate by standardizing existing, and creating new, mass-budget estimates from satellite gravimetry and altimetry and from local glaciological records. In many regions, local measurements are more negative than satellite-based estimates. All regions lost mass during 2003–2009, with the largest losses from Arctic Canada, Alaska, coastal Greenland, the southern Andes, and high-mountain Asia, but there was little loss from glaciers in Antarctica. Over this period, the global mass budget was –259 ± 28 gigatons per year, equivalent to the combined loss from both ice sheets and accounting for 29 ± 13% of the observed sea level rise.
[11] Neckel N, Kropáček J, Bolch T, et al.

Glacier mass changes on the Tibetan Plateau 2003-2009 derived from ICESat laser altimetry measurements.

Environmental Research Letters, 2014, 9(1): 014009.

https://doi.org/10.1088/1748-9326/9/1/014009      URL      [本文引用: 1]      摘要

drained into endorheic basins on the plateau.
[12] Nie Y, Zhang Y L, Ding M J, et al.

Lake change and its implication in the vicinity of Mt. Qomolangma (Everest), central high Himalayas, 1970-2009.

Environmental Earth Sciences, 2013, 68(1): 251-265.

https://doi.org/10.1007/s12665-012-1736-6      URL      Magsci      [本文引用: 2]      摘要

High-elevation inland lakes are a sensitive indicator of climate change. The extents of lakes in Mt. Qomolangma region have been extracted using the object-based image-processing method providing 6-24 images during 1970-2009. Combined with data from five meteorological stations and three periods' glacier data, the inter-annual and intra-annual lake changes and responses to climate and glacier change have been analyzed. The results show that the lakes have shrunk overall, with clear inter-annual and intra-annual fluctuations during 1970-2009. In general, there appeared a trend of slight shrinkage in the 1970s, distinct shrinkage around 1990, general expansion in 2000 and accelerated decrease after 2000. Lake Peiku and neighboring lakes show a highly consistent change trend (correlation coefficients of 0.68-0.91), with larger lakes having smaller shrinkage rates, which implies a higher stability (in the order of Peiku > Langqiang > Cuochuolong). Lake Peiku, the largest lake, decreased 10.38 km(2) (3.69 % or 0.27 km(2) year(-1)) during 1970-2009. The changes in Lake Peiku indicate that precipitation is its main source of supply with glacier melt water a key supplement. Meanwhile, Lake Como Chamling reduced by 13.12 km(2) (19.79 %) during 1974-2007, with strong shrinkage-expansion-shrinkage-expansion fluctuations. Overall, lakes in the vicinity of Mt. Qomolangma are a sensitive good indicator to climate change.
[13] Lei Y B, Yang K, Wang B, et al.

Response of inland lake dynamics over the Tibetan Plateau to climate change.

Climatic Change, 2014, 125(2): 281-290.

https://doi.org/10.1007/s10584-014-1175-3      URL      [本文引用: 3]      摘要

The water balance of inland lakes on the Tibetan Plateau (TP) involves complex hydrological processes; their dynamics over recent decades is a good indicator of changes in water cycle under rapid global warming. Based on satellite images and extensive field investigations, we demonstrate that a coherent lake growth on the TP interior (TPI) has occurred since the late 1990s in response to a significant global climate change. Closed lakes on the TPI varied heterogeneously during 1976–1999, but expanded coherently and significantly in both lake area and water depth during 1999–2010. Although the decreased potential evaporation and glacier mass loss may contribute to the lake growth since the late 1990s, the significant water surplus is mainly attributed to increased regional precipitation, which, in turn, may be related to changes in large-scale atmospheric circulation, including the intensified Northern Hemisphere summer monsoon (NHSM) circulation and the poleward shift of the Eastern Asian westerlies jet stream.
[14] Song C Q, Huang Bo, Richards K, et al.

Accelerated lake expansion on the Tibetan Plateau in the 2000s: Induced by glacial melting or other processes?

Water Resources Research, 2014, 50(4): 3170-3186.

https://doi.org/10.1002/2013WR014724      URL      [本文引用: 1]      摘要

ABSTRACT Alpine lakes on the Tibetan Plateau are minimally disturbed by human activities and are sensitive indicators of climate variability. Accelerated lake expansion in the 2000s has been confirmed by both dramatic lake-area increases (for 312 lakes larger than 10 km2) derived from optical images, and rapid water-level rises (for 117 lakes with water-level data) measur
[15] Zhang G Q, Yao T D, Xie H J, et al.

Increased mass over the Tibetan Plateau: From lakes or glaciers?

Geophysical Research Letters, 2014, 40(10): 2125-2130.

https://doi.org/10.1002/grl.50462      URL      [本文引用: 2]      摘要

[1] The mass balance in the Inner Tibet Plateau (ITP) derived from the Gravity Recovery and Climate Experiment (GRACE) showed a positive rate that was attributed to the glacier mass gain, whereas glaciers in the region, from other field-based studies, showed an overall mass loss. In this study, we examine lake's water level and mass changes in the Tibetan Plateau (TP) and suggest that the increased mass measured by GRACE was predominately due to the increased water mass in lakes. For the 200 lakes in the TP with 4 to 7 years of ICESat data available, the mean lake level and total mass change rates were +0.14 m/yr and +4.95 Gt/yr, respectively. Compared those in the TP, 118 lakes in the ITP showed higher change rates (+0.20 m/yr and +4.28 Gt/yr), accounting for 59% area and 86% mass increase of the 200 lakes. The lake's mass increase rate in the ITP explains the 61% increased mass (~7 Gt/yr) derived from GRACE [ Jacob et al ., 2012], while it only accounts for 53% of the total lake area in the ITP.
[16] Li L, Li J, Yao X J, et al.

Changes of the three holy lakes in recent years and quantitative analysis of the influencing factors.

Quaternary International, 2014, 349: 339-345.

https://doi.org/10.1016/j.quaint.2014.04.051      URL      [本文引用: 2]      摘要

Namco Lake, Yamzho Yumco Lake, and Mapam Yamco Lake are the “three holy lakes” of Tibet. Based on the topographic map of 1970 and the Landsat TM/ETM + remote sensing images of 1970 and from 1990 to 2012, satellite altimetry data, observed data from meteorological stations, and the changes of the “three holy lakes” in area, water level and water storage, the lake status and causes of the changes have been analyzed in a comparative manner. From 1970 to 2012, Namco Lake rapidly expanded in area, Yamzho Yumco Lake sharply declined, and Mapam Yamco Lake showed a slight decline with no great changes. The increase in precipitation was the main reason for the expansion of Namco Lake from 1970 to 1998, but the increase in glacial meltwater caused by temperature rise, and the decrease in evaporation from the lake surface, are the main reasons for the expansion and water storage increase of Namco Lake after 1998. Yamzho Yumco Lake significantly expanded from 1991 to 2004 mainly because the evaporation was limited, and shrank after 2004 because of the decrease in precipitation and the increase in evaporation. Mapam Yamco Lake was shrinking due to higher evaporation and lower precipitation. In addition to glacier meltwater, there are other forms of supply, such as groundwater, wetlands, and permafrost ablation.
[17] 李均力, 盛永伟, 骆剑承, .

青藏高原内陆湖泊变化的遥感制图

. 湖泊科学, 2011, 23(3): 311-320.

URL      [本文引用: 2]      摘要

青藏高原上的内陆湖泊群是气候变化的敏感指示器,获取近几十年来湖泊变化的动态信息对研究区 域气候及环境变化具有重要的意义.本文讨论了多时相遥感湖泊变化研究中的几个关键问题——湖泊变化季节性因素、湖泊变化信息的提取以及大区域湖泊变化的分 析方法,并利用Landsat长时间序列遥感数据,制作青藏高原1970s,1990s,2000s和2009年四个时段的湖泊分布图及其湖泊变化图,分 析三十多年来内陆封闭流域内湖泊变化的时空特征.研究结果表明,Landsat MSS/TM/ETM+多时相数据在对0.1km2以上湖泊进行变化分析时能取得较好的结果.湖泊在一年之内最稳定的时段为9-12月,其最大湖泊面积变 化率不超过2%.从湖泊变化的时间过程来看,湖泊总面积在1970s-1990s呈萎缩趋势,在1990s-2009年剧烈扩张,1970s-2009年 全时段湖泊总面积增长27.3%.从空间分布来看,湖泊变化具有明显的区域分布特性,藏北羌塘高原区湖泊出现先萎缩后扩张的变化,色林错及周边区域湖泊处 于持续扩张的状态,而冈底斯山北麓的高山深谷湖泊则在近三十多年来保持相对稳定的状态.

[Li Junli, Sheng Yongwei, Luo Jiancheng, et al.

Remote sensed mapping of inland lake area changes in the Tibetan Plateau.

Journal of Lake Sciences, 2011, 23(3): 311-320.]

URL      [本文引用: 2]      摘要

青藏高原上的内陆湖泊群是气候变化的敏感指示器,获取近几十年来湖泊变化的动态信息对研究区 域气候及环境变化具有重要的意义.本文讨论了多时相遥感湖泊变化研究中的几个关键问题——湖泊变化季节性因素、湖泊变化信息的提取以及大区域湖泊变化的分 析方法,并利用Landsat长时间序列遥感数据,制作青藏高原1970s,1990s,2000s和2009年四个时段的湖泊分布图及其湖泊变化图,分 析三十多年来内陆封闭流域内湖泊变化的时空特征.研究结果表明,Landsat MSS/TM/ETM+多时相数据在对0.1km2以上湖泊进行变化分析时能取得较好的结果.湖泊在一年之内最稳定的时段为9-12月,其最大湖泊面积变 化率不超过2%.从湖泊变化的时间过程来看,湖泊总面积在1970s-1990s呈萎缩趋势,在1990s-2009年剧烈扩张,1970s-2009年 全时段湖泊总面积增长27.3%.从空间分布来看,湖泊变化具有明显的区域分布特性,藏北羌塘高原区湖泊出现先萎缩后扩张的变化,色林错及周边区域湖泊处 于持续扩张的状态,而冈底斯山北麓的高山深谷湖泊则在近三十多年来保持相对稳定的状态.
[18] 中国科学院青藏高原综合科学考察队. 西藏气候. 北京: 科学出版社, 1984.

[本文引用: 1]     

[Integrated Scientific Survey Team of Qinghai-Tibet Plateau, CAS. Climate in Tibet. Beijing: Science Press, 1984.]

[本文引用: 1]     

[19] 施雅风. 简明中国冰川目录. 上海: 上海科学普及出版社, 2005.

URL      [本文引用: 1]     

[Shi Yafeng.A concise China Glacier Inventory. Shanghai: Shanghai Science Popular Press, 2005.]

URL      [本文引用: 1]     

[20] 王苏民, 窦鸿身. 中国湖泊志. 北京: 科学出版社. 1998.

[本文引用: 2]     

[Wang Sumin, Dou Hongshen. Chinese Limnology Record.Beijing: Science Press, 1998.]

[本文引用: 2]     

[21] 王解先, 王军, 陆彩萍.

WGS-84与北京54坐标的转换问题

. 大地测量与地球动力学, 2003, 23(3): 70-73.

https://doi.org/10.3969/j.issn.1671-5942.2003.03.014      URL      [本文引用: 1]      摘要

GPS测量得到的是WGS 84中的地心空间直角坐标 ,而工程施工中通常使用地方独立坐标系 ,要求得到地方平面坐标。如何实现两者的转换 ,一直是工程施工中关心的热点问题。介绍了从GPS定位结果至平面坐标的两种转换模型。平面转换模型原理简单 ,数值稳定可靠 ,但只适用于小范围的GPS测量 ;空间转换模型可用于大范围GPS测量 ,按实际情况又分为 7参数转换和 3参数转换两种。鉴于 5 4坐标点的大地高通常不能精确得知 ,对这两种转换方法得到的平面坐标的精度进行了比较 ,得出大地高精度主要表现为对高程的影响 ,对平面坐标影响较小的结论。此外 ,还讨论了 7参数与 3参数模型对转换结果的影响。

[Wang Jiexian, Wang Jun, Lu Caiping.

Problem of coordinate transformation between WGS-84 and Beijing 54.

Journal of Geodesy and Geodynamics, 2003, 23(3): 70-73.]

https://doi.org/10.3969/j.issn.1671-5942.2003.03.014      URL      [本文引用: 1]      摘要

GPS测量得到的是WGS 84中的地心空间直角坐标 ,而工程施工中通常使用地方独立坐标系 ,要求得到地方平面坐标。如何实现两者的转换 ,一直是工程施工中关心的热点问题。介绍了从GPS定位结果至平面坐标的两种转换模型。平面转换模型原理简单 ,数值稳定可靠 ,但只适用于小范围的GPS测量 ;空间转换模型可用于大范围GPS测量 ,按实际情况又分为 7参数转换和 3参数转换两种。鉴于 5 4坐标点的大地高通常不能精确得知 ,对这两种转换方法得到的平面坐标的精度进行了比较 ,得出大地高精度主要表现为对高程的影响 ,对平面坐标影响较小的结论。此外 ,还讨论了 7参数与 3参数模型对转换结果的影响。
[22] Raup B H, Kääb A, Kargel J S, et al.

Remote sensing and GIS technology in the Global Land Ice Measurements from Space Project.

Computers & Geosciences, 2007, 33(1): 104-125.

[本文引用: 1]     

[23] Yao X J, LIU S Y, LI L, et al.

Spatial-temporal variations of lake area in Hoh Xil region in the past 40 years.

Journal of Geographical Science, 2014, 24(4): 689-702.

URL      [本文引用: 2]      摘要

As one of the areas with numerous lakes on the Tibetan Plateau,the Hoh Xil region plays an extremely important role in the fragile plateau eco-environment.Based on topographic maps in the 1970s and Landsat TM/ETM+ remote sensing images in the 1990s and the period from 2000 to 2011,the data of 83 lakes with the area above 10 km2 were obtained by digitization method and artificial visual interpretation technology,and the causes for lake variations were also analyzed.Some conclusions can be drawn as follows.(1) From the 1970s to 2011,the lakes in the Hoh Xil region firstly shrank and then expanded.In particular,the area of lakes generally decreased during the 1970s-1990s.Then the lakes expanded during the 1990s-2000 and their area was slightly higher compared with the 1970s.The area of lakes dramatically increased after 2000.(2) From 2000 to 2011,the lakes with different area scales in the Hoh Xil region showed an overall expansion trend.Meanwhile,some regional differences were also discovered.Most of the lakes expanded and were widely distributed in the northern,central and western parts of the region.Some lakes merged together or overflowed due to their rapid expansion.A small number of lakes with the trend of area decrease or strong fluctuation were scattered in the central and southern parts of the study area.And their variations were related to their own supply conditions or hydraulic connection with the downstream lakes or rivers.(3) The increase in precipitation was the dominant factor resulting in the expan
[24] Liu S Y, Sun W X, Shen Y P, et al.

Glacier changes since the Little Ice Age maximum in the western Qilian Shan, Northwest China, and consequences of glacier runoff for water supply.

Journal of Glaciology, 2003, 49(164): 117-124.

https://doi.org/10.3189/172756503781830926      URL      [本文引用: 1]      摘要

Based on aerial photographs, topographical maps and the Landsat-5 image data, we have analyzed fluctuations of glaciers in the western Qilian Shan, northwest China, from the Little Ice Age (LIA) to 1990. The areas and volumes of glaciers in the whole considered region decreased 15% and 18%, respectively, from the LIA maximum to 1956.This trend of glacier shrinkage continued and accelerated between 1956 and 1990. These latest decreases in area and volume were about 10% in 34 years. The recent shrinkage may be due either to a combination of higher temperatures and lower precipitation during the period 1956-66, or to continuous warming in the high glacierized mountains from 1956 to 1990. As a consequence, glacier runoff from ice wastage between 1956 and 1990 has increased river runoff by 6.2 km 3 in the four river basins under consideration. Besides, the equilibrium-line altitude (ELA) rise estimated from the mean terminus retreat of small glaciers <1km long is 46 m, which corresponds to a 0.3掳C increase of mean temperatures in warm seasons from the LIA to the 1950s.
[25] Oerlemans J.

Extracting a climate signal from 169 glacier records.

Science, 2005, 308(5722): 675-677

https://doi.org/10.1126/science.1107046      URL      PMID: 15746388      [本文引用: 1]      摘要

I constructed a temperature history for different parts of the world from 169 glacier length records. Using a first-order theory of glacier dynamics, I related changes in glacier length to changes in temperature. The derived temperature histories are fully independent of proxy and instrumental data used in earlier reconstructions. Moderate global warming started in the middle of the 19th century. The reconstructed warming in the first half of the 20th century is 0.5 kelvin. This warming was notably coherent over the globe. The warming signals from glaciers at low and high elevations appear to be very similar.
[26] Yang K, Wu H, Qin J, et al.

Recent climate changes over the Tibetan Plateau and their impacts on energy and water cycle: A review.

Global and Planetary Change, 2014, 112: 79-91.

https://doi.org/10.1016/j.gloplacha.2013.12.001.      URL      [本文引用: 3]      摘要

The Tibetan Plateau (TP) exerts strong thermal forcing on the atmosphere over Asian monsoon region and supplies water resources to adjacent river basins. Recently, the Plateau experienced evident climate changes, which have changed atmospheric and hydrological cycles and thus reshaped the local environment. This study reviewed recent research progress in the climate changes and explored their impacts on the Plateau energy and water cycle, based on which a conceptual model to synthesize these changes was proposed and urgent issues to be explored were summarized.The TP has experienced an overall surface air warming and moistening, solar dimming, and wind stilling since the beginning of the 1980s. The surface warming depends on elevation and its horizontal pattern is consistent with the one of the glacier change. Accompanying the warming was air moistening, and both facilitated the trigger of more deep-clouds, which resulted in solar dimming. Surface wind speed declined from the 1970s, as a result of atmospheric circulation adjustment caused by the differential surface warming between the Asian high-latitude and low-latitude.The climate changes had weakened the thermal forcing over the TP. The warming and wind stilling lowered the Bowen ratio and led to less surface sensible heating. Atmospheric radiative cooling was enhanced, mainly by outgoing longwave emission from the warming planetary system and slightly by solar radiation reflection. Both processes contributed to the thermal forcing weakening over the Plateau. The water cycle was also altered by the climate changes. The wind stilling may have weakened water vapor exchange between the Asia monsoon region and the Plateau and thus led to less precipitation in the monsoon-impacted southern and eastern Plateau, but the warming enhanced land evaporation. Their overlap resulted in runoff reduction in the southern and eastern Plateau regions. By contrast, more convective precipitation over the central TP was triggered under the warmer and moister condition and yielded more runoff; meanwhile, the solar dimming weakened lake evaporation. The two together with enhanced glacier melts contributed to the lake expansion in the central TP.
[27] Wiltshire A J.

Climate change implications for the glaciers of the Hindu Kush, Karakoram and Himalayan region.

The Cryosphere, 2014, 8(3): 941-958.

https://doi.org/10.5194/tc-8-941-2014      URL      [本文引用: 3]      摘要

ABSTRACT The Hindu Kush, Karakoram, and Himalaya (HKH) region has a negative average glacial mass balance for the present day despite anomalous possible gains in the Karakoram. However, changes in climate over the 21st century may influence the mass balance across the HKH. This study uses regional climate modelling to analyse the implications of unmitigated climate change on precipitation, snowfall, air temperature and accumulated positive degree days for the Hindu Kush (HK), Karakoram (KK), Jammu-Kashmir (JK), Himachal Pradesh and West Nepal regions (HP), and East Nepal and Bhutan (NB). The analysis focuses on the climate drivers of change rather than the glaciological response. Presented is a complex regional pattern of climate change, with a possible increase in snowfall over the western HKH and decreases in the east. Accumulated degree days are less spatially variable than precipitation and show an increase in potential ablation in all regions combined with increases in the length of the seasonal melt period. From the projected change in regional climate the possible implications for future glacier mass balance are inferred. Overall, within the modelling framework used here the eastern Himalayan glaciers (Nepal-Bhutan) are the most vulnerable to climate change due to the decreased snowfall and increased ablation associated with warming. The eastern glaciers are therefore projected to decline over the 21st Century despite increasing precipitation. The western glaciers (Hindu Kush, Karakoram) are expected to decline at a slower rate over the 21st century in response to unmitigated climate compared to the glaciers of the east. Importantly, regional climate change is highly uncertain, especially in important cryospheric drivers such as snowfall timing and amounts, which are poorly constrained by observations. Data are available from the author on request.
[28] Xu B Q, Cao J J, Hansen J, et al.

Black soot and the survival of Tibetan glaciers.

Proceedings of the National Academies of Sciences, 2009, 106(52): 22114-22118.

https://doi.org/10.1073/pnas.0910444106      URL      PMID: 19996173      [本文引用: 1]      摘要

We find evidence that black soot aerosols deposited on Tibetan glaciers have been a significant contributing factor to observed rapid glacier retreat. Reduced black soot emissions, in addition to reduced greenhouse gases, may be required to avoid demise of Himalayan glaciers and retain the benefits of glaciers for seasonal fresh water supplies.
[29] Janes T J, Bush A B G.

The role of atmospheric dynamics and climate change on the possible fate of glaciers in the Karakoram.

Journal of Climate, 2012, 25(23): 8308-8327.

https://doi.org/10.1175/JCLI-D-11-00436.1      URL      [本文引用: 2]      摘要

Abstract High-resolution regional climate simulations for the Karakoram Mountain range in the greater Himalayas have been performed to investigate the atmospheric dynamics of this region, and their role in the Karakoram鈥檚 snowfall accumulation and possible glacial evolution through the next century. It has been found through a combination of field measurements and satellite observations that glaciers in this region appear to be reacting differently to contemporary climate change than those in other regions. This region has exhibited a relatively large number of either static or advancing glaciers while other glaciers in the central and eastern Himalayas, as well as around the world, are nearly all retreating. The amount of precipitation received in the Karakoram region depends on the interplay between two climate systems: the westerly winds flowing over the Mediterranean and Caspian Seas, and the South Asian monsoon winds (also referred to as the Indian monsoon) flowing over the Indian Ocean. This study extends the modeling time frame by performing time-slice calculations for the Karakoram region through the twenty-first century. Despite regionwide simulated temperature changes, the highly elevated regions of the Karakoram Mountain range experience positive climatic mass balance until the end of the modeling time period. This result arises from a strong positive correlation between climatic mass balance and simulated increases in regional precipitation, which outweighs the negative correlation between climatic mass balance and simulated increases in temperature. Also, the extreme elevations within the Karakoram allow regional alpine glaciers to benefit from a strong elevation-dependent signal simulated in net snowfall accumulation, and hence climatic mass balance.
[30] 尹云鹤, 吴绍洪, 赵东升, .

1981-2010 年气候变化对青藏高原实际蒸散的影响

. 地理学报, 2012, 67(11): 1471-1481.

URL      Magsci      [本文引用: 1]      摘要

基于1981-2010 年青藏高原80 个气象台站观测数据, 通过改进的LPJ 动态植被模型, 模拟并分析了青藏高原实际蒸散及其与降水的平衡关系(<em>P-E</em>) 的时空变化。研究结果表明, 在过去三十年来青藏高原气候呈现以变暖为主要特征的背景下, 降水量整体略有增加, 潜在蒸散呈减少趋势, 特别是2000 年以前减少趋势显著;青藏高原大部分地区实际蒸散呈增加趋势, <em>P-E</em>的变化趋势呈西北增加&mdash;东南减少的空间格局。大气水分蒸散发能力降低理论上会导致实际蒸散减少, 而青藏高原大部分地区实际蒸散增加, 主要影响因素是降水增加, 实际蒸散呈增加(减少) 趋势的区域中86% (73%) 的降水增加(减少)。

[Yin Yunhe, Wu Shaohong, Zhao Dongsheng, et al.

Impact of climate change on actual evapotranspiration on the Tibetan Plateau during 1981-2010.

Acta Geographica Sinica, 2012, 67(11): 1471-1481.]

URL      Magsci      [本文引用: 1]      摘要

基于1981-2010 年青藏高原80 个气象台站观测数据, 通过改进的LPJ 动态植被模型, 模拟并分析了青藏高原实际蒸散及其与降水的平衡关系(<em>P-E</em>) 的时空变化。研究结果表明, 在过去三十年来青藏高原气候呈现以变暖为主要特征的背景下, 降水量整体略有增加, 潜在蒸散呈减少趋势, 特别是2000 年以前减少趋势显著;青藏高原大部分地区实际蒸散呈增加趋势, <em>P-E</em>的变化趋势呈西北增加&mdash;东南减少的空间格局。大气水分蒸散发能力降低理论上会导致实际蒸散减少, 而青藏高原大部分地区实际蒸散增加, 主要影响因素是降水增加, 实际蒸散呈增加(减少) 趋势的区域中86% (73%) 的降水增加(减少)。
[31] Liu X M, Zheng H X, Zhang M H, et al.

Identification of dominant climate factor for pan evaporation trend in the Tibetan Plateau.

Journal of Geographical Sciences, 2011, 21(4): 594-608.

https://doi.org/10.1007/s11442-011-0866-1      URL      Magsci      [本文引用: 1]      摘要

<p>Despite the observed increase in global temperature, observed pan evaporation in many regions has been decreasing over the past 50 years, which is known as the &quot;pan evaporation paradox&quot;. The &quot;pan evaporation paradox&quot; also exists in the Tibetan Plateau, where pan evaporation has decreased by 3.06 mm a<sup>-2</sup> (millimeter per annum). It is necessary to explain the mechanisms behind the observed decline in pan evaporation because the Tibetan Plateau strongly influences climatic and environmental changes in China, Asia and even in the Northern Hemisphere. In this paper, a derivation based approach has been used to quantitatively assess the contribution rate of climate factors to the observed pan evaporation trend across the Tibetan Plateau. The results showed that, provided the other factors remain constant, the increasing temperature should have led to a 2.73 mm a<sup>-2</sup> increase in pan evaporation annually, while change in wind speed, vapor pressure and solar radiation should have led to a decrease in pan evaporation by 2.81 mm a<sup>-2</sup>, 1.96 mm a<sup>-2</sup> and 1.11 mm a<sup>-2</sup> respectively from 1970 to 2005. The combined effects of the four climate variables have resulted in a 3.15 mm a<sup>-2</sup> decrease in pan evaporation, which is close to the observed pan evaporation trend with a relative error of 2.94%. A decrease in wind speed was the dominant factor for the decreasing pan evaporation, followed by an increasing vapor pressure and decreasing solar radiation, all of which offset the effect of increasing temperature across the Tibetan Plateau.</p>

/